Технические методы и средства измерений
3 Технические методы и средства измерений.
3.1 Классификация средств измерений
Средства измерений (СИ), применяемые для измерения характеристик электрических сигналов и параметров радиотехнических цепей можно условно разделить на две большие группы: электромеханические и электронные измерительные приборы (ИП).
Электромеханические приборы, как правило, состоят из относительно простой измерительной цепи и измерительного механизма.
Измерительная цепь – это совокупность элементов СИ, образующих непрерывный путь прохождения измерительного сигнала одной физической величины от входа до выхода.
Измерительную цепь измерительной системы называют измерительным каналом.
Измерительный механизм СИ – совокупность элементов СИ, которые обеспечивают необходимое перемещение указателя (стрелки, светового пятна и т.д.). Он состоит из механических и электрических элементов (пружин, катушек, магнитов), взаимодействие которых вызывает из взаимное перемещение.
В состав электронных ИП входят электронные устройства: усилители, счетчики, дешифраторы, электронные ключи и т.п.
Каждый ИП имеет отсчетное устройство, которое позволяет производить отсчет измеряемой величины. Измерительная информация может быть представлена в цифровой или аналоговой форме.
Рекомендуемые материалы
В зависимости от способа обработки и представления информации ИП делятся на аналоговые и цифровые.
В аналоговых ИП выходные сигналы, а следовательно, и показания являются непрерывными функциями изменения измеряемой величины. В цифровых ИП вырабатываются дискретные сигналы измерительной информации, а показания представляются в цифровой форме.
Электронные ИП по характеру измерений и виду измеряемой величины делятся на 20 подгрупп, которым присваиваются буквенные обозначения:
А – приборы для измерения силы тока;
В - приборы для измерения напряжения;
Е - приборы для измерения параметров и компонентов цепей с сосредоточенными постоянными;
М - приборы для измерения мощности;
Р - приборы для измерения параметров элементов и трактов с распределенными постоянными;
Ч - приборы для измерения частоты и времени;
Ф - приборы для измерения разности фаз и группового времени запаздывания;
С - приборы для исследования формы сигнала и спектра;
Х – приборы для наблюдения и исследования характеристик радиоустройств;
И – приборы для импульсных измерений;
П - приборы для измерения напряженности поля и радиопомех;
У – усилители измерительные;
Г – генераторы измерительные;
Д – аттенюаторы и приборы для измерения ослабления;
К – комплексные измерительные установки;
Л – приборы для измерения параметров электронных ламп и полупроводниковых приборов;
Ш – приборы для измерения электрических и магнитных свойств материалов;
Э – измерительные устройства коаксиальных и волноводных трактов;
Я – блоки радиоизмерительных приборов;
Б – источники питания для измерений и радиоизмерительных приборов.
В подгруппах приборы по признакам основной выполняемой функции разделяются на виды. Вид СИ – совокупность СИ, предназначенных для измерения данной физической величины. Вид СИ обозначается арабской цифрой после буквы, обозначающей вид. Например, В2 – вольтметры постоянного тока, В3 – вольтметры переменного тока, В7 – универсальные вольтметры.
Приборы каждого вида по совокупности технических характеристик и очередности разработок разделяются на типы, которым присваивается порядковый номер модели: В7-28. Тип СИ – совокупность СИ одного и того же назначения, основанных на оном и том же принципе действия, имеющих одинаковую конструкцию и изготовленных по одной и той же технической документации. Для модернизированных приборов после цифры, обозначающей тип, ставятся в алфавитном порядке буквы русского алфавита, соответствующие очередной модернизации: В7-28А. Конструктивная, но не электрическая модернизации обозначается цифрой после косой черты: В7-28А/1. Для комбинированных приборов после буквы, обозначающей подгруппу, ставится буква К: ФК2-18 – прибор для измерения фазовых сдвигов и параметров четырехполюсников. Для приборов, предназначенных для работы в тропическом климате, после обозначения типа ставится буква Т.
Обозначения электромеханических приборов состоят из букв, которые в основном соответствуют типу прибора, и цифр (М, Э и т.п.).
В зависимости от формы представления показаний приборы делятся на показывающие, допускающие только отсчет показаний, и регистрирующие, в которых возможен не только отсчет, но и регистрация показаний в форме диаграмм (самопишущие приборы) или распечатки (печатающие).
По условиям применения ИП делятся на три группы:
1) приборы общего применения, предназначенные для использования в различных радиотехнических устройствах независимо от их назначения;
2) приборы специальные (сервисные), узкого назначения, предназначенные для измерения параметров сигналов в определенных устройствах (объектах);
3) приборы встроенные, конструктивно входящие в состав радиоэлектронных устройств.
Некоторые ИП можно использовать в качестве всех трех (например, электронные вольтметры, генераторы).
Вся совокупность ИП по назначению условно разбивается на три основные группы:
1) приборы для измерения параметров и характеристик электрических сигналов (подгруппы А, В, М, Ч, С, …);
2) приборы для измерения параметров и характеристик электрических цепей (измерители сопротивления, индуктивности, емкости – Е, Р и др.);
3) источники измерительных сигналов – измерительные генераторы (Г).
Важным классификационным признаком является принцип действия в соответствии с используемым методом измерений. По этому признаку различают
- приборы прямого преобразования (действия);
- приборы сравнения (компенсационного преобразования).
Прибором прямого преобразования называется ИП, в котором происходит одно или несколько преобразований входного сигнала в одном направлении. Его структурная схема представлена на Рисунке 3.1.

Рисунок 3.1 – Структурная схема ИП прямого преобразования.
Тип индикаторного устройства (ИУ) определяется принадлежностью. Прибора к той или иной группе (аналоговой, цифровой, показывающий или регистрирующий).
Входной сигнал Х последовательно преобразуется в выходной Хn, который отображается на ИУ или используется при дальнейшей обработке.
Прибором сравнения называется ИП, предназначенный для непосредственного сравнения измеряемой величины с величиной, значение которой известно (мерой). Известная величина воспроизводится с помощью меры или набора мер. Структурная схема прибора сравнения представлена на Рисунке 3.2.

