Управленческий анализ розничного товарооборота
Лекция 7. Управленческий анализ розничного товарооборота.
7.1. Значение, задачи и информационная база анализа розничного товарооборота.
7.2. Показатели стоимостного объема розничной торговли, розничного товарооборота
7.3. Анализ выполнения плана и динамики товарооборота.
7.4. Анализ сезонности, состава и структуры товарооборота.
7.5. Факторный анализ розничного товарооборота.
7.1. Значение, задачи и информационная база анализа розничного товарооборота.
Значение анализа РТО в широком смысле слова заключается в том, что показатели РТО помогают оценивать экономическое состояние страны. В РТО проявляются основные экон. пропорции, структура валового внутреннего продукта, распределение национального дохода. Объем РТО оказывает большое влияние на денежное обращение в стране. В результате продажи товаров возмещаются произведенные затраты и реализуется вновь созданная стоимость, что способствует дальнейшему росту производства.
Объем товарооборота – основной показатель работы торговых предприятий. Анализ товарооборота позволяет оценивать соответствие имеющихся товаров спросу населения и оптимизировать структуру товарооборота, увеличить объемы реализации, ускорить товарооборачиваемость, ритмичность и равномерность продаж. Это оказывает влияние на издержки обращения, валовый доход, прибыль, рентабельность, финансовое состояние предприятия торговли.
Рекомендуемые материалы
Основными задачами анализа розничного товарооборота являются:
- проверка выполнения планов (прогнозов) товарооборота по объему и структуре, удовлетворения покупательского спроса на отдельные товары;
- установления обоснованности, напряженности, оптимальности планов;
- изучение, количественное измерение и обобщение влияния факторов на выполнение плана и динамику розничного товарооборота;
- комплексная оценка торговой деятельности предприятия;
- выявление резервов роста товарооборота, повышения качества обслуживания, эффективности использования материально-технической базы торговли, товарных и трудовых ресурсов;
- оценка внедрения прогрессивных методов торговли и их эффективности;
- определение тенденций экономического и социального развития.
В зависимости от цели анализа определяется перечень и источники необходимого информационного обеспечения. К ним относятся бухгалтерская отчетность и данные бух. учета, статистическая отчетность («Сведения о производстве и отгрузке товаров и услуг», здесь приводятся данные об обороте розничной торговли, в том числе продовольственными товарами, а также конкретными товарами по установленному перечню товарных групп), данные управленческого учета, внеучетные источники.
7.2. Показатели стоимостного объема розничной торговли, розничного товарооборота
В товарооборот розничной торговли включаются:
- стоимость проданных населению потребительских товаров за наличный расчет или оплаченных по кредитным карточкам, по расчетным чекам банков, по перечислениям со счетов;
- стоимость проданных товаров по почте с оплатой по безналичному расчету (по моменту сдачи посылки отделению связи);
- стоимость товаров, проданных в кредит (по моменту отпуска товаров покупателю) в объеме полной стоимости товара;
- стоимость товаров, сданных на комиссию (по моменту продажи) в объеме комиссионных вознаграждений, если торговая предприятия не является собственником товаров; в размере полной стоимости, если торговая предприятия является собственником товаров;
- стоимость проданных по образцам товаров длительного пользования (по времени выписки счета - фактуры и доставки покупателю, независимо от времени фактической оплаты товара покупателем);
- полная стоимость товаров, проданных отдельным категориям населения со скидкой (лекарственных средств, топлива и т.п.);
- стоимость проданных по подписке печатных изданий (по моменту выписки счета);
- стоимость упаковки, имеющей розничную цену, не входящую в цену товара;
- стоимость проданной порожней тары.
Не включаются в оборот розничной торговли:
- стоимость проданных товаров, не выдержавших гарантийных сроков службы;
Оборот розничной торговли определяется в розничных ценах, включающих торговую надбавку, налог на добавленную стоимость и акциз.
Розничная цена: цена товара, реализуемого непосредственно населению для личного, семейного, домашнего использования по договору розничной купли - продажи. (фактическая продажная цена)
Торговая надбавка (Ндп: <торговая наценка, торговая накидка>): Элемент цены продавца, обеспечивающий ему возмещение затрат по продаже товаров и получение прибыли.
Цена: Денежное выражение стоимости товара.
Торговая скидка: Скидка с цены товара, предоставляемая продавцом покупателю в связи с условиями сделки и в зависимости от текущей конъюнктуры рынка.
