Перемещения иона в мембране
Перемещения иона в мембране
Случайные тепловые движения молекул приводят к тому, что вещества переносятся из области более высоких концентраций в область более низких. Это и есть диффузионный перенос.
Обычно процесс диффузии рассматривают как результат случайных блужданий частицы (молекулы или иона) под влиянием тепловых соударений с молекулами окружающей среды.
Частица под влиянием тепловых соударений с окружающими молекулами совершает хаотические скачки. Они происходят, разумеется, в любом направлении, а следовательно перемещение частицы при каждом скачке представляет собой вектор, который, как и всякий вектор может быть представлен в виде суммы составляющих по трём направлениям.
Выберем одно из них и обозначим его как направление оси Х.
|
| Рис. 1. Выбор направления потока при трансмембранном переносе ионов. Рассматривается только составляющая вдоль оси X. |
В случа переноса ионов через биомембраны за ось Х можно принять ось, нормальную к мембране и направленную изнутри везикулы (например, клетки) наружу (см. рис. 1).
Как же перемещается ион в толще липидного слоя мембраны?
В разделе 1 говорилось о том, что такое перемещение возможно благодаря перестройке конфигурации жирнокислотных цепей и образованию нового "кинка". Ион движется, как бы перескакивая от кинка к кинку. как это изображено на рис.2.
Рекомендуемые материалыВариант 6 - Сельское хозяйство Вариант 2 - КР Тема: определение содержания обменного калия в почве Тема: определение содержания подвижного фосфора в почве Тема: определение кислотности почвы Тема: система защиты растения от вредных организмов
| Рис.2. Движение иона поперёк мембраны путём перескакивания из одного "кинка" в другой. Ион движется в направлении X. На рисунке показаны не разные молекулы фосфолипидов в бислое, а разные стадии процесса переноса иона поперёк мембраны. 2-8 -изменение во времени положения иона в мембране. |
Причина образования новых кинков и скачков иона - тепловые удары окружающих молекул.
Понятно, что не всякое взаимодействие с окружающими молекулами вызывает изменение координаты нашей частицы. Чтобы раздвинуть цепи жирных кислот и перескочить в новую петлю, молекула должна обладать дастаточной кинетической энергией.
В сплошной среде, такой как липидный слой мембраны, ион находится как бы в потенциальной яме. Выскочить из неё можно только преодолев определённый энергетический барьер (см.рис.3).
Однако в результате хаотического теплового движения окружающих молекул и самого иона время от времени становится возможен перескок частицы из одной "ямы" в другую, соседнюю "яму". Вероятность такого перескока зависит от глубины ямы и температуры, о чём будет подробнее сказано в разделе 4.
|
| Рис. 3. Схема переноса ионов в мембране в результате случайных скачков иона между энергетическими "ямами". |
Введём следующие обозначения:
n - частота перескоков частицы в соседнее устойчивое положение, с -1. Cлева направо каждую секукнду частица будет "прыгать" в среднем (n/2) раз; столько же скачков каждая частица сделает в среднем справо налево.
1 - расстояние между двумя соседними энергетическими "ямами", т.е. длина пробега молекулы при каждом "скачке".
Представим себе, что через мембрану мы провели плоскость S, нормальную к оси Х (см. рис. 4).
|
| Рис.4. Диффузионный поток ионов через мембрану. S - площадь нормальная к направлению потока, l -длина пробега молекулы при каждом скачке. С1 и С2 - молярные концентрации ионоа слева и справа от мембраны в слоях толщиной l. |
Каждую секунду слева направо будует переноситься все частицы в объёме 1S, что соответствует С1Sl(n./2) киломолей вещества, где С1 - концентрация вещества слева от плоскости S, кмоль/м3; l - длина пробега молекулы при каждом "скачке". Это и будет однонаправленный поток ионов через площадь S:
|
| (1) |
Аналогичным образом находим однонаправленный поток частиц (например, ионов K+) справа налево:
|
| (2) |
Разница между этими потоками даёт нам общую величину потока ионов в направлении оси X:
|
| (3) |
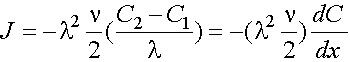
Последнее уравнение заслуживает того, чтобы задержать на нём наше внимание. Казалось бы, как может случайное перемещение каждой частицы приводить к направленному суммарному потоку ионов? А между тем, всё дело в концентрациях. Ионы уходят из области с большей концентрациией в область с меньшейконцентрацией именно в силу совершенно хаотического движения каждой частицы. Статистика оказывается движущей силой потока.