Рисунок 3.2 – Структурная схема ИП сравнения.
В ИП сравнения измеряемая величина Х подвергается прямому преобразованию в преобразователях П1, …, Пn, и по цепи обратной связи сигнал Хn через преобразователи П¢1, …, П¢m управляет значением меры.
При полной компенсации сигналов в схеме сравнения в установившемся режиме DX = X – Xm = 0. Изменением коэффициента передачи цепи обратного преобразования добиваются нулевых показаний ИУ. Значение измеряемой величины в этом случае будет равно значению меры Хm. Такая модификация метода сравнения получила название нулевого метода.
Другой разновидностью метода сравнения является дифференциальный метод. В этом случае в установившемся режиме DX = X – Xm ¹ 0. С помощью ИУ фиксируется величина DX, а измеряемая величина будет равна X = Xm + DX.
К приборам сравнения можно отнести измерительные мосты, потенциометры, некоторые виды вольтметров.
3.2 Метрологические характеристики средств измерений и их нормирование
Все характеристики СИ можно разделить на две группы: метрологические и технические.
Метрологическая характеристика – это характеристика одного из свойств СИ, влияющая на результат измерения и на его погрешность.
Метрологические характеристики регламентируются следующими документами:
ГОСТ 22261-94 Средства измерений электрических и магнитных величин. Общие технические условия;
ГОСТ 8.009-84 ГСИ Нормируемые метрологические характеристики средств измерений;
ГОСТ 24314-80 Приборы электронные измерительные. Термины и определения. Способы выражения погрешностей и общие условия испытаний.
К основным метрологическим характеристикам СИ относятся чувствительность, входной импеданс, вариация показаний, динамические характеристики, погрешность СИ, выходной код, число разрядов кода, номинальная цена единицы наименьшего разряда.
Чувствительность СИ – свойство СИ, определяемое отношением изменения выходного сигнала этого средства к вызывающему его изменению измеряемой величины:
.
На практике используется такая метрологическая характеристика, связанная с чувствительностью, как цена деления шкалы (постоянная прибора) – разность значений величины, соответствующих двум соседним отметкам шкалы СИ.
Для равномерной шкалы СП = 1/ SП.
Если шкала прибора неравномерная, т.е. в пределах шкалы цена деления меняется, то нормируется минимальная цена деления.
Иногда в качестве характеристики используется порог чувствительности (предельная чувствительность) - характеристика СИ в виде наименьшего значения изменения физической величины, начиная с которого может осуществляться ее изменение данным средством.
Входной импеданс (Zвх) определяется влияние СИ на работу исследуемой схемы. За счет потребления некоторой мощности СИ может изменить режим работы маломощного источника входного сигнала, что приводит к появлению методической погрешности.
Входной импеданс характеризуется активной и реактивной составляющими. Часто в качестве параметров входа СИ указывается значение входного активного сопротивления и входной емкости.
На постоянном токе и в диапазоне низких частот нормируется входное активное сопротивление.
Вариация показаний ИП (выходного сигнала измерительного преобразователя) – это разность показаний прибора в одной и той же точке диапазона измерений при плавном подходе к этой точке со стороны меньших и больших значений измеряемой величины.
В высокочувствительных (особенно электронных) ИП вариация показаний приобретает иной смысл и может быть определена как колебание их показаний около среднего значения.
Например, для амперметра вариация показаний b = |Iм – Iб| при подходе к данной точке со стороны меньших Iм и больших Iб значений тока.
Динамические характеристики – это характеристики инерционных свойств СИ. Они определяют зависимость параметров выходного сигнала СИ от меняющихся во времени величин: параметров входного сигнала. Нагрузки, внешних факторов.
Динамические характеристики могут нормироваться
1) функцией связи между входными и выходными сигналами (передаточной функцией, переходной характеристикой и т.п.);
2) графиками (таблицами) амплитудно-частотной и фазо-частотной характеристик;
3) временем установления показаний или быстродействием СИ – величиной, обратной времени установления показаний.
Погрешность СИ может быть представлена в форме абсолютной, относительной и приведенной погрешностей или класса точности.
КЛАСС ТОЧНОСТИ средства измерения - это обобщенная характеристика средства измерения, определяемая пределами допускаемых основной и дополнительной погрешностей, а также другими свойствами средства измерения, влияющими на точность, значения которой устанавливаются в стандартах на отдельные виды средств измерений.
Значение класса точности также выбирается из ряда (1; 1,5; 2; 2,5; 3; 4; 5; 6)´10n, где n=-1, 0, 1, 2, ... .
Способ обозначения класса точности определяется формой выражения основной погрешности.
Примеры обозначения класса точности:
| D d g | формулы таблицы, графики формула формула Таблицы, графики ХN выражено в единицах измеряемой величины ХN выражено в длине рабочей части шкалы | С IY А2 0,02/0,01 D G1 III 2,5
0,5 | Значение указывается в нормативно-технической документации d=±2,0 с=0,02 d=0,01 Указывается в нормативно-технической документации g=±2,5 g=±0,5 |
Для приборов с цифровым отсчетом нормируются выходной код, число разрядов кода и номинальная цена единицы наименьшего разряда.
В технических описаниях приборов обычно указывают параметры, которые можно объединить в группу количественных характеристик, определяющих область применения. Она характеризуется совокупностью допустимых диапазонов трех групп физических величин:
1) диапазон возможных значений измеряемых величин (информативных параметров) или пределы шкалы ИП. Здесь можно выделить два понятия: диапазон показаний СИ – область значений шкалы прибора, ограниченную начальным и конечным значением щкалы, - и диапазон измерений СИ – область значений величины, в пределах которой нормированы допускаемые пределы погрешности СИ;
2) диапазон возможных значений неизмеряемых величин (неинформативных параметров), например, для вольтметра переменного напряжения – частотный диапазон;
3) диапазон возможных значений влияющих величин (диапазон температур, внешних полей, ускорений и т.п.).
Технические характеристики средств измерений
В технической документации каждого СИ обычно указывается его назначение, то есть основные функции СИ и область его применения. Характеристика назначения может включать в себя предельные значения неинформативных параметров и рабочие условия применения СИ.
Метрологическая исправность СИ – состояние СИ, при котором все его нормируемые метрологические характеристики соответствуют установленным требованиям.
Надежность СИ – свойство измерительной техники функционировать при сохранении метрологических и других характеристик в заданных пределах и режимах работы.
Метрологическая надежность СИ – надежность СИ в части сохранения его метрологической исправности.
При выходе метрологических характеристик СИ за установленные пределы наступает метрологический отказ СИ.
Надежность СИ характеризуется следующими показателями.
1) Безотказность – свойство СИ сохранять работоспособность в течение некоторой наработки без вынужденных перерывов. Ее характеризует наработка на отказ – среднее значение наработки СИ между двумя отказами. Для СИ электрических и магнитных величин, разработанных после 01.01.84 г. Наработка на отказ должна составлять не менее 1000 часов.
2) Долговечность – свойство СИ сохранять работоспособность до предельного состояния с необходимыми перерывами для технического обслуживания ремонтов. Она характеризуется вероятностью отсутствия скрытых, неявных отказов за межповерочный интервал. Средний срок службы ИП должен составлять не менее 8 лет, средний ресурс – не менее 5000 часов.
3) Ремонтопригодность – приспособленность СИ к проведению технического обслуживания и ремонта. Ее характеризует среднее время восстановления – от 10 мин. до 96 часов.
4) Сохраняемость – способность СИ сохранять метрологические характеристики при хранении, транспортировке.
В зависимости от значений влияющих величин, характеризующих климатические и механические воздействия в рабочих условиях применения, а также предельные условия транспортирования, СИ делятся на 7 групп. Большему номеру группы СИ соответствуют более жесткие условия применения и транспортирования.
В нормативно-технической документации на СИ устанавливают также требования к электропитанию, ко времени установления рабочего режима и продолжительности непрерывной работы, к электрической прочности и сопротивлению изоляции, требования безопасности.
3.3 Измерение тока и напряжения.
3.3.1 Измеряемые параметры тока и напряжения.
При синусоидальной форме сигнала аналитическое выражение будет иметь вид
i = Im×Sin(wt + j); u = Um×Sin(wt + j), где
i, u – мгновенные значения силы тока и напряжения;
Im, Um – максимальное значение из всех мгновенных значений за период или полупериод (пиковое, или амплитудное, значение);
j - начальная фаза;
wt – фаза.
Большинство электромеханических приборов реагирует на средневыпрямленное значение тока (напряжения) – среднее арифметическое абсолютных мгновенных значений за период:
или
, где
Т – период измеряемого сигнала.
В технике переменных токов часто приходится иметь дело с тепловым и механическим воздействием тока. Количество теплоты и механическая сила зависят от квадрата мгновенного значения тока (напряжения), называемого среднеквадратическим значением тока (напряжения):
;
.
Связь между пиковым и среднеквадратическим значениями устанавливается с помощью коэффициента амплитуды kа = Im / Iск = Um / Uск.
Связь между среднеквадратическим и средневыпрямленным значениями тока (напряжения) устанавливает коэффициент формы kф = Iск / Iсв = Uск / Uсв.
Иногда для удобства расчетов вводят коэффициент усреднения kу = kа× kф = =. Im / Iсв = Um / Uсв.
Эти коэффициенты позволяют определить любой параметр переменного напряжения, если известен один из параметров и форма напряжения.
Кроме сигналов синусоидальной формы, в радиотехнике широко используются сигналы несинусоидальной формы. Характеристиками таких сигналов, кроме среднеквадратического и средневыпрямленного значений, являются максимальное, минимальное и среднее (постоянная составляющая) значения сигнала.
Необходимой предпосылкой правильного выбора прибора и метода измерения тока (напряжения) является знание частоты, формы, ожидаемого значения измеряемой величины и ряда других характеристик.
Для измерения тока и напряжения используются методы непосредственной оценки и сравнения.
3.3.2 Общие сведения об электромеханических приборах
Основным элементом электромеханического прибора является электромеханический измерительный механизм. Он предназначен для преобразования электрической энергии в механическую энергии перемещения подвижной части (чаще всего угловое) показывающего или регистрирующего прибора.
В зависимости от принципа действия (по способу преобразования электрической энергии в механическую) различают следующие основные системы измерительных механизмов (ИМ):
- магнитоэлектрические измерительные механизмы (МЭИМ);
- электромагнитные измерительные механизмы (ЭМИМ);
- электродинамические измерительные механизмы (ЭДИМ).
Электромеханический измерительный механизм (ЭИМ) прибора прямого преобразования состоит из неподвижной, соединенной с корпусом прибора, и подвижной частей. Неподвижная часть в зависимости от системы ЭИМ состоит из постоянного магнита (в МЭИМ), ферромагнитных элементов (в ЭМИМ) или катушек (в ЭДИМ). Подвижная часть (рамка, катушка, сердечник) механически или оптически связана с показывающим устройством. Показывающее устройство ЭИМ состоит из шкалы и стрелочного или светового указателя.
Шкала СИ – часть показывающего устройства СИ, представляющая собой упорядоченный ряд отметок вместе со связанной с ними нумерацией.
Показывающее устройство СИ – совокупность элементов СИ, которые обеспечивают визуальное восприятие значений измеряемой величины или связанных с ней величин.
Цена деления шкалы – разность значений величины, соответствующих двум соседним отметкам шкалы СИ, - согласовывается с абсолютной погрешностью СИ и превышает ее в 2 – 4 раза.
Область значений шкалы прибора, ограниченная начальным и конечным значениями шкалы, определяет диапазон показаний СИ.
Область значений величины, в пределах которой нормированы допускаемые пределы погрешности СИЮ, определяет диапазон измерений СИ. Класс точности средства измерений гарантируется только в диапазоне измерений.
Обозначения, наносимые на шкалы приборов, нормируются ГОСТ 23217 «Приборы электроизмерительные аналоговые с непосредственным отсчетом. Наносимые условные обозначения». Это единицы измеряемой величины; класс точности прибора; условные обозначения системы прибора и степени защищенности от магнитных и электрических полей; условное обозначение роды тока и числа фаз; условное обозначение рабочего положения прибора; условное обозначение испытательного напряжения изоляции; тип прибора и т.д. Кроме того ЭИМ могут иметь корректоры, предназначенные доля установки стрелки показывающего устройства на нуль.
Принцип работы ЭИМ заключается в следующем. Если ЭИМ включить в цепь постоянного тока, то под действием вращающего момента, функционально связанного с измеряемой величиной, подвижная часть поворачивается по отношению к неподвижной.
Вращающий момент для любой конструкции ЭИМ может быть определен из общего уравнения динамики системы, согласно которому момент, действующий в системе, определяется через изменением энергии W:
, где
a - угловое перемещение подвижной части (угол поворота).
Воздействие на систему только вращающего момента привело бы к отклонению подвижной части до упора. Для обеспечения перемещения подвижной части пропорционально измеряемой величине в ЭИМ создается противодействующий момент Мп (с помощью пружин, растяжек). Он пропорционален углу поворота:
Мп = kп×a, где
Kп – удельный противодействующий момент, зависящий от размеров пружины и свойств материала.
При равенстве вращающего и противодействующего моментов наступает равновесие подвижной части. Тогда
Мв = Мп, следовательно,
, откуда угол отклонения стрелки
. Эти выражения справедливы для механических сил (для МЭИМ).
Если противодействующий момент создается за счет электрических сил (в ЭМИМ и ЭДИМ), то движение подвижной части прекращается при равенстве двух моментов противоположного направления:
М1 = k1 × f2(a) × x1 – вращающий момент;
М2 = k2 × f2(a) × x2 – противодействующий момент, где
х1, х2 – измеряемые электрические величины;
k1, k2 – удельные вращающий и противодействующий моменты.
В состоянии равновесия М1 = М2, и
. Отсюда можно получить выражение для угла поворота a, который будет зависеть от отношения измеряемых величин х1 и х2. Приборы, определяющие отношение двух величин, называются логометрами. В логометрах в обесточенном состоянии подвижная часть может находиться в любом положении, то есть стрелка прибора не устанавливается на нулевую отметку шкалы (что не является признаком неисправности прибора).
Подвижная часть прибора после каждого изменения своего положения устанавливается в равновесие после нескольких колебаний. На это требуется некоторое время, определяющее быстродействие прибора. Например, для ЭИМ время установления показаний не должно превышать 4 с. Для уменьшения времени установления показаний применяют успокоители следующих конструкций:
- воздушные, тормозящие стрелку за счет сопротивления воздуха;
- магнитоиндукционные, основанные на принципе Ленца;
- жидкостные.
Высокочувствительные измерительные механизмы создаются без успокоителей, что позволяет уменьшить массу подвижной части и, следовательно, возникающее трение.
Электроизмерительные приборы, выполненные на основе ЭИМ, по погрешностям измерений делятся на 8 классов точности: 0,05; 0,1; 0,2; 0,5; 1,0; 1,5; 2,5; 4,0.
3.3.3 Магнитоэлектрические измерительные приборы
Принцип действия МЭИМ основан на взаимодействии токов, протекающих в одном или нескольких контурах с полями одного или нескольких постоянных магнитов. Подвижными могут быть как контуры с током, так и постоянные магниты.
Постоянный магнит и ферромагнитный цилиндр образуют магнитную систему МЭИМ. Такая конструкция обеспечивает постоянство магнитной индукции в воздушном зазоре, где вращается катушка, а магнитные силовые линии будут ориентированы по радиусу цилиндра. В оси крепятся две спиральные пружины для создания противодействующего момента и подведения тока к катушке. Одна соединяется с корпусом, другая – с корректором нуля. У оси еще крепится стрелка с грузиками. Грузики предназначены для уравновешивания подвижной части.
Энергия магнитоэлектрической системы, сосредоточенная в механизме и вызывающая вращающий момент, равна
WS = WM + WK + WВЗ, где
WМ – энергия поля магнита;
- энергия катушки с током;
WВЗ = Y×I – энергия взаимодействия поля магнита и катушки с током;
Y - потокосцепление.
Вращающий момент можно для системы с равномерным радиальным магнитным полем равен
MB = B×S×w×I, где
В – магнитная индукция в зазоре постоянного магнита;
S – площадь поперечного сечения катушки;
W – число витков катушки.
Так как противодействующий момент создается спиральными пружинами, то он будет равен
MП =kП×a, где
KП – коэффициент жесткости пружины.
Приравняв вращающий и противодействующий моменты, получим уравнение шкалы (уравнение измерения) МЭИМ, устанавливающее зависимость угла поворота подвижной части измерительного механизма от измеряемой величины:
, где
- чувствительность измерительного механизма к току.
Из полученных выражений можно сделать следующие выводы:
- угол отклонения подвижной части (стрелки) МЭИМ прямо пропорционален току;
- чувствительность МЭИМ постоянна, следовательно, шкала равномерная;
- МЭИМ реагирует только на постоянный ток, а при включении у цепь переменного тока вследствие инерционности подвижной части стрелка будет совершать колебательные движения только на низких частотах.
Из внешних факторов на МЭИМ наибольшее влияние оказывает температура, при изменении которой изменяются магнитная индукция и сопротивление катушки.
Аналогичным образом устроены магнитоэлектрические логометры, только они имеют две катушки на общей оси, установленные перпендикулярно друг к другу, а полюсные наконечники расточены в форме цилиндра, что приводит к зависимости магнитной индукции в зазоре от угла поворота. Исходя из этого уравнение шкалы магнитоэлектрического логометра примет вид
.
Решив уравнение относительно угла поворота, получим выражение для угла поворота в зависимости от отношения токов, протекающих в катушках:
.
3.4 Измерение тока на радиочастотах
Для измерения силы тока на радиочастотах применяются электромеханические приборы в сочетании с преобразователями роды тока. Наиболее подходящими являются МЭИМ, отличающиеся высокой чувствительностью, точностью и малым потреблением мощности. Все высокочастотные аналоговые амперметры являются приборами прямого преобразования и представляют собой комбинацию преобразователя переменного тока в постоянный и МЭИМ.
В зависимости от типа преобразователя имеются следующие разновидности амперметров:
- выпрямительные;
- термоэлектрические;
- фотоэлектрические;
- электронные.
Электронные амперметры как самостоятельные не выпускаются. Они входят в состав универсальных электронных вольтметров (В7) и будут рассмотрены в соответствующем разделе.
3.4.1 Выпрямительные амперметры
В качестве преобразователя на низких частотах часто используют полупроводниковые диоды.
В зависимости от схемы соединения МЭИМ с выпрямителем различают амперметры с однополупериодным и двухполупериодным выпрямлением.
Схема однополупериодного выпрямителя представлена на рисунке 3.4.1.

