Импульсные преобразователи
Схемы импульсных преобразователей
Классификация схем. Существует множество схем импульсных преобразователей постоянного тока. Это многообразие, главным образом, связано с использованием различных схемных способов принудительного конденсаторного выключения однооперационных тиристоров, составляющих основу полупроводникового ключа.
Схемы классифицируются по следующим признакам: способу запирания тиристоров (обратным напряжением, обратным током), виду коммутации (одноступенчатая, двухступенчатая), схеме включения коммутирующей ЭДС (параллельная, последовательная), структуре цепей заряда и разряда коммутирующего конденсатора (зависимая, независимая).

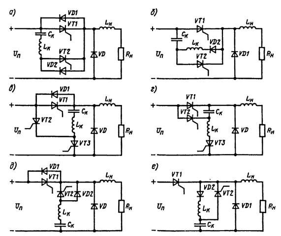
Схемы с одноступенчатой коммутацией. В простейших схемах с одноступенчатой коммутацией для запирания тиристоров используются постоянно включенные колебательные цепи (рис. 8.8).
При включении тиристора VT в LкCк-контуре возникает колебательный процесс. Через некоторое время ток в тиристоре "вытесняется" встречным током колебательного контура и становится равным нулю. Тиристор запирается обратным напряжением от коммутирующего конденсатора. Для изменения среднего значения напряжения на нагрузке в этих схемах может быть применен лишь частотно-импульсный способ, что заметно ограничивает регулировочные свойства и энергетические показатели преобразователя. Поэтому в подавляющем большинстве случаев в современных тиристорных импульсных преобразователях используются схемы с двухступенчатой коммутацией.
Схемы с двухступенчатой коммутацией (рис. 8.9). В таких схемах коммутирующие цепи присоединяются к цепи силового (главного тиристора с помощью вспомогательных (коммутирующих) тиристоров в определенные моменты времени, и ток главного тиристора на короткий интервал времени проходит через коммутирующий тиристор. При этом запирание главного тиристора может осуществляться обратным напряжением (жесткая коммутация) или импульсом обратного тока (мягкая коммутация).

Рис. 8.9. Базовые схемы тиристорных импульсных преобразователей с коммутацией импульсом обратного тока (а, в, д) и приложением обратного напряжения (б, г, е).
Рекомендуемые материалы
Многоквадрантный режим импульсного преобразователя. Рассмотренные выше схемы включения ИР соответствуют только одноквадрантному режиму преобразования энергии, так как полярность напряжения и2 и направление тока i2 цепи нагрузки для каждой из схем неизменны.
Рассмотрим возможность реализации в схемах с ИР многоквадрантных режимов преобразования энергии в цепях постоянного тока (рис. 8.12).
В схемах (рис. 8.12, а,б) показаны направления потоков энергии Р. Возможные области режимов работы в координатах U2, I2 показаны заштрихованными областями для соответствующего квадранта. Эти схемы можно включить совместно в такой комбинации, которая обеспечивает многоквадрантный режим работы.
На рис. 8.12, в и г приведены схемы для двухквадрантного режима работы. Схема (см. рис. 8.12, в) предусматривает изменение направления тока I2, а схема (рис. 8.12, г) — напряжения U2. В обоих случаях достигается изменение направления потока Р. В схеме с изменением направления тока I2 предусматривается специальный коммутирующий дроссель Lк с выведенной средней точкой для разделения выключаемого тиристора от встречно включенного диода. Этот дроссель снижает ответвление коммутирующего тока в цепь данного диода.
Схема (рис. 8.12, д) позволяет реализовать четырехквадрантный режим импульсного преобразователя. Поскольку напряжение U2 как и ток I2 на стороне нагрузки могут изменять направление на обратное, достигается работа преобразователя во всем пространстве состояний. Эта схема представляет собой преобразователь постоянно-переменного тока, т.е. мостовую схему однофазного инвертора, обеспечивающую передачу энергии из цепи постоянного тока в цепь переменного тока и обратную передачу энергии.