Товарооборот розничной торговли устанавливается на основании данных бухгалтерского учета. Обязательным признаком операции, к обороту розничной торговли - кассового чека (счета).
Показателем, характеризующим хозяйственную деятельность предприятия розничного торговли, является его товарооборот. Товарооборот предприятия розничной торговли представляет собой выручку от реализации всех видов продукции (товаров), выполненных работ, оказанных услуг. Ниже приведена схема формирования указанного показателя:

Товарооборот предприятий розничной торговли
| Оборот основного вида деятельности розничной торговли | + | Оборот других видов деятельности |



| Оборот деятельности по производству товаров | Оборот торговой деятельности (без основного вида) | Оборот деятельности по оказанию услуг |
Показатель товарооборота предприятий розничной торговли используется в качестве структурного показателя соотношения основного и неосновных видов деятельности торгового предприятия. Общая стоимость товарооборота предприятий розничной торговли устанавливается без учета налогов и обязательных платежей (НДС, пр.).
7. 3. Анализ выполнения плана, динамики товарооборота(по составу, видам, группам; анализ сезонности; анализ ритмичности продаж).
Анализ выполнения плана и динамики розничного товарооборота проводится в торговом предприятии не только за ряд лет, но и по кварталам, месяцам, декадам.
Анализ РТО начинают с определения удельного веса, который занимает торговое предприятие в общем товарооборота города региона, с целью выявления её значения в удовлетворении спроса на товары населения города (региона).
1. План (прогнозные показатели).
Далее анализируется план по розничному товарообороту.
1) Определяется уровень (процент) выполнения плана РТО, а также абсолютные размеры перевыполнения или недовыполнения плановых показателей объёма продажи товаров (разность между планом и фактом).
2) Ритмичность. Если анализ прогнозируемых показателей товарооборота осуществляется за год, то необходимо рассмотреть их выполнение за более короткие промежутки времени: по кварталам, месяцам, декадам. Это даст возможность рассчитать ритмичность выполнения объема продаж. Если продажа товаров в течение периода происходила неравномерно (по объему), то это отрицательно может сказаться на работе торговых организаций, так как создает неравномерную нагрузку на продавцов, приводит к резким колебаниям товарных запасов, потере числа покупателей, которые будут пользоваться услугами других торговых организаций.
Такой анализ выполнения прогнозного товарооборота по месяцам, кварталам, дням сопровождается исчислением его ритмичности. Оценка ритмичности выполнения товарооборота осуществляется различными способами.
а) Наиболее простой способ - исчисление удельного веса каждого квартала в годовом обороте; месячного - в годовом и квартальном обороте; дневного; пятидневок и декад - в месячном обороте. Далее осуществляем суммирование исчисленных удельных весов, но не более плановых показателей.
| Период | Розничный товарооборот (тыс.руб.) | Удельный вес товарооборота | ||
| план | факт | план | факт | |
| 1 | 128,1 | 128,6 | 60,2 | 60,0 |
| 2 | 45,2 | 43,7 | 21,2 | 20,4 |
| 3 | 39,6 | 41,9 | 18,6 | 19,6 |
| Итого: | 212,9 | 214,2 | 100 | 100 |
60,0+20,4+18,6=99,0
б) Коэффициент ритмичности также можно определить путем отношения суммы фактического товарооборота в пределах суммы плана к сумме планового товарооборота, используя следующую формулу:
Кр= Sni=1N¢p/Sni=1Np,
где Кр- коэффициент ритмичности,
N¢p – фактический товарооборот, но не выше плана,
Np - – плановый товарооборот,
I – число дней, месяцев, изменяющихся от 1 до n.
| Период | Розничный товарооборот (тыс. руб.) | Выполнение плана, % | |
| план | факт | план | |
| 1 | 128,1 | 128,6 | 100,4 |
| 2 | 45,2 | 43,7 | 96,7 |
| 3 | 39,6 | 41,9 | 105,8 |
| Итого: | 212,9 | 214,2 | 100 |
КР= (128,1+43,7+39,6)/212,9=211,4/212,9=0,99
Коэффициент ритмичности колеблется от 0 до 1; чем он ближе к 0, тем неритмичнее осуществляется продажа товаров.
3) Равномерность выполнения плана товарооборота.