![]() | |||
![]() | |||
Рисунок 3.4.1 – Схема однополупериодного выпрямителя
В течение одного полупериода ток протекает через прибор, а в течение второго – по цепи R – V2. Обе цепи идентичны (диоды V1 и V1 одинаковые, R = Rа), следовательно, подключение амперметра не изменяет характера тока в нагрузке.
Мгновенный вращающий момент
Mв t = B0×w×S×i, где i = Im×Sin(wt + j) – мгновенное значение тока.
Вследствие инерционности подвижной части ее отклонение будет пропорционально среднему значению вращающего момента, следовательно, уравнение шкалы будет иметь вид
, где
- чувствительность амперметра.
Из полученного выражения видно, что выпрямительные амперметры измеряют средневыпрямленное значение тока.
Схема с двухполупериодным выпрямлением представляет собой диодный мост, в одну из диагоналей которого включен МЭИМ, а ток через него протекает в течение обоих полупериодов, поэтому уравнение шкалы будет иметь вид
,
а следовательно, при одном и том же значении тока в цепи угол отклонения подвижной части прибора будет в два раза больше, чем у однополупериодного, что приводит к увеличению чувствительности МЭИМ вдвое.
Источниками погрешностей выпрямительных амперметров являются
1) зависимость коэффициента выпрямления диода от температуры;
2) изменение формы измеряемого тока;
3) погрешности градуировки амперметра;
4) изменение емкостного сопротивления диодов в зависимости от частоты.
Погрешность выпрямительных амперметров составляет (1,5 – 4)%, используются они в диапазоне частот до 2 кГц, а с частотной коррекцией – до нескольких десятков кГц. С повышением частоты измеряемого тока погрешность возрастает.
3.4.2 Термоэлектрические амперметры
Термоэлектрические преобразователи состоят из термопар, которые могут быть контактными и бесконтактными. В состав термопреобразователя входит подогреватель, по которому протекает измеряемый ток. В бесконтактных преобразователях отсутствует гальваническая связь между подогревателем и термопарой, поэтому измеряемый ток не ответвляется в цепь индикаторного прибора. Недостатком таких преобразователей является большая инерционность.
Разность температур спая и свободных концов термопары вызывает термо-э.д.с., которая связана с током Iх, протекающим по подогревателю:
ET = kT × Ix2 , где k Т – температурный коэффициент сопротивления, зависящий от материала термопары. Измеряемый ток Iх характеризует тепловое действие тока, и, следовательно, является среднеквадратическим. Уравнение шкалы имеет следующий вид:
, где SIx – чувствительность термоэлектрического амперметра.
Из подученного уравнения следует, что шкала термоэлектрического амперметра квадратичная, а показания не зависят от вида измеряемого тока. Диапазон измеряемых токов – от миллиампер до десятков ампер.
Источниками погрешностей являются:
1) изменение температуры окружающей среды;
2) частотная зависимость сопротивления подогревателя.
Для уменьшения температурной зависимости показаний термоамперметра последовательно с индикатором включается температуронезаивимый резистор из манганиновой проволоки.
3.4.3 Фотоэлектрические амперметры
В фотоэлектрических амперметрах под действием измеряемого тока нагревателя нить измерительной лампы, а световой поток, излучаемый лампой, попадает на фотоэлектрический преобразователь, где преобразуется в электрический ток, усиливается и регистрируется магнитоэлектрическим амперметром, проградуированным в значениях среднеквадратического тока.
Достоинствами таких амперметров является высокая точность благодаря возможности градуировки на постоянном токе или токе низкой частоты, вследствие чего они широко применяются для измерения высокочастотный токов.
Фотоэлектрические амперметры входят в состав поверочных установок и государственного специального эталона единицы силы переменного тока.
3.4.4 Расширение пределов измерения силы тока
Для расширении пределов измерения постоянного тока применяют шунты – резисторы, включаемые параллельно амперметру. Выбор сопротивления шунта для данного прибора зависит от коэффициента расширения пределов измерения n = I / Ia, где Iа – максимальный ток отклонения подвижной части измерительного механизма без шунта, I – предел измерения с подключенным шунтом. Отсюда сопротивление шунта будет равно
, где Rа – внутреннее сопротивление измерительного механизма.
Погрешность амперметра с шунтом возрастает из-за неточности изготовления шунтов и различных ТКС катушки амперметра и шунта. Классы точности амперметров с шунтами – 0,02; 0,05; 0,1; 0,2; 0,5.
При использовании шунтов на переменном токе возникают дополнительные частотные погрешности, и в этом случае для расширения пределов измерения тока применяют измерительные трансформаторы тока (особенно для больших токов). Первичная обмотка трансформатора содержит малое количество витков и включается последовательно с нагрузкой. Вторичная обмотка содержит большое число витков и подключается к амперметру.
Номинальный коэффициент трансформации
, где I1н и I2н – номинальные токи в первичной и вторичной обмотках; w1 и w2 – соответствующее число витков обмоток. Отсюда можно найти измеряемый ток. С помощью применения трансформаторов тока можно измерять токи в первичной цепи от 0,1 А до 60 кА.
Следует отметить, что при использовании трансформаторов тока необходимо заземление!
Источниками погрешностей будут потери при преобразовании тока.
Классы точности амперметров с измерительными трансформаторами – 0,01; 0,02; 0,05; 0,1; 0,2; 0,5; 1; 3; 5; 10.
3.4.5 Методическая погрешность при измерении силы тока
При включении амперметра в цепь изменяется режим работы цепи, так как амперметр потребляет некоторую мощность, что приводит к появлению методической погрешности.
До включения амперметра в измерительную цепь ток в цепи (действительное значение тока) равен
, где U – падение напряжения на нагрузке, Rн – сопротивление нагрузки.
После включения амперметра в цепь ток в цепи (измеренное значение) будет равен
, где Rа – внутреннее сопротивление амперметра.
Относительная погрешность измерения в этом случае будет равна
.
Минус показывает, что измеренное значение тока меньше действительного.
Из полученного уравнения видно, что для минимизации методической погрешности при измерении силы тока необходимо, чтобы Ra << Rн, следовательно, при конструировании амперметров необходимо стремиться к снижению внутреннего сопротивления амперметра.
Эта погрешность является систематической и может быть исключена из результатов измерения введением поправки.
3.5 Измерение напряжения электронными аналоговыми вольтметрами
3.5.1 Аналоговые вольтметры прямого преобразования
К аналоговым вольтметрам относятся электромеханические и электронные вольтметры, в которых измеряемое напряжение преобразуется в пропорциональное значение постоянного тока, измеряемое магнитоэлектрическим прибором.
Структурная схема аналогового вольтметра представлена на рисунке 3.5.1.

Рисунок 3.5.1 – Обобщенная структурная схема аналогового вольтметра
В качестве входного устройства обычно используется делитель напряжения либо аттенюатор, расширяющие пределы измерения.
Измерительный преобразователь – это усилитель постоянного тока в вольтметрах постоянного напряжения (В2) либо выпрямитель в сочетании с усилителем постоянного либо переменного тока (В3, В4).
Для вольтметра постоянного напряжения структурная схема имеет вид, представленный на рисунке 3.5.2.

Рисунок 3.5.2 – Структурная схема вольтметра постоянного напряжения.
Уравнение шкалы такого вольтметра имеет вид
, где Uх – измеряемое напряжение; kу – коэффициент усиления усилителя; Sв – чувствительность вольтметра, включающая в себя чувствительность МЭИМ и чувствительность усилителя постоянного тока.
Недостатком этой схемы является ограничение нижнего предела измерения напряжения несколькими сотнями милливольт. Устранения этого недостатка добиваются применяя операции «модуляция» - «усиление» - «демодуляция».
3.5.2 Вольтметры переменного напряжения
Вольтметры переменного напряжения строятся по двум схемам: с детектором на входе и с детектором на выходе.
На рисунке 3.5.3 представлена схема вольтметра с детектором на входе.
![]() |
Рисунок 3.5.3 – Структурная схема вольтметра постоянного напряжения с детектором на входе.
Схема с детектором на входе не имеет ограничения по диапазону частот измеряемых напряжений (от 20 Гц до 500 МГц, даже до 1000 – 3000 МГц), но обладает низкой чувствительностью (несколько делений на мВ).
На рисунке 3.5.4 представлена схема вольтметра с детектором на выходе.
![]() |
Рисунок 3.5.4 – Структурная схема вольтметра переменного напряжения с детектором на выходе.
В вольтметрах с детектором на выходе уже полоса частот измеряемого напряжения, которая ограничивается полосой пропускания усилителя переменного тока (не более 50 МГц), но выше чувствительность.
У обеих модификаций вольтметров может быть широкий диапазон измеряемых напряжений (за счет изменения коэффициента деления входного устройства и коэффициента усиления усилителя).
В аналоговых вольтметрах переменного напряжения в качестве детекторов используются термоэлектрические и выпрямительные преобразователи. Тип детектора определяет вид измеряемого напряжения. Следовательно, показания вольтметра могут быть пропорциональны среднеквадратическому, пиковому и средневыпрямленному значениям переменного напряжения, что соответствует классификации вольтметров: вольтметры средневыпрямленного, среднеквадратического и амплитудного значения (импульсные).
В вольтметрах среднеквадратического значения используются бесконтактные вакуумные термопреобразователи (рисунок 3.5.5).

Рисунок 3.5.5 – Детектор среднеквадратического значения.
Вольтметры такого типа обычно выполняются с усилителем на входе, а усилитель постоянного тока имеет большой коэффициент усиления.
Основная погрешность преобразования зависит от неидентичности параметров термопреобразователей и увеличивается с их старением до 2,5 – 6 %.
Рассматриваемые вольтметры обеспечивают измерение сигналов, имеющих большое количество гармонических составляющих. Недостатком их является сравнительно большое время измерения (1 – 3 с), определяемее инерционностью термопреобразователей.
Вольтметры амплитудного значения могут выполняться по схеме с открытым или закрытым входом (рисунок 3.5.6).

Рисунок 3.5.6 – Детектор пикового значения (а – с открытым входом; б – с закрытым входом).
Преобразователь с открытым входом (рисунок 3.5.6, а) работает при определенной полярности постоянной составляющей (+ должен быть приложен к аноду диода) Для измерения напряжения с отрицательной постоянной составляющей диод включают наоборот.
Измеряемое напряжение Ux~ будет равно сумме постоянной U0 и переменной составляющих сигнала:
Ux~ = U0 + Um×Sin wt.
Когда к преобразователю приложено переменное напряжение, через диод протекает ток, и конденсатор зарядится до некоторого напряжения Uс. Значение сопротивления резистора R должно быть большим для обеспечения большой постоянной времени tс. Относительная погрешность преобразования будет равна
, где Т – период исследуемого колебания.
Детектор с закрытым входом (рисунок 3.5.6, б) работает следующим образом. Если на вход преобразователя подано гармоническое напряжение, то конденсатор зарядится за счет постоянной составляющей до уровня U0, и преобразователь будет реагировать только на переменную составляющую. Во время действия положительной полуволны выходное напряжение Uпик » Um+, а при отрицательной - Uпик » Um-. Напряжение на резисторе R является пульсирующим, и на низких частотах стрелка индикатора будет колебаться. Для уменьшения пульсация на выходе такого преобразователя ставится RC-фильтр.
Вольтметры с закрытым входом используются для измерения пульсаций напряжения источников питания, определения симметричности амплитудной модуляции, наличия ограничения сигналов и т.д.
Шкалы вольтметров с амплитудными преобразователями градуируются в среднеквадратических значениях при синусоидальной форме напряжения на входе. При измерениях напряжения любой формы Uпик = Uv×
×kа.
Вольтметры средневыпрямленного значения выполнятся по выпрямительной схеме с двухполупериодным выпрямлением. Шкала вольтметра градуируется в среднеквадратических значениях синусоидального напряжения. При измерениях напряжения несинусоидальной формы пользуются соотношением
.
3.5.2 Аналоговые вольтметры сравнения
В большинстве случаев в аналоговых вольтметрах сравнения используют нулевой метод (в так называемых компенсационных вольтметрах). По сравнению с вольтметрами прямого преобразования это более сложные, но и более точные приборы. Кроме того, в момент компенсации они не потребляют мощности от источника питания, следовательно, с их помощью можно измерять э.д.с. маломощных источников питания. В приборах сравнения используется мера.
Принцип действия потенциометра постоянного тока основан на взаимном уравновешивании (компенсации) э.д.с. испытуемого источника и известного падения напряжения на сопротивлении. В качестве меры используется нормальный элемент – электрохимический элемент, э.д.с. которого известна с очень высокой степенью точности (классы точности от 0,0002 до 0,02). Малая погрешность потенциометра определяется высокой стабильностью э.д.с. нормального элемента и чувствительностью нуль-индикатора. Особенностью измерений является тщательное соблюдение полярности соединения; в противном случае добиться компенсации невозможно.
Потенциометры переменного тока по принципу действия аналогичны рассмотренному, однако погрешность их больше (в лучшем случае 0,05%), так как отсутствуют меры э.д.с. переменного тока, аналогичные нормальному элементу.
3.5.3 Расширение пределов измерения напряжения
Для расширения пределов измерения постоянного напряжения используются добавочные сопротивления, подключаемые последовательно с вольтметром. Если необходимо расширить пределы измерения от Uv до U, то величину добавочного сопротивления можно вычислить из выражения
, где Rv – входное сопротивление вольтметра.
Однако при использовании добавочного сопротивления возрастает погрешность измерения из-за неточности изготовления резисторов и появления частотной погрешности.
Для расширения пределов измерения на постоянном токе используют измерительные трансформаторы напряжения. При этом количество витков в первичной обмотке должно быть больше количества витков во вторичной обмотке. Расширенный предел измерения будет равен U = KUH×Uv.
3.5.4 Методическая погрешность при измерении напряжения
Схема включения вольтметра в измерительную цепь представлена на рисунке 3.5.7.