Автономные инверторы в системах электропривода переменного тока
Принципы построения и управления
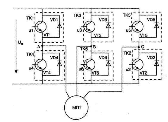
В современных системах электропривода переменного тока практически повсеместно в качестве силовых регуляторов используются транзисторные автономные инверторы. Оконечный каскад трехфазного автономного инвертора содержит шесть транзисторов с обратными диодами.
Для управления трёхфазными машинами переменного тока в электроприводе используется схема автономного инвертора (АИН), содержащая шесть транзисторных ключей ТК1-ТК6 (рис. 1).
Статорные обмотки машины при питании от такого инвертора включаются либо по схеме «звезда», либо по схеме «треугольник». Как в первом, так и во втором случае переключение транзисторных

Рис.1
ключей любой фазы инвертора (например, ТК1, ТК4) вызывает изменение напряжения на всех обмотках двигателя. Это обстоятельство сильно усложняет анализ электромагнитных процессов.
В настоящее время известно большое число различных способов управления силовыми ключами инвертора. Для сравнительной оценки различных схем и способов управления инвертором целесообразно разделить их на ряд групп, положив в основу деления структуру силовой цепи инвертора и регулируемые параметры результирующего пространственного вектора напряжения и тока на выходе инвертора (табл. 3.2). В зависимости от структуры силовой цепи все инверторы подразделяются на два класса: инверторы с постоянной структурой силовой цепи и с переменной структурой силовой цепи.
Таблица 3.2
Способы управления трёхфазными автономными инверторами напряжения
| Структура cиловой цепи | Регулируемые параметры результирующего вектора | |||
| Модуль | Средний модуль | Модуль и средняя фаза | Средний модуль и средняя фаза | |
| Постоянная | Регулирование напряжения в звене постоянного тока при α = 180° | Широтно-импульсное регулирование (ШИР)* | Регулирование напряжения в звене постоянного тока при ШИМ | Широтно-импульсная модуляция (ШИМ) |
| Переменная | То же при α= 180°, 150° | То же** | То же** | То же** |
* — С тремя силовыми ключами, открытыми в течение импульса и паузы.
** — С одним (АОП) или с двумя (АГП) силовыми ключами, закрытыми в течение паузы.
В схемах первого класса управляющие сигналы подаются всегда на три силовых ключа, что обуславливает неизменность структуры силовой цепи. В схемах второго класса число ключей, на которые подаются управляющие сигналы, может быть меньше трёх.
Простейшим способом управления транзисторными ключами ТК1-ТК6 инвертора, обеспечивающим неизменность структуры силовой цепи, является способ с α = 180° (рис. 2).

Рис.2 Алгоритм управления АИН с α = 180°
Здесь в течение 1/6 периода выходного напряжения (в течение периода повторяемости Тпвт) включены три транзисторных ключа. Последовательность управления ключами следующая: 123, 234, 345, 456, 561, 612.
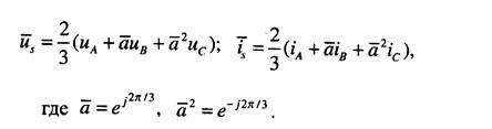
Простейшими способами управления транзисторными ключами, при которых изменяется структура силовой цепи инвертора, являются способы с а = 120° и α = 150°. Последовательность управления транзисторными ключами при а = 120° следующая: 12, 23, 34, 45, 56, 61. При α = 150° транзисторные ключи переключаются в такой последовательности: 12, 123, 23, 234, 34, 345, 45, 456, 56, 561, 61, 612. Электромагнитные и электромеханические характеристики систем при простейших способах управления инвертором достаточно подробно освещены в литературе. Общим недостатком этих способов является необходимость применения управляемого выпрямителя для изменения напряжения на выходе инвертора.Рассмотрение сложных способов управления удобно осуществить, пользуясь понятием результирующего, пространственного вектора. Пространственные векторы напряжения иs и тока is на выходе инвертора определяются уравнениями:

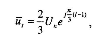
Например, при управлении с α = 180° и соединении обмоток машины переменного тока (МПТ) звездой вектор напряжения равен