К сожалению, точное значение средней концентрации в тонких слоях, прилегающих к плоскости S, неизвестны, как и их разность (С1-С2). Чтобы выйти из положения, заменим отношение (С1-С2)/1 на производную функцию (dc/dx); в результате получаем:
|
| (4) |
Это уравнение стоит сравнить с хорошо известным из физики эмпирическим уравнением диффузии (которое описывает так называемый первый закон Фика):
|
| (5) |
Мы видим, что эмпирический коэффициент D на самом деле зависит всего-то от частоты "перескоков" молекулы (n)и расстояния (l), на которое молекула "прыгает" при каждом перескоке.
|
| (6) |
Поток ионов через мембрану.Проницаемость.
Величина (dc/dx), входящая в уравнение 5, не поддаётся непосредственному экспериментальному определению.
В самом деле, как нам измерить градиент концентрации иона внутри липидного слоя мембраны? Чтобы перейти к величинам, измеряемым в опыте, нужно решить дифференциальное уравнение 5 , т.е. провести разделение переменных и интегрирование. Эту процедуру можно осуществить при одном важном условии: одинаковости плотности потока при различных координатах плоскости S, через которую проходит поток.
Подумаем о физическом смысле такого постоянства потока. Если добавить в среду, омывающую клетку, какое-нибудь новое соединение (или изменить концентрацию одного из имеющихся), то в первый момент градиент концентрации (dc/dx) возникнет только около внешней поверхности мембраны и только там "хлынет" поток ионов в мембрану; но затем поток установится, приняв некоторое постоянное значение, и величина потока в разных "срезах"мембраны будет одинаковой.
Найдем зависимость величины такого установившегося во времени потока от концентраций ионов у левой Cm1 и правой Cm2 границ мембраны. Для этого проинтегрируем уравнение 5, предварительно разделив переменные:
|
| (7) |
Откуда:
|
| (8) |
Увы, концентрации ионов внутри мембраны, хотя бы и на границе с водной фазой ( Cm1 и Cm2), нам неизвестны; однако их можно найти, если известны концентрации ионов в окружающей водной среде (C1 и C2, см.рис.5)
Градиент концентрации иона - это тангенс угла наклона концентрационной кривой в данном месте мембраны (т.е. при данном X).
|
| Рис.5. Концентрационный профиль мембраны, т.е. зависимость концентрации иона от координаты оси X, нормальной к плоскости мембраны. Cm1 и Cm2 - концентрации иона в мембране на границе с водной фазой. C1и C2 - концентрации иона в водной фазе у границ с мембраной. |
Можно считать, что ионы распределяются между фазами по закону:
|
| (9) |
где K- коэффициент распределения иона между мембранной и водной фазами. Очевидно, что данное уравнение предполагает, что мембрана симметрична в том смысле, что коэффициенты распределения ионов одинаковы на обеих границах мембраны.
Подставив величины Cm1 и Cm2 из уравнения 9 в уравнение 8, получаем окончательно:
|
| (10) |
|
| (11) |
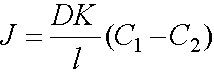
где эмпирический коэффициент P называют коэффициентом проницаемости или просто проницаемостью.
Итак:
|
| (12) |
Связь коэффициента проницамости с другими величинами в последнем уравнении полна глубокого физического смысла. В самом деле ПРОНИЦАЕМОСТЬ:
1. Прямо пропорциональна коэффициенту диффузии иона D в веществе мембраны. Последняя величина связана с геометрическими размерами иона и вязкостью мембраны. Для сферических частиц коэффициент диффузии связан с вязкостью среды h и радиусом иона r уравнением Стокса:
|
| (13) |
2. В более вязкой среде диффузия затруднена, и проницаемость вязкой мембраны ниже, чем проницаемость мембраны с более"жидким", или лучше сказать, более текучим липидным слоем.
3. Прямо пропорциональна коэффициенту распределения иона K в системе мембрана/вода, т.е. гидрофобности иона. Поэтому жирорастворимые лекарства проникают в клетки в общем-то лучше, чем водорастворимые.
4. Обратно пропорциональна толщине мембраны 1.