Рисунок 3.5.7 – Сема включения вольтметра в измерительную цепь (R0 – внутреннее сопротивление источника питания; Е0 – его э.д.с.; Rv – входное сопротивление вольтметра; Rн – сопротивление нагрузки).
При измерении вольтметр потребляет некоторую мощность; следовательно, при измерении напряжения будет присутствовать методическая погрешность.
До включения вольтметра в цепь напряжение на нагрузке U (действительное значение напряжения) равно
.
Измеренное значение напряжения (после подключения вольтметра) равно
.
Отсюда методическая погрешность измерения напряжения будет
.
Из данного выражения можно сделать вывод, что для уменьшения методической погрешности необходимо выбирать вольтметр с возможно большим входным сопротивлением. Эту погрешность можно исключить и скорректировать результат измерения.
3.5.5 Зависимость показаний вольтметров от формы кривой измеряемого напряжения
Важной характеристикой вольтметра является его градуировочная характеристика, устанавливающая соотношение между показанием прибора Uп и значением определяемого параметра Ux: Ux = c×Uп, где с – градуировочный коэффициент, зависящий от типа детектора и вида измеряемого параметра.
Шкалы подавляющего большинства вольтметров градуируют в среднеквадратических значениях синусоидального напряжения, так как при измерении гармонического напряжения преимущественно интересуются его среднеквадратическим значением.
Если детектор квадратичный, то с =1 и показание прибора непосредственно дает значение Uск, т.е. Uп = Uск. При детекторах других типов с ¹ 1.
Чтобы правильно определить искомый параметр напряжения по показаниям прибора, необходимо знать тип детектора и градуировочную характеристику.
Когда измеряется напряжение несинусоидальной формы вольтметрами, предназначенными для измерения гармонических напряжений, шкалы которых проградуированы в среднеквадратических значениях синусоидального напряжения, то в случае открытых входов вольтметров поступают следующим образом:
- показание вольтметра с пиковым детектором умножают на 1,41: Um = 1,41×Uп;
- при квадратичном детекторе Uск = Uп;
- для детектора средневыпрямленного значения Uсв = 0,9×Uп.
3.6 Измерение постоянного напряжения цифровыми вольтметрами
Цифровой вольтметр – прибора, автоматически вырабатывающий дискретные сигналы измерительной информации, показания которого представлены в цифровой форме.
Обобщенная структурная схема цифрового вольтметра представлена на рисунке 3.5.8.

Рисунок 3.5.8 – Обобщенная структурная схема цифрового вольтметра
Входное устройство изменяет масштаб измеряемого напряжения, при необходимости отфильтровывает помехи и изменяет полярность напряжения.
Основным классификационным признаком является вид аналого-цифрового преобразователя (АЦП), применяемого в вольтметре.
В зависимости от структурной схемы АЦП различают
- вольтметры с прямым преобразованием без обратной связи;
- вольтметры с уравновешивающий (компенсационным) преобразованием с общей отрицательной обратной связью.
3.6.1 Вольтметры с прямым преобразованием
3.6.1.1 Цифровые вольтметры с время-импульсным преобразованием
Принцип работы заключается в преобразовании измеряемого напряжения Uх в пропорциональный интервал времени Dt, длительность которого определяется путем заполнения импульсами опорной частоты и подсчета числа этих импульсов N с помощью счетчика.
Структурная схема представлена на рисунке 3.5.9.

Рисунок 3.5.9 – Структурная схема цифрового вольтметра с время-импульсным преобразованием.
Измеряемое напряжение через входное устройство подается на компаратор 1. Управляющее устройство задает циклы измерения в автоматическом режиме (длительностью Тсч). В начале цикла измерения импульс управляющего устройства сбрасывает предыдущие значения, отсчитанные счетчиком, и запускает генератор линейно изменяющегося напряжения ГЛИН. Напряжение Uх и образцовое напряжение U0 поступают на входы компаратора 1, и в момент времени их равенства t1 на выходе компаратора 1 возникает импульс Uк1, открывающий селектор. В момент времени t2, когда U0 = 0, компаратор 2 вырабатывает импульс Uс2, закрывающий селектор. Счетчик считает количество импульсов N с генератора счетных импульсов ГСчИ, прошедших через селектор. Измеряемое напряжение будет равно
Ux = k×Dt, где
- скорость изменения напряжения ГЛИН.
В свою очередь, Dt = N×Tсч, откуда следует Ux = k×N×Tсч = kv×N; kv = k×Tсч = const.
Kv выбирается из условия kv = 10-m, где m = 0, 1, 2, … Показатель m изменяется при переключении пределов измерения.
Источниками погрешностей являются
- погрешность, обусловленная нелинейностью образцового напряжения U0 и нестабильностью скорости его нарастания dU0;
- погрешность из-за нестабильности частоты ГСчИ dГСчИ;
- погрешность дискретности, равная единице младшего разряда ±1/N;
- погрешность из-за входной гармонической помехи.
Рассмотренный вольтметр является неинтегрирующим. В интегрирующих вольтметрах время-импульсного преобразования подсчет импульсов ведется за время Т1 + Т2. Такие вольтметры более помехоустойчивы.
3.6.1.2 Цифровые вольтметры с частотно-импульсным преобразованием
Принцип работы основан на преобразовании измеряемого напряжения в пропорциональную ему частоту следования импульсов, а затем в цифровой код. Структурная схема вольтметра с частотно-импульсным преобразованием представлена на рисунке 3.5.10.

Рисунок 3.5.10 – Структурная схема вольтметра с частотно-импульсным преобразованием.
Частота на выходе преобразователя «напряжение-частота» равна
fx = k×Ux=, где k – коэффициент преобразования.
В зависимости от метода преобразования «напряжение – частота» все схемы преобразователей подразделяются на 2 группы:
- преобразователи с непосредственным преобразованием;
- преобразователи с косвенным преобразованием.
Структурная схема и эпюры напряжения преобразователя с непосредственным преобразованием представлены на рисунке 3.5.11.


Рисунок 3.5.11 – Структурная схема преобразователя с непосредственным преобразованием.
В интеграторе напряжение Ux интегрируется с постоянной времени t1:
.
Напряжение возрастает и сравнивается в компараторе с образцовым напряжением U0 в течение времени t1. Сигнал после компаратора воздействует на формирователь импульсов обратной связи, и на входе интегратора действуют одновременно два сигнала: Ux и Uос отрицательной полярности. Частота импульсов обратной связи пропорциональна измеряемому напряжению:
fx = k×Ux=.
При изменении Uх изменяется крутизна Uи на выходе интегратора, а следовательно, изменяется и частота fх.
В преобразователе с косвенным преобразованием измеряемое напряжение влияет на параметр, определяющий частоту генератора с самовозбуждением (гармонического или релаксационного), однако такие вольтметры имеют невысокие метрологические характеристики.
Источники погрешности вольтметров с частотно-импульсным преобразованием:
- погрешности, свойственные цифровому частотомеру (относительная нестабильность частоты генератора и погрешность дискретности);
- погрешности, вносимые преобразователем «напряжение-частота» из-за неточности установки и нестабильности значений U0, t.
3.6.1.3 Цифровые вольтметры с кодо-импульсным преобразованием
Принцип работы заключается в преобразовании измеряемого напряжения в цифровой код путем последовательного сравнения с рядом дискретных значений известной величины, изменяющейся по определенному закону.
Операция преобразования может осуществляться по алгоритму развертывающего и следящего уравновешивания.
Структурная схема вольтметра с развертывающим уравновешиванием представлена на рисунке 3.5.12.

Рисунок 3.5.12 – Структурная схема цифрового вольтметра с развертывающим уравновешиванием.
С блока генератора линейно-ступенчатого напряжения (ГЛСН) сигнал в виде набора образцовых напряжений в течение цикла измерения поступает на сравнивающее устройство (компаратор). Длительность ступеньки определяется периодом следования импульсов с генератора счетных импульсов (ГСчИ), а величина ступеньки определяет шаг квантования (младший разряд счета). Управляющее устройство вырабатывает тактовые импульсы. С поступлением их с ГЛСН последовательно снимаются образцовые напряжения в двоично-десятичном коде. На второй вод компаратора со входного устройства поступает измеряемое напряжение U¢x. При равенстве U¢x = UГЛСН компаратор срабатывает и стоп-импульсом закрывает селектор. Поскольку DUГЛСН = const, показание счетчика прямо пропорционально измеряемому напряжению Uх, и мы получаем прямоотсчетный цифровой вольтметр.
Вольтметры с развертывающим уравновешиванием имеют малое быстродействие и невысокие метрологические характеристики.
Структурная схема вольтметра со следящим (поразрядным уравновешиванием представлена на рисунке 3.5.13 .

Рисунок 3.5.13 – Структурная схема цифрового вольтметра с порязрядным уравновешиванием.
Блок опорного напряжения состоит из источника и нагрузок, скомпонованных по двоично-десятичным разрядам, в которых имеются 4 резистора с «весами» 8, 4, 2, 1. Управляющее устройство вырабатывает тактовые импульсы. С помощью цифро-аналогового преобразователя (ЦАП) реализуется отрицательная обратная связь путем преобразования кода (например, 8421) в аналоговое напряжение Uк, которое затем сравнивается с измеряемым напряжением Ux= в компараторе. Это сравнение всегда начинается со старшего разряда (например, 8 В). Если при этом Uк £ Uх=, то компаратор не оказывает воздействия на управляющее устройство, и оно тактовым импульсом подключает к ЦАП очередной разряд Uк (1). Если Uк > Uх=, то разряд пропускается (0). Процесс сравнения заканчивается после полного перебора всех разрядов Uк. Одновременно с переключением разрядов управляющее устройство формирует код для отсчетного устройства, где после перехода к десятичной системе счисления воспроизводится результат измерения. В данной схеме есть опасность возникновения автоколебаний в системе, хотя она лучше схемы со следящим уравновешиванием.
Источниками погрешностей являются неточная установка и нестабильность параметров компаратора, ЦАП, ГЛСН и ГСчИ.
Погрешность измерения цифровыми вольтметрами с кодо-импульсным преобразованием составляет ±(0,05 … 0,1)%.
3.7 Цифровые вольтметры переменного напряжения
Входной величиной АЦП в данном случае является напряжение переменного тока произвольной формы, изменяющееся в широком диапазоне частот, а выходной величиной – цифровой код.
В то же время для преобразования измеряемого напряжения в цифровой код оно должно иметь форму, удобную для кодирования. Следовательно, необходимы предварительные функциональные преобразования переменного напряжения в постоянное, обработка мгновенных значений переменного напряжения и трансформация спектра переменного напряжения в область более низких частот.
Преобразователи переменного напряжения в постоянное просты, удобны, работают в широком диапазоне частот. После преобразования можно использовать цифровые вольтметры переменного напряжения.
Преобразователи с обработкой мгновенных значений применяют на низких частотах.
Преобразователи с трансформацией спектра применяют на высоких частотах.
Преобразователи переменного напряжения в постоянное аналогичны детекторам аналоговых вольтметров. Следовательно, измеряемое переменное напряжение может быть пропорционально амплитудному, среднеквадратическом или средневыпрямленному напряжению. Однако требования к таким преобразователям выше в части точности и линейности преобразования, чувствительности, динамического и частотного диапазонов.
По-иному могут проектироваться преобразователи амплитуды импульсов в импульсных цифровых вольтметрах. Амплитуда импульсов может преобразовываться в пропорциональный интервал времени, который заполняется импульсами ГСчИ. Это преобразование осуществляется с помощью схемы, аналогичной пиковому детектору. Конденсатор заряжается до Umax за время действия импульса, а по окончании импульса разряжается через токостабилизирующий элемент по линейному закону.
Рассмотренные принципы построения цифровых вольтметров переменного напряжения приняты ха основу при проектировании универсальных вольтметров. Измеряемая величины преобразуется в постоянное напряжение с последующим его измерением цифровым вольтметром постоянного тока. Аналоговая часть представляет собой набора преобразователей измеряемых величин в постоянное напряжение, коммутируемых на вход цифрового вольтметра в соответствующих режимах работы.
Основными узлами цифровых вольтметров являются ключи, логические элементы, операционные усилители, триггеры, сравнивающие устройства (компараторы), интеграторы, цифро-аналоговые преобразователи, счетчики импульсов, отсчетные устройства.
3.4 Измерение параметров цепей с сосредоточенными постоянными
Электрические цепи представляют собой совокупность соединенных друг с другом элементов – источников электрической энергии и нагрузок в виде редисторов, катушек индуктивности, конденсаторов. При определенном допущении эти элементы можно рассматривать как линейные пассивные двухполюсники с сосредоточенными постоянными, характеризуемые некоторыми идеальными параметрами: сопротивлением R, индуктивностью L, емкостью С. Кроме того, для колебательных цепей и катушек индуктивности непосредственно измеряется важный вторичный параметр – добротность Q, а для конденсаторов – тангенс угла потерь tgd.
Различают следующие методов измерения параметров цепей с сосредоточенными постоянными:
1) метод вольтметра – амперметра;
2) метод непосредственной оценки;
3) мостовой метод;
4) резонансный метод;
5) метод дискретного счета.
Наибольшее распространение получили мостовой и резонансный методы измерения.
Значения параметров цепей могут изменяться в широких пределах при изменении частоты приложенного напряжения, в зависимости от протекающих токов и внешних условий (температуры, влажности, давления). Поэтому при измерении параметров цепей всегда стремятся проводить измерение на той частоте и в тех условиях, в которых данная деталь будет работать в аппаратуре.
3.4.1 Метод вольтметра – амперметра
Метод вольтметра – амперметра сводится к измерению тока и напряжения в цепи с измеряемым двухполюсником и последующему его расчету по закону Ома. Таким способом можно измерять активное и полное сопротивление (на постоянном и переменном токе), индуктивность и емкость.
3.4.1.1 Измерение активного сопротивления
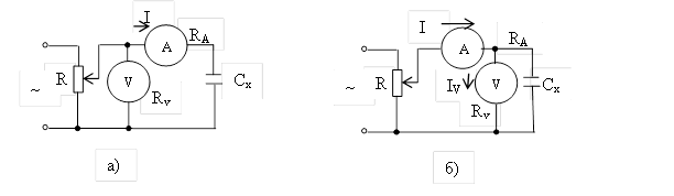
Схемы включения измерительных приборов приведены на рисунке 3.4.1.