где l — номер интервала (целые числа 1, 2, 3, .....);
Un — напряжение питания инвертора.
Из уравнения видно, что пространственный вектор статорного напряжения постоянен на интервале и скачкообразно изменяет фазу при переключении с интервала на интервал. При управлении с α = 180° на периоде выходного напряжения АИН укладывается шесть периодов повторяемости Тпвт каждому из которых соответствует определённое сочетание включённых полупроводниковых приборов инвертора и положение пространственного вектора.
На рис. 3 представлены изображающие векторы иs и is для
общего случая индуктивно-активной нагрузки. Номера в квадратных скобках соответствуют тем транзисторным ключам, на которые поданы отпирающие сигналы. При этом каждому сочетанию соответствуют определённые положения вектора иs, помеченные цифрами 1-6.
Годограф вектора тока i при этом представляет собой кривую а-б-в-г-д-е. В круглых скобках помечены транзисторные ключи инвертора, которые проводят ток. Так, при включении ТК6, ТК2 вектор и, займёт положение 1, а вектор i начнёт перемещаться из положения а в положение б. До пересечения годографа вектора i с прямой, отстающей
на π/6 от вектора иs, т.е. до точки а1 ток проводят ключи ТК6, ТК1 и обратный диод
D2 (этотдиод входит в состав транзисторного ключа ТК2; аналогично все остальные диоды являются составной частью соответствующих транзисторных ключей), а в момент, соответствующий точке а1, ток в фазной обмотке двигателя С изменяет направление, диод D2 запирается и проводящими становятся ключи ТК6, ТК1, ТК2. Длительность отмеченных двух состояний силовой цепи инвертора зависит от постоянной времени нагрузки , при увеличении которой увеличивается длительность состояния (6, 1, D2); при определённом значении постоянной времени нагрузки на этом интервале ТК2 не включается.
В целях более подробной классификации схем используем следующие величины:
1 — модуль результирующего вектора us =mod(us)
2 — средний модуль результирующего вектора иsср = γ mod(us);
где γ =t1/Tо — относительная длительность состояния, при котором обмотки машины переменного тока присоединены к источнику;
1-γ =t2/То — относительная длительность состояния, при которой обмотки закорочены через анодные или катодные транзисторные ключи;

Рис. 3 Пространственные векторы напряжения и тока на выходе АИН
ЛЕКЦИЯ
Источники реактивной мощности на базе управляемых реакторов и коммутируемых конденсаторов
Реактор, управляемый тиристорами. Наиболее гибким средством компенсации реактивной мощности является компенсатор с реактором, управляемым тиристорами, который обычно состоит из комбинации реакторов, управляемых тиристорными вентилями по 6-или 12-фазной схеме, и постоянной шунтовой конденсаторной батареи (конденсаторная батарея может отсутствовать в случае большой зарядной мощности линии электропередачи). Реакторы состоят из однофазных блоков. Для иллюстрации принципов подавления гармоник при соединении реакторов в трехфазные схемы, вначале представлено описание работы однофазного устройства.
Однофазный реактор. Реактор коммутируется синхронно с питающим напряжением с помощью тиристорного вентиля, состоящего из двух тиристоров, включенных встречно-параллельно. Синхронная коммутация реактора может быть осуществлена только, если тиристорный вентиль переключается в проводящее состояние в каждый положительный и отрицательный полупериод в моменты после прохождения напряжением максимумов, но не позже моментов перехода напряжения через нуль. В каждый полупериод реактор остается включенным, пока ток, проходящий через него, не снизится до тока удержания тиристора, после чего вентиль запирается. Диаграмма мгновенных значений напряжения и тока представлена на рис.1

Рис.1 Характерные кривые мгновенных значений напряжения и тока реактора, управляемого тиристорами
Момент включения вентиля обычно описывается углом отпирания α, отсчитываемым от перехода кривой напряжения через нуль. Угол проводимости вентиля σ, как и значение тока реактора, зависит от угла отпирания и, когда значение α составляет 180°, реактор не включается. В общем случае ток, протекающий через реактор, отличается от синусоидального, и может быть разделен на основную и высшие гармоники по формулам разложения в ряд Фурье. Основная и высшие гармоники тока есть нелинейные функции угла отпирания.
Реактор с 6-фазной схемой управления. Реактор, управляемый тиристорами по 6 -фазной схеме, состоит из трех реакторов, соединенных в треугольник (рис.2) или в звезду. Для управления тиристоров требуется 6 управляющих импульсов. Рабочее напряжение тиристоров составляет до 4-6 кВ. Тиристоры соединяются последовательно, образуя вентильное плечо, пиковое напряжение которого может лежать в диапазоне от единиц до десятков кВ.