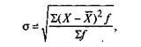
Она определяется путём расчёта коэффициента вариации. Для этого исчисляется среднеквадратичное отклонение по следующей формуле:

где Х - выполнение прогноза продажи за квартал, месяц, день;
`X - среднее выполнение за период;
f - прогнозируемый товарооборот за период.
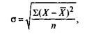
Если в прогнозируемом товарообороте нет существенных колебаний за период, то можно исчислять среднеквадратическое отклонение по следующей формуле:

где n — число кварталов, месяцев, дней и т. д.
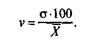
После исчисления среднеквадратического отклонения определяется коэффициент вариации:

Коэффициент вариации (υ) показывает степень отклонения (в процентах) в выполнении прогнозируемого товарооборота от среднего (процента) уровня. Чем больше колебания, тем выше коэффициент вариации
Таблица
Расчет колеблемости выполнения квартальных прогнозных сумм розничного товарооборота
| Кварталы | 200 _ г. | ||
| процент выполнения(%) | (Х-`Х) | (Х-`Х)2 | |
| I II III IV | 109,2 109,2 105,2 109,3 | 1,1 1,1 2,9 1,2 | 1,21 1,21 8,41 1,44 |
| Итого за год | 108,1 | 12,27 |

Равномерность исчисляют не только во времени, но и по отдельным структурным подразделениям, входящим в состав торгового предприятия за определённый период. Предварительно необходимо сгруппировать структурные подразделения по степени выполнения прогнозируемого товарооборота.
Для управленческого (оперативного) анализа выполнения плана-прогноза товарооборота следует осуществлять не только по торговой организации в целом, но и по каждому подразделению, отделу, секции. Для этого по документам и регистрам бухгалтерского учета (кассовым, товарным отчетам, регистрам) составляется специальная таблица, в которой на любую дату месяца рассчитывают отклонения фактической продажи от прогнозируемой.
Торговые организации могут выборочно изучать реализацию товаров по часам и дням недели. Зная, в какие часы и дни поток покупателей особенно велик, можно увеличить количество продавцов (обслуживающего персонала) и тем самым полнее удовлетворить спрос покупателей и качественнее их обслужить. Причем управленческому анализу подвергаются: использование рабочего времени; выполнение договорных обязательств поставщиками; обеспеченность отделов, секций магазина достаточным ассортиментом товаров в соответствии со спросом населения и другие факторы, влияющие на продажу товаров.
2 Динамика.
Анализ розничного товарооборота включает и показатели динамики продажи товаров за длительный период. Изучение динамики товарооборота необходимо осуществлять для выявления соответствия развития товарооборота данного предприятия общей тенденции развития товарооборота города, региона, страны. Однако при анализе следует учесть, что темпы роста товарооборота отдельного предприятия обычно ниже общих темпов развития торговли города, района и т. д. Это объясняется тем, что в общих показателях динамики товарооборота зафиксирован и так называемый механический прирост (за счет введения в строй новых магазинов, торговых акционерных обществ и т. д.). Но сравнивать темпы роста товарооборота предприятия роста лучше не с общими показателями, а с однотипными организациями, объединениями и т. д. Необходимо иметь ввиду, что в процессе динамики товарооборота отдельных организаций можно наблюдать и стабильность объема товарооборота на протяжении ряда лет. Так, в магазинах, реализующих хлебобулочные изделия и имеющих постоянный контингент покупателей, могут не отмечаться заметные колебания в сторону увеличения объема товарооборота. Здесь проявляется определенная стабильность физиологических норм потребления. Более того, увеличение потребления молочных продуктов, овощей, фруктов и других товаров может со временем сократить покупательский спрос на хлеб. Некоторое уменьшение объема товарооборота отдельных магазинов (особенно продовольственных) может происходить в результате переселения жителей из старых районов города. Рассматривая отдельные случаи стабильности временного ряда или сокращения объема товарооборота, по существу анализируют явления, вызывающие отклонения от общей закономерности.
При анализе динамики товарооборота осуществляется:
1) сравнение его размера в отчетном периоде с прошлым (базисным) периодом. Выбор базы для сравнения определяется конкретными задачами анализа. В результате сравнения исчисляются цепные и базисные темпы роста и прироста товарооборота, абсолютный прирост, среднегодовой темп роста. Среднегодовой темп роста может исчисляться по средней геометрической:
`Т = n-1ÖYn/ Y0, где
`Т – среднегодовой темп роста;
n-1 – число дней периода, за исключением базисного;
Yn – товарооборот конечного, последнего периода;
Y0 – товарооборот начального периода
7.4. Анализ сезонности, состава и структуры товарооборота.