Рисунок 3.4.1 – Схемы включения измерительных приборов в методе амперметра-вольтметра (а – для больших Rх, б – для малых Rх).
Для измерения полного сопротивления на переменном токе применяются те же схемы, но схема а – для измерения малых сопротивлений, а схема б – для измерения больших сопротивлений.
Искомое сопротивление можно найти, зная Ix и Ux, по закону Ома.
3.4.1.2 Измерение емкости

Рисунок 3.4.2 - Схема измерения емкости конденсатора методом амперметра – вольтметра (а – для измерения малых емкостей, б – для измерения больших емкостей).
В этом случае реактивное сопротивление конденсатора будет равно
, а емкость находится по формуле
, где
w - частота, на которой производится измерение.
3.4.1.3 Измерение индуктивности
Измерение индуктивности методом амперметра – вольтметра возможно, если активное сопротивление катушки намного меньше ее реактивного сопротивления. Применяются те же схемы, что и для измерения емкости, только конденсатор заменяется катушкой индуктивности. Тогда искомая индуктивность будет равна
.
Если требуется получить более точный результат, то необходимо учитывать сопротивление катушки
, откуда
.
Погрешность измерения параметров двухполюсников на низких частотах составляют (0,5 – 10) % и увеличивается с ростом частоты.
Источниками погрешностей являются погрешности измерительных приборов (амперметра и вольтметра) и паразитные параметры.
3.4.2 Метод непосредственной оценки
Метод непосредственной оценки реализуется с помощью применения электромеханических и электронных омметров.
В электромеханических омметрах, как правило, используются магнитоэлектрические измерительные механизмы. Для измерения больших сопротивлений электромеханические омметры выполняются по схеме с последовательным включением измерительного механизма , а для измерения малых сопротивлений – по схеме с параллельным включением измерительного механизма.
3.4.3 Мостовой метод измерения параметров цепей. Измерительные мосты
Мостовой метод является одной из разновидностей метода сравнения. Приборы, основанные на мостовом методе, называются мостами постоянного и переменного тока, в зависимости от характера напряжения питания.
Мостовая измерительная цепь (МИЦ) в общем случае состоит из четырех сопротивлений z1 – z4, имеющих в общем случае комплексный характер и образующих две параллельные ветви к источнику питания ИП (рисунок 3.4.3).
В диагональ «аб» включен индикатор равновесия И (гальванометр), и эта диагональ называется индикаторной диагональю.
Как известно, схема моста находится в равновесии (балансе), если ток в индикаторной диагонали отсутствует. При этом показания индикатора равны нулю. В данном случае МИЦ реализует одну из основных модификаций метода сравнения – нулевой метод.
Моменту равновесия МИЦ соответствует равенство потенциалов точек «а» и «б», что возможно только тогда, когда падения напряжений в плечах z1 и z4, z2 и z3 будут равны между собой, т.е. I1×z1=I2×z4; I1×z2=I2×z3 при IИ = 0. Отсюда следует условие равновесия (баланса) МИЦ:
|
Рисунок 3.4.3 |
z1 × z3 = z2 × z4.
Учитывая, что z1 … z4 величины комплексные, условие (распадается на два:
|z1| × |z3| = |z2| × |z4|.
т.е. произведения модулей сопротивлений противоположных плеч равны между собой;
j1+ j3 = j2 + j4,
т.е. суммы фазовых углов между токами напряжениями в противоположных плечах равны между собой.
Следовательно, для уравновешивания моста необходимо произвести две настройки: подобрать модули сопротивлений и фазы. Обычно для этой цели изменяют в одном из плеч реактивную и активную составляющие сопротивления. Очевидно, что при изменении одной из них происходит одновременное изменение как модуля, так и фазы. Поэтому равновесие моста может быть достигнуто лишь методом последовательных приближений. Это требует наличия не менее двух регулируемых элементов. Кроме того, условие (2.3) предопределяет лишь ограниченное число комбинаций сопротивлений плеч по характеру активного и реактивного сопротивления, при которых возможно уравновешивание. Это и определяет правила построения МИЦ. Например, если в двух смежных плечах могут быть включены активные сопротивления, то в двух других плечах могут быть включены катушки индуктивности или конденсаторы. Если же активные сопротивления включены в противоположные плечи, то в одно из двух противоположных плеч может включаться катушка индуктивности, а в другое – конденсатор.
Если одно из сопротивлений плеч, например z1, неизвестно, то, уравновесив мост, можно найти значение этого сопротивления из общего условия равновесия моста:
Представляя комплексное сопротивление в виде параллельного или последовательного соединения активной и реактивной составляющих (параллельной или последовательной схемы замещения), можно определить соответствующие значения их сопротивлений.
В качестве источников питания в мостах переменного тока применяется сеть 220 В 50 Гц или генераторы звуковой и высокой частоты. Напряжение источника питания моста должно быть чисто синусоидальным.
Индикаторами нуля служат гальванометры, а также электронные вольтметры.
Погрешности мостового метода измерения определяются в первую очередь чувствительностью моста, под которой понимают различимое изменение показаний индикатора Da, отнесенное к вызвавшему его изменению параметра (в данном случае сопротивление одного из плеч Dz):
,
где DIИ – изменение тока через индикатор, пропорциональное Da; SI – чувствительность индикатора по току; SМИЦ – чувствительность МИЦ, которого максимальна для равноплечих МИЦ (когда z1 = z2 = z3 = z4).
Другой характеристикой моста является сходимость, т.е. способность моста приходить к состоянию равновесия путем большего или меньшего числа последовательных регулировок его элементов. Хотя это число в принципе может быть двум, на практике оно больше, так как изменение сопротивления любого элемента моста одновременно влияет и на баланс амплитуд, и на баланс фаз. Необходимы, таким образом, поочередные переходы от регулировки одного элемента к регулировке другого.
Кроме того, в суммарную погрешность измерения входят погрешности калибровки и градуировки сопротивлений в плечах моста. Дополнительные погрешности определяются паразитными связями элементов моста, источника питания и индикатора друг с другом и с окружающими предметами.
Для уменьшения влияния паразитных связей применяется тщательное экранирование, симметрирование плеч и рациональный выбор точек заземления. Суммарная погрешность измерения с помощью мостов переменного тока лежит в пределах ±(1-3)%.
Измерительные мосты классифицируются по целому ряду признаков. По типу источников питания мосты подразделяются на мосты постоянного и переменного тока. В зависимости от количества плеч различают четырехплечие и многоплечие мосты. В зависимости от структуры двухполюсников, образующих плечи МИЦ, выделяют мосты типов МЕ (для измерения емкости С), МИ (для измерения индуктивности L), МИЕ (для измерения С и L), МЕП (для измерения С и tgd), МИП (для измерения L и Q) и МИЕП (универсальные).
Измерительные мосты постоянного тока
Область применения мостов постоянного тока ограничивается измерением активного сопротивления RХ, и они дополняют омметры, являясь по сравнению с ними не только более сложными, но и значительно более точными приборами.
Простейшая схема одинарного моста постоянного тока является частным случаем схемы, изображенной на рисунке 3.4.3, у которой z1 = RX, z2 = R2, z3 = R3, z4= R4. Общее условие равновесия моста постоянного тока тогда будет иметь вид RX× R3×= R2×R4, откуда и находится неизвестное сопротивление RX. Отсюда следует, что в практических схемах мостов уравновешивание МИЦ может осуществляться двумя способами:
изменением R2 при R4/R3 = const – магазинные мосты;
изменением R4/R3 при R2 = const – линейные мосты.
Наибольшее распространение получили магазинные мосты, т.к. R2 можно конструктивно выполнить в виде высокоточного магазина сопротивлений, а для расширения пределов RХ можно изменять ступенями, кратными 10.
Если в качестве индикатора у моста применяется высокочувствительный магнито-электрический микроамперметр или гальванометр, то диапазон измерения RX будет 1…105 Ом.
Измерительные мосты переменного тока
Существует много разнообразных схем мостов, предназначенных для измерения емкости и индуктивности.
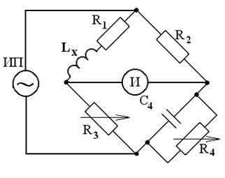
Схема для измерения емкости СХ представлена на рисунке 3.4.4.
|
Рис.3.4.4 |
Условие равновесия моста можно записать в следующем виде:
,
где RC – сопротивление, эквивалентное потерям в конденсаторе.
Разделяя действительные и мнимые части, имеем
На практике качество конденсаторов характеризуется не величиной активного сопротивления RС, а тангенсом угла потерь
.
Отсюда видно, что для равновесия моста достаточно изменять активные сопротивления, имея емкость С3 постоянной. Обычно для балансировки используется переменный резистор R4, градуируемый в значениях tgd. Изменением сопротивления R2 достигается расширение пределов измерения СХ.
Данная схема соответствует малым потерям в конденсаторе (малым значениям tgd).
Аналогично можно изобразить схему моста для параллельной схемы замещения реального конденсатора, соответствующей большим потерям в конденсаторе.
Схема рисунка 3.4.4, равно как и схема с параллельной схемой замещения реального конденсатора, при измерении СХ оказывается частотно-независимой. Это является важным достоинством мостов типа МЕП и позволяет применять их для измерения СХ на рабочей частоте.
Схема для измерения индуктивности при QLX < 30 представлена на рис3.4.5. В качестве образцовой меры по-прежнему применяется конденсатор. В
|
Рис.3.4.5 |
данном случае используется параллельная схема замещения образцового конденсатора. Условием баланса будет