Рис.2 Реактор, управляемый тиристорами по 6-фазной схеме
Для анализа работы трехфазного реактора предполагается, что три реакторных блока идентичны, приложенные напряжения симметричны, коммутация реакторов в положительные и отрицательные полуволны симметрична и углы отпирания тиристоров равны. Вместе с основными гармониками токи в реакторах содержат все канонические гармоники. Гармоники с номерами (6n+1) (1, 7, 13-я и т. д.) образуют токи прямой последовательности; составляющие с номерами (6n+3) (3, 9, 15-я и т.д.) образуют токи нулевой последовательности и составляющие с номерами (6n+5) (5, 11-я и т. д.) образуют токи обратной последовательности. Токи нулевой последовательности замыкаются в треугольнике, образованном реакторами, а токи прямой и обратной последовательности попадают в сеть.
Канонические гармоники для данной схемы имеют номера (6n± 1), где n = 1, 2, 3 ... В реальных схемах реакторные блоки не идентичны, а линейные напряжения не идеально симметричны, что в определенной степени влияет на состав гармоник тока. В дополнение к указанным выше составляющим будут протекать токи обратной последовательности основной частоты, а также токи прямой и обратной последовательности с номерами гармоник (6n+3). Содержание этих гармоник в нормальных режимах мало.
Если коммутация реактора несимметрична относительно положительного и отрицательного полупериодов, то ток реактора содержит полный спектр гармоник, включая постоянную составляющую, которая может привести к насыщению трансформатора связи и дополнительной генерации гармоник. При соединении реакторов в звезду отсутствует контур для замыкания токов нулевой последовательности и может потребоваться дополнительно установка фильтров.
Реактор с 12-фазной схемой управления. Реактор, управляемый тиристорами по 12-фазной схеме, состоит из двух 6-фазных блоков, питаемых от двух вторичных обмоток трансформатора связи, одна из вторых соединена в треугольник, а другая - в звезду (рис.3).
Каждый трехфазный реактор соединен в треугольник для замыкания гармонических составляющих тока с номерами 3, 9, 15 и т. д. Оба реактора управляются от одного регулятора, поскольку углы отпирания для вентилей обоих реакторов равны. Так как тройки напряжений питания сдвинуты, благодаря соединениям вторичных обмоток
трансформатора, на 30°, гармонические составляющие тока с номерами 5, 7, 17, 19 и т.д. (т. е. гармоники с номерами 6(2n- 1) ± 1 для n = 1, 2, 3 ...),

Рис.3 Реактор, управляемый тиристорами по 12-фазной схеме
генерируемые двумя трехфазными реакторными блоками, создают противоположные магнитодвижущие силы, уничтожающиеся в трансформаторе. Уничтожение гармоник имеет существенное значение, поскольку уменьшает общую генерацию гармоник в сеть до уровня, при котором не требуется дополнительной фильтрации.
Канонические гармоники для данной схемы имеют номера (12n±1) где n = 1, 2, 3 ... Для формирования управляющих импульсов вентилей двух трехфазных реакторных блоков необходимы две раздельные системы цепей синхронизации.
Системы регулирования компенсаторов с 6- и 12-фазной схемой управления реактора принципиально одинаковы и состоят из измерительных органов напряжения и тока, элемента сравнения сигнала с уставкой, линеаризующей цепи и одной или более цепей синхронизации.
Компенсаторы с реакторами, управляемыми тиристорами, являются весьма гибкими устройствами в отношении изменений их статических и динамических характеристик: эквивалентного реактивного сопротивления (статизма), напряжения уставки, коэффициентов и постоянных времени, так как они определяются настроечными параметрами регулятора. Тем самым система регулирования может быть оптимизирована для достижения быстрого отклика компенсатора на внезапные изменения напряжения сети. Кроме вариации сопротивления сети должно быть учтено влияние близости других компенсаторов во избежание возможного самораскачивания.
Компенсатор с 12-фазной схемой управления обладает большей перегрузочной способностью потребления реактивной мощности, чем компенсатор с 6-фазной схемой. Так как уровень гармоник уменьшается внутренними схемными средствами, то реакторы могут быть рассчитаны на
номинальный уровень потребления реактивной мощности при угле проводимости тиристоров менее 180°. При необходимости угол может быть увеличен до 180°, т. е. до состояния полной проводимости.
Насыщение трансформатора дает возможность дополнительного потребления реактивной мощности.
Компенсаторы с 12-фазной схемой управления используются также для регулирования напряжений в высоковольтных кабельных линиях электропередачи. Для этих применений требуется только потребление реактивной мощности. Поэтому компенсаторы для кабельных линий состоят только из трансформатора связи и реактора, управляемого тиристорами по 12-фазной схеме.
Компенсатор с управляемым тиристорами реактором – трансформатором. Компенсатор с управляемым тиристорами реактором-трансформатором состоит из реактора-трансформатора в сочетании с постоянной шунтовой конденсаторной батареей.
Реактор-трансформатор. Реактор-трансформатор представляет собой специальную разновидность реактора, управляемого по 6-фазной схеме, разработанную для снижения стоимости блока трансформатор-реактор. Это трансформатор с сопротивлением рассеяния, равным 1 отн. ед., обычно рассчитанный на довольно высокий уровень напряжения насыщения.
Для применений в сетях высокого напряжения реактор-трансформатор может иметь схему соединения звезда—треугольник или треугольник—звезда, а в сетях сверхвысокого напряжения — только звезда с заземленной нейтралью — треугольник.
Эквивалентное сопротивление реактора-трансформатора изменяется путем закорачивания вторичных обмоток тиристорными вентилям. Тиристорные вентили, используемые для этой цели, соединяются, как вторичные обмотки, в звезду или треугольник.