1. Сезонность.
При планировании товарооборота также проводят анализ влияния сезонных колебаний на товарооборот. Сезонность – устойчивая закономерность внутригодичной динамики товарооборота. Сущность анализа сезонности сводится к выявлению конфигурации сезонной волны, измерению степени сезонных колебаний, исключению сезонных колебаний и к определению на этой основе периодов роста и сокращения продажи товаров. Обычно исследуются сезонные колебания продажи отдельных товаров, так как разные товары имеют различную степень и направленность сезонности. Изменение сезонных волн товарооборота изучается на основании данных трёх и более лет
Существует ряд методов для определения сезонной волны.: м. простой средней, м. цепных индексов (Персонса), сглаживанию по двум точкам, скользящая средняя и т.д.
Самый простой метод исчисления сезонной волны – это определение средних показателей помесячного товарооборота по средней арифметической из расчета трёх лет. Затем находится отношение помесячных средних из расчёта трёх лет к общей месячной средней, за весь период в процентах. Для измерения степени сезонной колеблемости товарооборота вычисляется коэффициент вариации.
2. Состав. Изучение состава розничного товарооборота является важным разделом анализа. Состав розничного товарооборота изучают по его видам, 1) по товарным группам, 2) по формам продажи товаров, 3) формам торгового обслуживания, 4) по формам оплаты, организационным формам, методам розничной продажи, формам оплаты и ассортименту.
Анализ товарооборота предполагает изучение удельного веса товарооборота каждой группы товаров, выделенных по определённому признаку в общем товарообороте: выполнение плана, изменение в динамике, сравнение с другими предприятиями.
3) Структура. В процессе деятельности предприятия меняется товарный состав РТО. Поэтому важным этапом работы является анализ структуры РТО в ассортиментном разрезе. Структура РТО – важный показатель торговый деятельности, оказывающий влияние на другие показатели: товарные запасы, производительность труда, издержки обращения, валовый доход и др. По данным о составе ТО и продаже отдельных товаров можно судить о степени удовлетворения спроса населения, тенденции и закономерности реализации отдельных товаров и т.п.
При анализе структуры исчисляют удельный вес продажи отдельных товаров в общем ТО за определённые периоды. Затем определяют отклонение от плановых показателей и устанавливают динамику продажи отдельных товаров за ряд лет. По товарным группам сложного ассортимента следует проводить анализ внутригрупповой структуры (аналит. учёт)
Анализируя структуру товарооборота следует составить таблицу по укрупненным товарным группам, применяя принцип приоритета или предпочтения тем товарным группам, которые занимают наибольшую долю в реализации товаров или выделить товарные группы по другому какому-либо принципу (важнейшим товарным группам и т.д.). Проанализировав структуру продажи товаров, необходимо определить факторы, оказавшие влияние на объем товарооборота в целом и на структуру реализации, рассчитать их влияние. Существует несколько способов определения и расчета влияния факторов. При этом применяются способы: разниц, цепной подстановки, группировки, дисперсионный, корреляционный и другие методы.
7. 5. Факторный анализ розничного товарооборота
На розничный товарооборот оказывает влияние множество факторов. Объем продажи товаров зависит от экономической и политической ситуации в стране и регионе, уровня инфляции, доходов населения и т.д.
Факторы, влияющие на товарооборот, подразделяются на внешние (не зависящие от торговой организации) и внутренние (зависящие от деятельности торговой организации).
Анализ внешних факторов осуществляется путем изучения макроэкономических показателей страны. При этом учитываются состояние и перспективы развития экономики страны в целом, денежно-кредитная, внешняя и внутренняя политика и возможные изменения в результате государственного регулирования.
Внутренние факторы.