где RL – активное сопротивление катушки.
В итоге получим



Добротность катушки будет

.
В данном случае балансировка моста достигается с помощью двух переменных резисторов: R3, отградуированного в значениях LX, и R4, отградуированного в значениях QL. Расширение пределов измерения LX осуществляется с помощью измерения сопротивления R2.
При QX > 30 мост строится по последовательной схеме замещения образцового конденсатора.
Как и мост типа МЕП, данный мост частотно независим при измерении
3.4.4 Резонансный метод измерения параметров цепей
Резонансный метод измерения параметров цепей основан на использовании резонансных свойств колебательных систем, в частности, контуров с сосредоточенными параметрами. Основным достоинством резонансного метода является возможность измерения параметров на рабочей частоте.
Относительно просто резонансным методом измеряются емкость и индуктивность. Для этого достаточно составить контур (рисунок 3.4.6 а, б) из образцовой индуктивности (или емкости) и измеряемой емкости (соответственно индуктивности).
Контур связывается с генератором, причем связь должна быть слабой. Настраивая контур в резонанс с частотой генератора (изменением частоты на рисунке 3.4.6,а или образцовой емкости С0 на рисунке 3.4.6,б), можно вычислить измеряемую емкость или индуктивность по формуле
или
,

Рисунок 3.4.6
где fP и СОР – значения частоты и емкости при резонансе.
Индикатор резонанса ИП обычно включается в дополнительный контур с тем, чтобы не уменьшать добротность контура LOCX (или LXCO), а, следовательно, и точность измерений.
В описанном способе измерения LX и CX не учитывается емкость монтажа и собственная емкость катушки. Фактически в этом случае СОР = (С + СL) будет являться емкостью всего контура, представляющей собой сумму емкостей конденсатора и собственной емкости катушки СL, а не емкостью конденсатора, и значение LX будет определено неточно. Для определения истинного значения индуктивности необходимо определить значение собственной емкости катушки СL. С этой целью необходимо проделать следующее.
Настроить контур в резонанс на двух различных частотах:


Затем, решив полученную систему уравнений относительно СL, рассчитать ее значение.
Для повышения точности измерения объединяют резонансный метод с методом замещения. Суть метода замещения состоит в следующем: сначала настраивают контур в резонанс с некоторой образцовой емкостью СО, затем замещают СО искомой емкостью СХ и вновь настраивают контур в резонанс.
Для измерения малых емкостей методом замещения составляется схема, изображенная на рисунке 3.4.7, а.
При отключенной СХ контур настраивается в резонанс измерением СО и в момент резонанса отсчитывается СО. Затем подключают СХ и изменением СО

Рисунок 3.4.7
вновь настраивают контур в резонанс. Отсчитывается СО¢¢. Тогда СХ = СО¢-СО¢¢, и паразитные емкости не влияют на результат измерения.
Для измерения больших емкостей применяется последовательное включение исследуемого конденсатора с образцовым (рисунок 3.4.7, б). Если контур без измеряемого конденсатора настраивается в резонанс при значении емкости образцового конденсатора СО¢, а при включении измеряемого конденсатора емкость образцового конденсатора должна быть увеличена до СО¢¢, то значение емкости измеряемого конденсатора определяется из выражения СХ=СО¢×СО¢¢!(СО¢¢-СО¢). Аналогичные схемы могут применяться и при измерении индуктивности. При этом погрешность измерения возрастает из-за паразитной связи между измеряемой катушкой и катушкой контура.
3.4.5 Измерение параметров четырехполюсников
Пассивный или активный ЧП могут быть полностью охарактеризованы соотношениями между напряжениями (
и
) и токами (
и
) на его входе и выходе (рисунок 1).
![]() |

Рисунок 3.4.8
Так, например, передаточная характеристика ЧП, определяемая как отношение
к
или
к
, является в общем случае безразмерной функцией
где
- амплитудно-частотная характеристика ЧП (АЧХ);
φ(ω) -фазочастотная характеристка ЧП (ФЧХ),
имеет смысл коэффициента ослабления на различных частотах для пассивных ЧП и коэффициента усиления для активных ЧП и определяется как отношение выходного
и входного напряжений
в соответствии с выражением (2).
φ(ω) характеризует вносимые ЧП фазовые сдвиги на различных частотах.
.
Как видно из выражения, для определения коэффициента ослабления или усиления исследуемого ЧП
необходимо измерять отношение модулей напряжений на выходе |
| и входе |
| ЧП, что требует использования достаточно сложных по своему схемотехническому решению измерителей отношения напряжений.
Для оценки |
| часто используется внесистемная безразмерная единица - децибел (дБ), определяемая при сравнении напряжений как
а при сравнении мощностей как
С учетом предыдущих выражений |
| может быть определена в относительных логарифмических единицах в соответствии с выражением
3.4.6 Панорамный метод исследования параметров четырехполюсников
К панорамным измерителям относятся приборы, позволяющие производить визуальное наблюдение на экране осциллографического индикатора зависимости (панорамы) исследуемой характеристики четырехполюсника от частоты измерительного сигнала в заданном диапазоне частот и измерение ее параметров. Как видно из определения, основными функциональными узлами панорамных приборов являются генератор качающейся частоты (ГКЧ), с помощью которого создается частотная ось панорамы, и осциллографический индикатор, в качестве которого используется электронно-лучевая трубка (ЭЛТ). Наиболее часто панорамные приборы используются для исследования АЧХ и ФЧХ пассивных и активных ЧП с сосредоточенными или распределенными постоянными.
Структурная схема панорамного измерителя АЧХ и ФЧХ ЧП представлена на рисунке 3.4.9. ГКЧ является источником измерительного сигнала, выходной сигнал которого разделяется с помощью делителя на опорный и измерительный сигналы. Измерительный сигнал подается на вход исследуемого ЧП, выходной сигнал которого совместно с опорным сигналом детектируется амплитудным или фазовым детектором (в зависимости от вида измеряемой характеристики) и поступает на вход усилителя вертикального отклонения (УВО), управляющего отклонением луча ЭЛТ по вертикали.
Отклонение луча ЭЛТ по горизонтали осуществляется выходным сигналом генератора линейно-изменяющегося напряжения (ГЛИН), усиленного с помощью усилителя горизонтального отклонения (УГО). Перестройка частоты выходного сигнала ГКЧ также осуществляется выходным сигналом ГЛИН, что обеспечивает создание частотной оси панорамы, линейный частотный масштаб и одинаковую яркость свечения всех участков наблюдаемых АЧХ и ФЧХ.
Часть выходного сигнала ГКЧ подается также на цифровой частотомер, работающий в зависимости от режима измерения (анализ АЧХ и ФЧХ или измерение ослабления Ах и фазовых сдвигов φх) в режимах ручного или автоматического запуска соответственно. Использование цифрового частотомера обеспечивает измерение частоты выходного сигнала ГКЧ в характерных частотных точках АЧХ или ФЧХ.

Рисунок 3.4.9
Амплитудный детектор при реализации алгоритма измерения ослаблений обеспечивает преобразование отношения напряжений выходного и входного сигналов ЧП в пропорциональное этому отношению напряжение с последующим его детектированием пиковым детектором. В этом случае амплитудный детектор представляет собой совокупность последовательно соединенных измерителя отношения напряжений и пикового детектора.
При реализации алгоритма измерения фазового сдвига амплитудный детектор представляет собой совокупность логарифмических усилителей, детекторов и схемы вычитания. Фазовый детектор преобразует фазовые сдвиги между опорным и измерительным сигналами, вносимые исследуемым ЧП на различных частотах, в пропорциональное им напряжение.
3.5 Измерение частоты электромагнитных колебаний
3.5.1 Классификация приборов для измерения частоты и интервалов времени
Период – это наименьший интервал времени, через который повторятся мгновенные значения x(t), то есть x(t) = x(t+T).
Частота – в общем случае – характеризует число идентичных событий в единицу времени.
Для гармонического сигнала:
угловая частота – изменение фазы сигнала в единицу времени (w = 2pf).
Частотно-временные измерения могут быть не только абсолютными, но и относительными, при которых оценивается изменение частоты во времени – нестабильность частоты.
Долговременная нестабильность связана с систематическим смещением частоты за длительное время (> 100 с).
Кратковременная нестабильность определяется флуктуациями частоты (если интервал наблюдения менее 100 с).
Приборы для измерения частоты классифицируются следующим образом:
Ч1 – стандарты частоты и времени;
Ч2 – резонансные частотомеры;
Ч3 – электронно-счетные частотомеры;
Ч4 – гетеродинные, мостовые и емкостные частотомеры;
Ч5 – синхронизаторы и преобразователи частоты;
Ч6 – синтезаторы частоты, делители и умножители;
Ч7 – приемники Сигалов эталонных частот, компараторы и синхронометры;
Ч8 – преобразователи частоты в другую электрическую величину.
В зависимости от диапазона и требуемой точности методы измерения частоты классифицируются следующим образом:
- метод перезаряда конденсатора;
- резонансный метод;
- метод сравнения (гетеродинный);
- метод дискретного счета (цифровой);
- осциллографический (будет рассмотрен в главе «Осциллографические измерения»).
Метод перезаряда конденсатора имеет низкую точность и ограниченный частотный диапазон и в настоящее время практически не используется.
3.5.2 Резонансные частотомеры
Метод основан на использовании явления электрического резонанса в колебательных системах. По сути метод заключается в сравнении измеряемой частоты с собственной резонансной частотой колебательного контура. Структурная схема резонансного метода представлена на рисунке 3.5.1.

Рисунок 3.5.1 – Структурная схема резонансного частотомера.
С помощью элементов связи колебательная система подключается к источнику измеряемой частоты и индикатору, настройка в резонанс фиксируется с помощью индикатора, а значение измеряемой частоты отсчитывается по шале, связанной с механизмом перестройки.
В зависимости от диапазона измеряемых частот в качестве колебательных систем используются контуры с сосредоточенными или распределенными постоянными.
Резонансные частотомеры с сосредоточенными постоянными используются в диапазоне частот 50 кГц – 200 МГц и представляют собой колебательный контур, состоящий из катушки индуктивности и конденсатора. Точность настройки в резонанс тем выше, чем выше добротность контура.
Связи контура с объектом измерения и с индикатором резонанса должны быть минимальными для того, чтобы, с одной стороны, колебательный контур не влиял на источник колебаний измеряемой частоты, а с другой – чтобы вносимые в контур сопротивления не уменьшали его добротности.
При измерении контур настраивают в резонанс, а измеряемую частоту находят из формулы Томсона для резонансной частоты колебательного контура:
.
Обычно используются сменные катушки индуктивности и конденсаторы переменной емкости, что позволяет перекрыть достаточно широкий диапазон частот при сравнительно узких поддиапазонах. С объектом измерения частотомер связан слабой индуктивной связью. Индикатор резонанса подключается к контуру либо через емкостный делитель, либо индуктивно.
На частотах выше 1000 МГц используются контуры с распределенными постоянными.
На частотах до 10 ГГц колебательная система представляет собой четвертьволновую разомкнутую коаксиальную линию, нагруженную емкость С. Индикатор состоит из детекторной секции и магнитоэлектрического микроамперметра. Индикатор резонанса связан с отрезком линии и с источником измеряемой частоты с помощью петли связи. При настройке такого частотомера в резонанс одновременно изменятся длина линии и емкость С. Погрешность измерения частоты составляет (0,1 – 0,5)%.
На частотах выше 10 ГГц применятся объемные резонаторы, представляющие собой отрезки волновода.
К основным параметрам резонансных частотомеров можно отнести
- диапазон измеряемых частот;
- погрешность измерения;
- чувствительность (минимальная мощность, необходимая для отклонения стрелки индикатора).
Источниками погрешностей резонансных частотомеров являются
- точность настройки контура в резонанс;
- погрешность градуировки и разрешающей способности индикатора;
- люфт в механизме перестройки;
- изменение внешней температуры;
влажность окружающей среды.
При точных измерениях вводится поправка на температуру и влажность по специальным графикам.
3.5.3 Измерение частоты гетеродинным методом
Сущность гетеродинного метода заключается в сравнении частоты исследуемого сигнала с известной частотой сигнала перестраиваемого генератора (гетеродина). Как самостоятельные прибора гетеродинные частотомеры в настоящее время не выпускаются, но широко используются в гетеродинным преобразователях частоты, служащих для расширения пределов измерения цифровых частотомеров в сторону СВЧ.
Структурная схема гетеродинного частотомера представлена на рисунке 3.5.2.