Рис.4 Схема реактора-трансформатора и кривые мгновенных значений напряжений и токов
Схема реактора-трансформатора с соединением обмоток звезда с заземленной нейтралью—треугольник представлена на рис.4. Первичные обмотки соединены в звезду с заземленной нейтралью, а вторичные обмотки и тиристорные вентили соединены в треугольник. Управляющие импульсы тиристорных вентилей синхронизированы от соответствующих фазных напряжений на стороне первичной обмотки, а углы отпирания одинаковы для всех трех вентилей.
Если значение угла отпирания находится между 150 и 180°, то в произвольный момент времени проводит только один вентиль, обеспечивая протекание тока в своей фазе и через две другие фазные обмотки. Первый ток ограничивается сопротивлением рассеяния, а второй — удвоенным сопротивлением рассеяния и равен половине первого. Таким образом, ток в данной обмотке состоит из трех импульсов в каждую половину, причем больший импульс соответствует интервалу проводимости своего вентиля, а два меньших — интервалам проводимости вентилей двух других фазных обмоток. Кривые мгновенных значений напряжений и токов показаны на рис.
Если угол отпирания лежит в интервале от 120 до 150°, то интервал проводимости каждого вентиля частично перекрывает интервалы проводимости других вентилей. Когда два вентиля проводят одновременно, они обусловливают короткое замыкание во всех обмотках, а если проводит один вентиль, то он обусловливает непосредственное короткое
замыкание только в своей обмотке. Соответственно, в каждый полупериод ток состоит из пяти сегментов: два сегмента в окрестности переходов тока через нуль равны кривой тока, соответствующей полной синусоиде; один сегмент посредине полуволны является частью той же кривой, но сдвинутой вниз (усеченной) согласно начальным условиям протекания тока, и два промежуточных сегмента соответствуют полным кривым тока в двух других фазах, но с уменьшенной вдвое амплитудой и сдвинуты вниз в соответствии с начальными условиями протекания тока.
Когда угол отпирания составляет 120°, то кривая тока имеет форму полной синусоиды. Таким образом, сопротивление реактора-трансформатора может изменяться в полном диапазоне путем изменения угла отпирания в диапазоне от 120 до 180 °.
Во всех случаях ток будет состоять из основной и высших нечетных гармоник. Однако, благодаря специальному соединению тиристорных вентилей, токи третьей и нечетных гармоник, кратных трем, не будут генерироваться при условии идентичности сопротивлений, симметрии напряжений и управляющих импульсов.
Компенсатор с коммутируемыми конденсаторами. Компенсатор с коммутируемыми конденсаторами состоит только из батареи конденсаторов, коммутируемой тиристорами, и расщепленной на ряд блоков одинаковой мощности для достижения ступенчатого регулирования равными долями. Компенсатор этого типа используется как дискретно регулируемый источник реактивной мощности в случаях, когда такое регулирование напряжения считается удовлетворительным.
В основной схеме данного типа компенсатора с целью уменьшения скорости изменения тока через конденсатор используется последовательно включенный реактор. Тиристорный вентиль обычно располагается между реактором и конденсаторной батареей так, что ток, протекающий через вентиль, ограничивается при коротком замыкании одного из элементов. Для анализа коммутационных переходных процессов предположим, что конденсаторная батарея подключена к источнику напряжения бесконечной мощности (рис.5).