Роль примембранных слоёв воды
Проницаемость мембран для многих веществ ограничена не только липидным бислоем и даже не только всей белковолипидной мембраной, но и прилегающими к мембране неперемешивающимися слоями воды. Обратимся к рисунку 6.
|
| Рис.6. Поток ионов через мембрану с прилегающими неперемешивающимися слоями воды. |
На этом рисунке дана зависимость концентрации иона С от его координаты Х. Концентрации иона в различных участках системы обозначены следующим образом:
C1 - в перемешивающемся водном растворе слева от мембраны, а также в неперемешивающемся водном слое у левой его границы;
C12 - в неперемешивающемся водном слое слева от мембраны у его правой границы;
Cm1 и Cm2 - в мембране у её левой и правой границ;
C21 - в неперемешивающемся водном слое справа от мембраны у его левой границы;
C2 - в перемешивающемся водном растворе справа от мембраны, а также в неперемешивающемся водном слое у его правой границы;
Толщина левого неперемешивающегося слоя воды обозначенга как l1, правого - как l2, толщина мембраны как lm. Потоки вещества через левый и правый примембранный слой воды равны, в соответствии с уравнением 10:
|
| (14) |
А поток через саму мембрану равен:
|
| (15) |
В стационарных условиях (т.е. при установившемся, постоянном во времени потоке):
|
| (16) |
(принцип непрерывности потока), откуда:
|
| (17) |
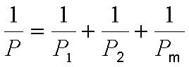
Сложив эти уравнения, получим:
|
| (18) |
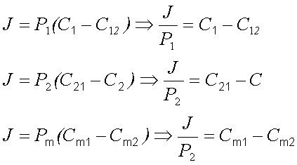
С другой стороны, если рассматривать систему из мембраны вместе с прилегающими слоями воды как единое целое, то поток ионов через эту систему J будет связан с проницаемостью системы в целом P уже известным нам уравнением J=P(C1-C2); откуда:
|
| (19) |
Cопоставив уравнения 17 и 18 , получаем:
|
| (20) |
Величину 1/Р назовем сопротивлением потоку. Теперь становится ясным физический смысл уравнения 19 :
Сопротивление потоку в системе последовательных элементов равно сумме сопротивлений каждого из них.
Иначе говоря величины 1/P ведут себя так же, как последовательно соединенные электрические сопротивления.
Относительный вклад мембраны и примембранной воды в общее сопротивление потоку
Обозначим отношение сопротивления потоку для двух примембранных слоёв воды к сопротивлению потоку самой мембраны через, скажем, букву a:
|
| (21) |
Эта величина может служить количественной характеристикой вклада примембранной воды в сопротивление потоку.
От чего же она зависит?
Чтобы это понять, заменим в последнем уравнении Р на DK/l (см. уравнение 11).
Получаем:
|
| (22) |
(К для водных слоёв равен, естественно, единице).
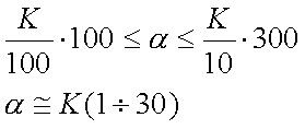
Если жидкость внутри клетки и в межклеточной среде интенсивно движется, то толщина примембранных слоев воды (la=l1+l2) имеет порядок величины 0,3-1 мкм, т.е. превышает толщину самой мембраны более чем в 100-300 раз.
С другой стороны, вязкость мембраны примерно в 10-100 раз выше вязкости воды, а значит, коэффииценты диффузии иона в воде и в мембране относятся друг к другу как 30-100 к единице.
Подставив эти, весьма впрочем пиблизительные, цифры в уравнение 21 , мы получим интересную формулу:
|
| (23) |
Бесплатная лекция: "Лекция 9" также доступна.
Оказывается, всё дело в коэффициенте распределения вещества в системе мембрана/вода, т.е. решающую роль играет липофильность иона (моллекулы).
В случае таких ионов, как К+, Na+, Сa2+, К имеет значения более 10-14, и примембранные слои жидкости практически не влияют на общую проницаемость: основная барьерная функция принадлежит липидному бислою.
В случае нейтральных молекул таких как, скажем, кислород, К близко к единице, и роль примембранных слоёв воды становится заметной.
Особенно резко начинает сказываться сопротивление потоку водных слоев, если жидкость в клетке и межклеточной среде плохо перемешивается.В этом случае la возрастает до 20-500 мкм и основным препятствием на пути диффундирующего газа становятся водные слои.
Поскольку движение жидкости в клетке и вне её зависит от тканевого метаболизма, может сложиться не совсем верное впечатление, что перенос молекул через мембрану - процесс активный, зависящий от энергетики клетки. На самом же деле, активным является перемешивание жидкостей, а сам по себе перенос кислорода через мембрану и примембранные слои воды - процесс чисто диффузионный и затраты энергии не требует.


















