Рисунок 3.5.2 – Структурная схема гетеродинного частотомера.
Измеряемая частота fх понижается за счет смешивания колебаний с частотой fх с колебаниями перестраиваемого гетеродина, частота которого fг известна и имеет высокую стабильность. На выходе смесителя образуются сигналы комбинационных частот ±nfг ± mfx. Из всех этих частот путем фильтрации выделяется разностная частота nfг - mfx.
В зависимости от вида применяемого оконечного измерителя (индикатора) возможны различные методики измерения.
1 Получение нулевых биений.
Гетеродин перестраивают по частоте до нулевых биений, фиксируемых индикаторным прибором: nfг = mfx. Отсюда искомая частота
.
2 Измерение разностной частоты
Задача гетеродинного преобразования сводится к понижению измеряемой частоты до диапазона рабочих частот оконечного измерителя (осциллографа или цифрового частотомера) измерив разностную частоту fр = nfг - mfx, получают
. В данном случае гетеродин выступает в качестве меры, следовательно, погрешность измерения частоты зависит от погрешности меры.
С помощью гетеродина можно расширить диапазон измеряемых частот до десятков ГГц.
Источники погрешностей:
- погрешность меры;
- погрешность сравнения;
- погрешность фиксации разностной частоты.
3.5.4 Метод дискретного счета. Электронно-счетные частотомеры
В настоящее время наиболее широко используются электронно-счетные частотомеры со знаковой индикацией результата измерений, в которых реализуется метод дискретного счета (цифровой метод измерения частоты). Сущность этого метода заключается в подсчете числа периодов неизвестной частоты ха определенный интервал времени.
По принципу действия электронно-счетные частотомеры относятся к приборам прямого преобразования, осуществляющими счет числа идентичных событий за интервал времени измерения. В зависимости от значения этого интервала (временной базы) различают
- частотомеры средних значений, в которых измерение осуществляется за интервал времени t0 > Тх, как в интегрирующих цифровых приборах;
- частотомеры мгновенных значений, в которых осуществляется измерение частоты за один период колебаний, как в неинтегрирующих цифровых приборах.
Наибольшее распространение получили частотомеры средних значений, структурная схема которых приведена на рисунке 3.5.3.

Рисунок 3.5.3 – Обобщенная структурная схема цифрового частотомера.
В режиме измерения частоты сигнал подается на вход 1, а переключатель S находится в положении «fx ». Формирующее устройство 1 (ФУ1) предназначено для преобразования гармонических сигналов в однополярные импульсы, следующие с периодом Тх, соответствующим fх(счетные импульсы), а ФУ2 – в импульсы с периодом Т0, соответствующим образцовой частоте f0 сигнала кварцевого генератора. На входе ФУ1 (входное устройство 1 ВУ1) включается компенсированный делитель напряжения или аттенюатор, с помощью которого устанавливается напряжение, необходимое для нормальной работы ФУ.
Для формирования меток времени предназначен блок образцовых частот (БОЧ) в составе кварцевого генератора с делителями и умножителями частоты. БОЧ позволяет получить импульс временной базы с необходимой длительностью t0 или периодическую последовательность импульсов с калиброванным периодом. Формирование импульса t0, который определяет время измерения и называется временем счета, осуществляется в устройстве управления (УУ). В этом же устройстве вырабатывается импульс сброса для обнуления счетчика и индикатора и сигнал для блокировки селектора. Блокировка селектора необходима для сохранения показаний индикатора на некоторый интервал времени. Селектор открывается на установленный интервал времени t0 и пропускает на счетчик импульсы, следующие с периодом Тх. Полученная информация с помощью дешифратора, входящего в состав индикатора, дешифрируется и отображается на цифровом табло в единицах измеряемой частоты.
Счетные импульсы, сформированные из сигнала Uх, поступают на вход временного селектора. Селектор открыт во время действия импульса длительностью t0, сформированного из сигнала БОЧ. Следовательно, счетчик зафиксирует число импульсов N, которое без учета погрешности дискретности можно определить из формулы t0 = N×T0. Откуда значение частоты будет определяться из соотношения
fx = N / t0.
Источниками погрешности при измерении частоты будут относительная нестабильность частоты кварцевого генератора d0 и погрешность дискретности, равная 1/N. Погрешность дискретности обусловлена тем, что за время измерения счетчик сосчитает только целое количество импульсов, а часть периода будет потеряна в начале и в конце времени счета t0. Наличие делителей частоты в БОЧ позволяет уменьшить погрешность дискретности при измерении низких частот.
При измерении периода переключатель S переводится в положение Tх, а сигнал подается на вход 2. Интервал времени измерения определяется величиной Tх, а счетными являются импульсы, сформированные из частоты кварцевого генератора. Для уменьшения погрешности дискретности частота кварцевого генератора умножается в требуемое число раз. Следовательно, период сигнала можно определить по формуле
, где n – 0, 1, 2, … .
В диапазоне низких и инфранизких частот (при больших значениях Тх и n) интервал времени измерения может быть равен Тх, то есть частота измеряется за один период сигнала. В этом режиме частотомер является неинтегрирующим. В реальных схемах предусматривается возможность измерения и нескольких периодов Тх с последующим усреднением результатов измерений. Интервал времени измерения регулируется в УУ и может быть равным 10mТх. Тогда
.
Относительная погрешность измерения периода определяется по таким же образом, как и для частоты.
Одним из способов повышения точности измерения частоты является переход от измерения частоты к измерению периода. Кроме того, могут использоваться способы умножения измеряемой частоты, нониусный (верньерный) способ растяжки дробно части периода и преобразование частоты fх в напряжение с последующим измерением его с помощью цифрового вольтметра.
С помощью электронно-счетного частотомера можно измерять отношение двух частот. В этом ежимее переключатель S ставится в положение f1/f2, сигнал с большей частотой (f1) подается на вход 1, а сигнал с меньшей частотой (f2) – на вход 2. Следовательно, время счета t0 формируется из сигнала с частотой f2, а в качестве счетных используются импульсы, которые формируются из сигнала с частотой f1. Количество импульсов N, которые сосчитает счетчик, будет равно искомому отношению частот.
Основным фактором, ограничивающим диапазон частотомера сверху, является погрешность дискретности. Диапазон частот сверху ограничен быстродействием счетчика и составляет примерно 200 МГц. Для расширения частотного диапазона в сторону ВЧ и СВЧ используются два способа: предварительное деление частоты входного сигнала и преобразование частоты.
3.6 Исследование формы электрических сигналов
Приборы, предназначенные для исследования формы и спектра сигналов, составляют одну из многочисленных групп средств измерений.
Осциллографами называются приборы, предназначенные для наблюдения, записи или фотографирования электрических процессов, которые изменяются во времени, и измерения их параметров.
Анализаторами спектра называются устройства, позволяющие снимать зависимость амплитуд или мощностей гармонических колебаний, входящих в состав сложного сигнала, от частоты.
Осциллографы и анализаторы спектра относятся к подгруппе С и делятся на виды: С1 – осциллографы универсальные; С4 – анализаторы спектра; С7 – осциллографы скоростные и стробоскопические; С8 – осциллографы запоминающие; С9 – осциллографы специальные.
Наибольшее распространение получили универсальные электронные осциллографы, позволяющие исследовать различные электрические процессы в широком диапазоне амплитуд, длительностей и частот повторения сигналов. В зависимости от схемных решений их можно разделить на одноканальные, многоканальные и многофункциональные. Многоканальность достигается применением многолучевых электронно-лучевых трубок (ЭЛТ) и коммутаторов сигналов. В многофункциональных осциллографах с помощью сменных блоков реализуются такие дополнительные функции, как измерение электрических и неэлектрических величин, анализ спектра сигналов, исследование характеристик радиотехнических цепей и устройств.
В скоростных осциллографах исследование формы колебаний СВЧ и кратковременных импульсных сигналов обеспечивается с помощью специальной ЭЛТ бегущей волны (ТБВ). Полоса пропускания таких осциллографов может превышать 1 ГГц.
Стробоскопическим называется осциллограф, в котором для получения изображения формы сигнала используется упорядоченный или случайный отбор мгновенных значений исследуемого сигнала и осуществляется временное преобразование сигнала. Такие осциллографы позволяют исследовать сигналы с полосе частот от 0 до 10 ГГц.
Запоминающий осциллограф представляет собой прибор, в котором с помощью специального устройства, например ЭЛТ с памятью или электронного запоминающего устройства, сохраняется на определенное время исследуемый сигнал и при необходимости представляется для однократного или многократного визуального наблюдения или для дальнейшей обработки.
К специальным осциллографам относятся прибора, предназначенные для исследования сигналов сложной формы типа телевизионного. Наряду с основными блоками такие осциллографы имеют устройства выделения строки, восстановления постоянной составляющей и т.п. Такие осциллографы широко применятся при настройке телевизионной аппаратуры и кроме специальных измерений могут использоваться как широкополосные осциллографы.
3.6.1 Структурная схема типового универсального электронного осциллографа (ЭО)

Рисунок 3.6.1 – Обобщенная структурная схема типового одноканального универсального осциллографа.
Схема ЭО состоит из ЭЛТ, канала вертикального отклонения Y, канала горизонтального отклонения Х, канала яркости Z, калибраторов амплитуды и длительности, блока питания.
В современных осциллографах применяются ЭЛТ с электростатическим управлением лучом, имеющие достаточную широкополосность. На экране ЭЛТ воспроизводится изображение исследуемого процесса. Для этой цели необходимо, чтобы луч отклонялся по горизонтальной оси пропорционально времени, а по вертикальной оси – пропорционально исследуемому напряжению. Следовательно, ЭЛТ в основном влияет на такие важные технические характеристики ЭО, как погрешность измерений амплитудных и временных параметров, возможность наблюдения импульсов различной длительности, яркость свечения и продолжительность изображения на экране. Важными электрическими параметрами ЭЛТ являются чувствительность по вертикали и горизонтали, полоса пропускания и другие. К световым параметрам относятся ширина линии, скорость записи отдельных сигналов, яркость свечения экрана и времени послесвечения.
Для отсчета измеряемых величин перед экраном помещается сетка (шкала), которая наносится на прозрачный материал. Эта шкала имеет подсветку с использованием эффекта полного внутреннего отражения в толще материала. В некоторых ЭЛТ шкала наносится непосредственно на внутреннюю поверхность экрана, что позволяет уменьшить ошибки отсчета из-за параллакса. Площадь, ограниченная шкалой, определяет рабочую площадь экрана, в пределах которой гарантируются соответствующие технические характеристики ЭО.
Канал вертикального отклонения Y (канал сигнала) предназначен для согласования входа ЭО с исследуемым устройством, усиления исследуемых сигналов и преобразования их в два противофазных напряжения, которые подаются на вертикально отклоняющие пластины ЭЛТ. Канал состоит из входного устройства (ВУ), предварительного усилителя (ПУ), линии задержки (ЛЗ) и оконечного усилителя вертикального отклонения (УВО). ВУ предназначено для согласования входного сопротивления канала с исследуемым устройством и ослабления исследуемого сигнала для предотвращения перегрузки усилителя при больших значениях входного напряжения. В ПУ сосредоточены основные регулировки канала: плавная и ступенчатая регулировка усиления, балансировка усилителя постоянного тока и др. ЛЗ обеспечивает подачу исследуемого сигнала на вертикально отклоняющие пластины с задержкой относительно начала развертки, что дает возможность наблюдать фронт импульса и исключить нелинейность начального участка развертки. УВО необходим для получения осциллограммы слабых сигналов, т.е. для повышения чувствительности осциллографа.
1Канал горизонтального отклонения Х (канал развертки и синхронизации) предназначен для создания напряжения развертки горизонтали, усиления сигналов синхронизации и преобразования импульсов синхронизации (в импульсных осциллографах) любой полярности в импульсы определенной полярности, необходимые для запуска развертки. Канал содержит устройство синхронизации и запуска развертки, генератор развертки (ГР), усилитель горизонтального отклонения (УГО) и переключатель. Устройство запуска развертки служит для усиления и регулировки амплитуды, а также для изменения полярности синхронизирующих напряжений. С помощью ГР обеспечивается получение напряжения развертки. В общем случае ГР вырабатывает напряжение пилообразной формы (линейная непрерывная развертка). Это напряжение характеризуется длительностями прямого хода ТП, обратного хода ТОБР и блокировки и блокировки ТБЛ (рис.2.2) ТР = ТП + ТОБР + ТБЛ.
|
Рисунок 3.6.2 |
Рабочим интервалом является время прямого хода, в течение которого напряжение на пластинах Х линейно во времени:
,
где Um – амплитуда напряжения развертки; t – текущее время.
В течение ТП луч будет описывать на экране такую же функциональную зависимость, какую имеет исследуемый сигнал во времени. В течение времени обратного хода и блокировки ГР формирует импульс, поступающий в канал управления яркостью и гасящий луч ЭЛТ на время ТО + ТБЛ.
Чтобы получить на экране ЭЛТ хотя бы один полный период исследуемого напряжения, период напряжения развертки ТР должен быть кратным периоду исследуемого напряжения ТС, т.е. должно выполняться условие синхронизации
ТР = n×TC,
где n = 2, 3, … - целые числа.
На практике n > 3 брать нецелесообразно, т.к. ухудшается детальность наблюдения сигнала. Если условие синхронизации не выполняется (n – дробное число), то на экране ЭЛТ получается неустойчивое бегущее изображение.
Для соблюдения данного условия и непрерывного поддержания устойчивого изображения необходимо синхронизировать развертку с исследуемым напряжением. Сущность синхронизации состоит в том, что вместе с изменением периода исследуемых колебаний Т автоматически (синхронно) в осциллографе изменяется на такую же величину период развертки ТР. При этом начало периода развертки совпадает с началом периода сигнала.
Существенным недостатком непрерывной развертки является то, что она не обеспечивает наблюдение однократных импульсов малой длительности, а при исследовании процессов с большой скважностью этот режим неэффективен. Поэтому при исследовании указанных процессов используются другие виды разверток (задержанная, задерживающая, ждущая, однократная). Выбор вида развертки зависит от характера исследуемого сигнала.
Назначение усилителя горизонтального отклонения УГО аналогично УВО.
Канал управления яркостью луча Z используется при измерении временных параметров периодических процессов.
Калибраторы амплитуды и длительности являются встроенными в осциллограф источниками сигналов с точно известными параметрами. Благодаря им обеспечивается возможность измерений амплитудных и временных параметров исследуемых сигналов.
Для расширения функциональных возможностей осциллографа канал Y может дополняться электронным коммутатором, с помощью которого на экране однолучевой ЭЛТ можно наблюдать осциллограммы нескольких сигналов. В этом случае ЭО становится многоканальным. Структурная схема цепей двухканального ЭО изображена на рисунке 3.6.3.