Рис.5 Схема коммутируемого конденсатора и характерные кривые переходных процессов при коммутации:
1 - момент включения; 2 - момент выключения
Если управляющие импульсы не подаются на управляющие электроды тиристоров, конденсатор остается выключенным.
Когда управляющий импульс переводит тиристор в проводящее состояние, конденсаторная батарея подключается. В моменты изменения направления тока выключается другой тиристор вентиля, поддерживая вентиль в проводящем состоянии. Обычно это производится с помощью последовательности управляющих импульсов. Когда последовательность импульсов прекращается, вентиль проводит до тех пор, пока ток не снизится до значения, равного току удержания тиристора. В этот момент вентиль отключается, оставляя конденсатор заряженным. Если в момент введения вентиля в работу питающее напряжение отличается от остаточного напряжения на конденсаторе, то будут протекать токи, уравнивающие напряжение. Это явление сопровождается высокочастотными колебаниями, постепенно затухающими со временем.
На рис.5 показаны коммутационные явления и кривые мгновенных значений напряжений и токов для трех случаев, когда мгновенное напряжение системы: а) равно, б) меньше, в) выше остаточного напряжения на конденсаторе.
Данный тип компенсатора состоит из конденсаторов, коммутируемых тиристорами, трансформатора связи и системы регулирования.
Компенсатор комбинированного типа. Компенсаторы комбинированного типа включают два вида регулируемых реактивных элементов: управляемые реакторы и коммутируемые конденсаторы. Обычно для сглаживания регулировочной характеристики при ступенчатом регулировании конденсаторной батареи на два-четыре коммутируемых конденсаторных блока используется один управляемый реактор равной мощности. Таким образом, выдача реактивной мощности регулируется непрерывно от номинального значения до нуля. Сглаживающий реактор потребляет реактивную мощность своего номинального значения. Если требуется дополнительное потребление реактивной мощности, могут быть установлены коммутируемые реакторы.
Единственным фазоуправляемым элементом установки является сглаживающий реактор. Однако генерация им гармоник невелика вследствие малого значения его мощности. Тем не менее, коммутируемые конденсаторные батареи обычно настраиваются для фильтрации соответствующих гармоник до заданного уровня.
Скорость реакции комбинированного компенсатора на резкие изменения напряжения та же, что и для других типов компенсаторов. Однако параметры регулятора должны быть согласованы с параметрами системы, т.е. должны учитывать сопротивление сети, близость других компенсаторов и другие влияющие обстоятельства.
Что касается перегрузочной способности, то данный тип статического компенсатора обладает тем преимуществом, что в режимах перенапряжения регулятор может отключить все конденсаторные батареи и
подключить все имеющиеся реакторы. Кроме того, насыщение трансформатора является фактором, способствующим дополнительному потреблению реактивной мощности. Если имеется перегрузочный реактор, предназначенный для снижения кратковременных перенапряжений, то он может быть использован для расширения рабочего диапазона компенсатора.
Комбинированные компенсаторы обладают низкими потерями, так как мощность сглаживающего реактора меньше мощности реакторов, применяемых в других типах компенсаторов с тиристорным управлением. Это является преимуществом компенсаторов комбинированного типа в случаях, когда потери оказываются существенным фактором стоимости.
Описанные в данной главе основные схемы статических компенсаторов, могут быть использованы для регулирования напряжения на вводах 110/220 кВ тяговых подстанций.
Наиболее рациональным, с точки зрения снижения уровня высших гармоник, было бы использование компенсаторов с фазоуправляемыми реакторами по 12-фазной схеме. Однако такая схема требует 2 трехфазных реакторных блока, соединенных по схеме треугольник, и специальный трехобмоточный трансформатор связи. Поэтому более дешевым представляется вариант использования компенсаторов с фазоуправляемыми реакторами по 6-фазной схеме посредством оснащения имеющихся шунтовых реакторов тиристорными системами плавного регулирования тока. Комбинированная схема, сочетающая фазоуправляемые реакторы с коммутируемыми конденсаторами, обеспечивает большую гибкость в отношении регулирования пониженных и повышенных напряжений и характеризуется низкими потерями. Все компенсаторы с тиристорным управлением обладают высокой гибкостью к изменению их рабочих характеристик. В связи с достаточно большой зарядной мощностью ВЛ 220 кВ потребность в комбинированных схемах ограничена. Конденсаторные батареи необходимы для исключения пониженных уровней напряжения в некоторых утяжеленных режимах, в частности, при пропуске пакета тяжеловесных поездов.
Лекция последняя.
Компенсированные и импульсные выпрямители
- Обычные выпрямители имеют коэффициент мощности меньше 1.