1) Факторы, связанные с товарным обеспечением. а) (товарные запасы и поступление товаров), влияют на объем розничного товарооборота через изменение величины запасов на начало и конец отчетного периода, поступления товаров и их прочего выбытия. Между этими величинами имеется балансовая связь, выражаемая формулой товарного баланса:
Nзн + Nn = Np + Nв + Nзк,
где Nзн – запасы товаров на начало периода;
Nn – поступление товаров;
Np - розничный товарооборот;
Nв – прочее выбытие товаров;
Nзк – запасы товаров на конец периода;
На основании формулы товарного баланса величина розничного товарооборота определяется:
Np = Nзн + Nn - Nв - Nзк
Следовательно, на объем розничного товарооборота влияет каждое из алгебраических слагаемых товарного баланса. Увеличение начальных запасов и поступления товаров оказывает положительное влияние на сумму продажи товаров; их уменьшение, наоборот, способствует сокращению размеров реализации; уменьшение прочего выбытия товаров, сокращение конечных запасов товаров положительно влияют на сумму продажи; их увеличение сказывается отрицательно на величине товарооборота данного отчетного периода.
Влияние на сумму реализации того или иного слагаемого товарного баланса измеряется способом цепной подстановки или способом разниц, т.е. определения разницы между фактическими и сравниваемыми (прогнозируемыми или предшествующими) величинами.
Надо иметь в виду, что положительное отклонение запасов, для определенного периода, приобретает отрицательное значение для предшествующего и последующего периодов.
Методику исчисления влияния различных элементов товарного баланса на объем розничного товарооборота можно использовать и применительно к разделению товаров на продовольственные и непродовольственные, а внутри этих групп — по более дробным товарным группам.
Товарный баланс изучается в стоимостных показателях, что объясняется отсутствием количественного учета движения товаров в розничной торговле. Однако это правило касается не всех товаров: там, где они исчисляются в натуральном измерении, предпочтительнее проводить анализ товарного баланса в натуральных показателях. Анализ товарного баланса в натуральных измерителях может отличаться соотношениями в нем между отдельными элементами от соотношений в стоимостном выражении за счет фактора цен.
Каждый из элементов товарного баланса необходимо подвергают дальнейшему и более глубокому анализу.
б) Поступление товаров.
Анализ ведется по источникам поступления. Рассчитывается удельный вес поступления товаров из различных источников: от промышленности, оптовой торговли, импорта и т.д. В ходе анализа детально изучают отношения с отдельными поставщиками. Следует иметь в виду, что в розничной торговле, где учет ведется преимущественно в стоимостном измерении, выполнение поставщиками договоров поставок необходимо анализировать при широком использовании натуральных показателей (в строгом соответствии с условиями договора поставки). При анализе поступления товаров изучаются предъявленные претензии к поставщикам за некачественные поставки ими товаров и за нарушение сроков поставки.
Анализируя прочее выбытие товаров, следует изучить его состав: на переработку, возврат поставщикам, уценка, недостача и т.д. При этом выявляют причины и все обстоятельства, связанные с выбытием товаров (время их поступления в магазин, соблюдение требований качественной приемки их от поставщика, условия хранения в магазине и т.д.).
2) Трудовым факторы. К ним относятся численность работников, организация и производительность труда.
Работники торговых организаций должны способствовать появлению новых товаров, вовлекать их в товарооборот, воздействовать на ассортимент и качество товаров, вырабатываемых промышленными и сельскохозяйственными организациями. Непосредственно общаясь с населением в процессе продажи, торговые работники выявляют объем и характер потребительского спроса, воздействуют на формирование товарного потока, направляемого в розничную торговлю.
Численность торговых работников — важный показатель торговли. Однако эффективность работы торговых предприятий зависит от рациональной организации труда и повышения его производительности.
В качестве производительности труда в торговле применяется величина товарооборота на одного работника. Величину товарооборота можно представить произведением численности работников и производительности труда:
Np= ` Ч х В
где Np — розничный товарооборот, руб.;
В лекции "Внешняя политика Японии в конце XIX- начале XX вв." также много полезной информации.
`Ч — среднесписочная численность работников, чел.;
В — средний оборот на одного работника (выработка), руб.
3) Факторы, связанные с состоянием и эффективностью использования внеоборотных активов. К ним относятся: торговая площадь и рациональное ее использование; основные фонды и их использование; состояние незавершенного строительства и т.д.
Показателем оценки эффективности использования торговой площади является товарооборот на 1 м2 торговой площади. Увеличение объема продажи товаров может произойти в результате прироста торговой площади и более рационального ее использования.
На объем продажи товаров оказывает влияние состояние основных средств и других внеоборотных активов и эффективное их использование.
Рассчитать влияние вышеприведенных факторов можно методами цепной подстановки, способом разниц и интегральным методом.





