Выпрямительная нагрузка имеет индуктивный характер
U1

I1 
- Улучшением показателей работы выпрямителей может быть достигнуто включением в схему выпрямления дополнительных устройств, обеспечивающих снижение обмена реактивной энергией индуктивного характера с питающей сетью. Это может быть реализовано подключением к первичной или вторичной обмоткам ПТ конденсаторов и LC фильтров. Врезультате происходит компенсация реактивной энергии в питающей сети. Такие выпрямители называются компенсационными.
- Использование устройств принудительной коммутации в схемах выпрямления (напр. конденсаторной коммутации ) или полностью управляемых СПП.( запирающих тиристоров или силовых транзисторов – другой способ снижения уровня обмена реактивной энергией с источником питания. Посредством опережения выключения СПП в плечах выпрямительной схемы можно обеспечить уменьшение угла фазового сдвига основной гармонической составляющей тока. Такой способ получил название секторного регулирования выпрямителей. При этом способе решается лишь задача снижения фазового сдвига между напряжением и первой гармоникой тока, но не обеспечивается снижение искажения формы тока.
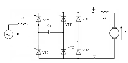
Выпрямители с секторным регулированием
1.

2.

3.

-дает отставание по фазе i1(1) от U1,
-дает опережение по фазе i1(1) от U1,
и
- позволяет получить совпадение по фазе i1(1) и U1.

полууправляемый мост VT1,VT2,VD1,VD2
VT1’ и VT2’-вспомогательные коммутирующие тиристоры,
Cк - коммутирующий конденсатор.

Импульсные выпрямители
Другим эффективным способом повышения коэффициента мощности является способ на основе многократного включения и выключения СПП в каждом плече схемы выпрямителя в течение одного периода напряжения питающей сети. На основе модуляции длительности включенного и отключенного состояния в каждой фазе формируется ток заданной формы с требуемым сдвигом фазового угла основной гармоники.
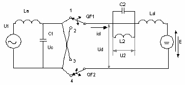
Схема замещения однофазного мостового выпрямителя с эквивалентным механическим коммутатором.

Коммутация на стороне переменного тока.
Возьмем четыре различные состояния коммутатора:
Замкнуты
1QF1 и 4QF2 Uc(t)
2QF1 и 3QF2 -Uc(t)
1QF1 и 3QF2 0
2QF1 и 4QF2 0
Состояния коммутатора сменяются с тактовой частотой
,
где f – частота,
N – кратность тактовой частоты.
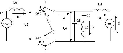
Ток на стороне коммутатора i2(t)

C2L2 – фильтр пробка
- коэффициент
заполнения,
tu – длительность включенного состояния,
Tp – период fp,
- изменяется от 0 до1 при m=1 по синусоидальному законную
Изменяя коэффициент заполнения и коэффициент модуляции m можно плавно регулировать Ud, в том числе переводить его в область отрицательных значений (генераторный режим потребителя).

Схема замещения импульсного однофазного мостового выпрямителя с коммутацией на стороне постоянного тока.
Коэффициент мощности 1,…
| По мощности % | По стоимости % | |
| I. Преобразовательные установки для электровозов, электропоездов, метро, трамвая, троллейбуса 2. Тяговые подстанции 3. Электролиз и гальваника 4. Преобразователи для тепловозов, 5. Электропривод постоянного тока 6. Электропривод переменного тока 7. Возбуждение электрических машин 8. Высоковольтные источники питания 9. Низковольтные источники питания 10. Высоковольтные преобразователи для линий электропередач 11. Зарядные устройства 12. Электротермия (вакуумно-дуговые, плазменные печи, печи сопротивления, нагрев ТВЧ) 13. Установки для защиты от коррозии 14. Прочие | 19,5 13,5 13 12,5 8,5 0,5 6,0 4,0 3,5 3,5 3,0 1,8 0,1 10,6 | 3,0 2,0 15,5 2,0 25,5 7,5 5,5 2,0 Обратите внимание на лекцию "3 Основные операции над множествами". 2,0 4,5 15,0 5,5 0,2 9,8 |





