Рисунок 3.6.3 – структурная схема двухканального осциллографа
Как видно на рисунка 3.6.3, с помощью электронного коммутатора (ЭК) осуществляется поочередная или одновременная подача сигналов с входов Y1 и Y2 на пластины Y ЭЛТ, чем и достигается эффект многоканальности.
При использовании осциллографа параметры сигналов определяются по их осциллограммам. Достоверность результатов измерений зависит от точности воспроизведения осциллограмм. Погрешности измерений зависят от правильного выбора осциллографа, установки оптимальных размеров осциллограммы, установки оптимальных размеров осциллограммы, выбора вида синхронизации и других факторов. При этом погрешность воспроизведения осциллограммы зависит от линейных (частотных) и нелинейных искажений сигналов.
С помощью ЭО можно измерять как постоянное напряжение, так и мгновенное, максимальное, минимальное значения и размеры сигнала.
3.6.2 Цифровые осциллографы
В цифровом осциллографе исследуемый аналоговый сигнал преобразуется с помощью АЦП в коды, которые далее запоминаются в дискретной памяти, реализуемой с помощью оперативного запоминающего устройства (ОЗУ).

Рисунок 3.6.4 – Обобщенная структурная схема цифрового осциллографа (ЦО)
ОЗУ позволяет запомнить весь массив мгновенных значений U(t), поступающих в виде кодов с АЦП, а также необходимую служебную информацию. Скорость записи в ОЗУ и его емкость оказывают существенное влияние на быстродействие и метрологические характеристики цифрового осциллографа.
Визуальные индикаторы (ВИ), применяемые в ЦО, можно разделить на две группы: ЭЛТ и матричные индикаторные панели (МИП). При использовании ЭЛТ необходимы дополнительные цифро-аналоговые преобразователи (ЦАП), преобразующие коды ОЗУ в напряжение сигнала U(t), поступающее на пластины Y, и напряжение развертки, подаваемое на пластины Х ЭЛТ. При переходе к МИП необходимость в ЦАП отпадает.
Управление работой ЦО осуществляется тактовыми импульсами управляющего устройства (УУ). В АЦП реализуется кодо-импульсный метод преобразования при развертывающем уравновешивании с равномерно-ступенчатым изменением компенсирующего напряжения. Благодаря этому имитируется временная развертка осциллографа.
3.6.3 Осциллографические измерения
При использовании осциллографа параметры сигналов определяют по их осциллограммам. Достоверность результатов зависит от точности воспроизведения осциллограмм. Погрешности измерения зависят от правильного выбора осциллографа, установки оптимальных размеров осциллограммы, выбора вида синхронизации и других факторов.
3.6.3.1 Измерение напряжений
С помощью электронного осциллографа можно измерять как постоянное напряжение (при наличии открытого входа Y), так и мгновенное, максимальное, минимальное значения и размах сигнала.
Напряжение может быть измерено методом прямого преобразования и методом сравнения. При использовании метода прямого преобразования (калиброванного отклонения) с помощью калибратора амплитуды предварительно калибруется требуемый коэффициент отклонения Кв, который является ценой деления шкалы, нанесенной на экран. Значение напряжения в этом случае можно определить по формуле
Ux = Кв×h, где
H – отклонение луча на экране осциллографа, соответствующее измеряемому значению сигнала.
Суммарная погрешность измерения напряжения данным методом зависит от погрешности, возникающей при калибровке коэффициента отклонения, погрешности из-за неравномерности и визуальной погрешности.
Погрешность измерений может быть уменьшена при использовании метода сравнения и двухканального осциллографа или осциллографа с дифференциальным входом. На один вход подается исследуемый сигнал, а на второй – образцовое постоянное или переменное напряжение. Совмещая изображение калибровочного сигнала с границами осциллограммы исследуемого сигнала, определяют с помощью вольтметра значение калибровочного сигнала, а следовательно, искомое значение напряжения.
3.6.3.2 Измерение временных параметров и параметров импульсов
Временные интервалы, так же, как и напряжения, могут быть измерены методом прямого преобразования и методом сравнения. В первом случае перед измерением калибруется длительность прямого хода развертки, т.е. устанавливается необходимое значение коэффициента развертки Кр с помощью калибратора длительности. Измеренный интервал времени определяется по формуле
t = Kp×l, где
l – размеры исследуемого участка осциллограммы по горизонтали.
Погрешность измерения временных интервалов зависит от погрешности калибровки временного интервала и визуальной погрешности.
Метод сравнения реализуется с помощью калибрационных меток, которые формируются из сигнала с известным периодом и при подаче его на вход Z накладываются на изображение сигнала. Совмещая метки с границами исследуемого временного интервала, по периоду меток и их количеству определяют значение измеряемого временного интервала.
3.6.3.3 Измерение частоты
Измерение частоты производится методом сравнения с частотой образцового генератора. Осциллограф в этом случае играет роль индикатора равенства или кратности измеряемой fx и образцовой fo частот и погрешности в результат измерения практически не вносит.
Наиболее часто используются две разновидности этого метода: метод интерференционных фигур и метод круговой развертки с модуляцией яркости.
При использовании метода интерференционных фигур генератор развертки выключается и сигнал образцовой частоты подается на вход Х, а неизвестной – на вход Y осциллографа. На экране появляется интерференционная фигура (рисунок 3.6.4 а).

Рисунок 3.6.4 – Измерение частоты
Вид интерференционной фигуры зависит от соотношения частот и фаз сигналов. Кратность частот по интерференционным фигурам определяется следующим образом. На полученной фигуре мысленно проводится вертикальная прямая, не пересекающая узлы (рисунок 3.6.4 а). Подсчитывается число пересечений nв с вертикальной прямой с линиями фигуры. Аналогично находится число пересечений горизонтальной прямой с линиями фигуры nг. Из уравнения nг×fo = nв×fх определяется значение измеряемой частоты fх.
С увеличение отношения частот усложняется вид интерференционной фигуры, что затрудняет отсчет числа пересечений. При большой кратности частот применяют метод круговой развертки с модуляцией яркости. Круговая развертка создается напряжением образцового генератора. Сигнал образцовой частоты в виде двух напряжений с фазовым сдвигом 90° подается на входы Х и Y осциллографа, а напряжение с частотой fх подается на вход Z. На экране получается изображение рисунка 3.6.4 б.Число темных и светлых участков равно кратности частот n, а частота fx = n×fo.
3.6.3.4 Измерение фазовых сдвигов
Измерение фазовых сдвигов измеряется методом наложения и методом эллипса.
Наибольшее распространение получил метод наложения. При наличии двухканального осциллографа исследуемые сигналы подаются на входы Y1 и Y2, и на экране получается картина, изображенная на рисунке 3.6.5.

Рисунок 3.6.5 – Измерение фазового сдвига
3.7 Измерение фазового сдвига
К числу основных параметров электромагнитных колебаний, определяющих состояние колебательного процесса В заданный момент времени, относится фаза исследуемого сигнала. Для гармонического колебания u(t) = Um sin (ωt + +φ) фаза Ф определяется аргументом Синусоидальной функции, линейно зависящей от времени, т. е. Ф = ωt + φ, где ф – начальная фаза. Если начальные фазы двух синусоидальных • колебаний с частотой ω обозначить соответственно через φ1 и φ2 сдвига фаз будет равен – (φ1 - φ2). Следовательно, фазовый сдвиг является постоянной величиной и не зависит от момента времени отсчета.
В радиотехнике, электронике, технике связи и других областях науки и техники измерение фазовых сдвигов гармонических сигналов позволяет получить информацию о качестве радиоустройств, линий связи, технологических процессов и т. д. Для проведения таких измерений используются приборы подгруппы Ф (Ф2 – измерители фазовых сдвигов; ФЗ – измерительные фазовращатели; Ф4 – измерители группового времени запаздывания).
Наибольшее распространение получили следующие методы измерения фазовых сдвигов: метод суммы и разности напряжений, нулевой метод, метод преобразования фазового сдвига во временной интервал, которые изучаются в рамках настоящей лабораторной работы.
3.6.1 МЕТОД СУММЫ И РАЗНОСТИ НАПРЯЖЕНИЙ
Сущность метода суммы и разности напряжений заключается в переносе информации об измеряемом фазовом сдвиге в амплитуду результирующего (суммарного или разностного) напряжения с последующим измерением этого напряжения аналоговым или цифровым вольтметром. Если два гармонических сигнала, описываемых выражениями
U1(t) = Um1 sin (ωt + φ1)
U2(t) = Um2 sin (ωt + φ2)
подать на схему сложения (сумматор), то амплитуда их векторной суммы при Um1= Um2 = Um будет равна
.
Аналогично, с помощью схемы вычитания можно образовать разностное напряжение, амплитуда которого равна
.
В принципе, для намерения фазового сдвига φх =(φ1 - φ2) достаточно использовать только суммарную Umc или разностную Ump составляющие напряжения. Однако такой фазометр будет иметь пределы измерения от 0° до +90°, неравномерную шкалу и резко выраженную зависимость погрешности измерения фазовых сдвигов от значения φх. Кроме того, измеренное значение φх будет зависеть от значения измеряемого напряжения Um. Поэтому в практических схемах фазометров, реализующих метод суммы и разности напряжений, используется как суммарное, так и разностное напряжения.
Структурная схема одного из возможных вариантов такого фазометра приведена на рисунке 3.7.1.

Рисунок 3.7.1
Входные сигналы U1 и U2, амплитуды которых уравниваются с помощью входных устройств, подаются на схемы сложения и вычитания. На выходах этих схем после детектирования образуются суммарное и разностное постоянные напряжения, которые поступают на вторую схему вычитания. На ее выходе будет выделяться разностное напряжение, которое измеряется аналоговым или цифровым вольтметром.
Зависимость
от φх (рисунок 3.7.2) оказывается практически равномерной, что позволяет при предварительной калибровке фазометра для устранения зависимости φx от Um расширить пределы измерения до ± 180°. Следует однако отметить, что при измерении фазовых сдвигов фазометром, реализующим данный метод, на6людается неоднозначность отсчета (кроме точек +1 и -1) значений измеренного фазового сдвига. Действительно, одному и тому же значению разностного напряжения
соответствуют два значения измеряемого фазового сдвига φх и φx' (см. рисунок 3.7.2), Действительное значение фазового сдвига можно определить путем дополнительного измерения, при котором Напряжение U2 сдвигается но фазе с помощью дополнительного фазо-вращателя на небольшой фиксированный угол φ0.

Рисунок 3.7.2
Как видно из рисунка 3.7.2, если показанию вольтметра Uv при первом измерении φх соответствуют два значения фазового сдвига φ и φ', го после дополнительного сдвига фаз на угол φ0 показания вольтметра для углов φ1= φ + φ0 и φ2 = =φ' + φ0 будут различны. Дополнительно измерив значение UB' и пользуясь графиком (рисунок 3.7.2), легко определить действительное значение фазового сдвига φх. При UB > UB' действительное значение фазового сдвига будет находиться в пределах 0 < φх < π при UB < UB' – в пределах π < φх < 2π.
Метод суммы и разности напряжений используется для разработки фазометров, работающих в широком диапазоне частот (до сотен ГГц), и обеспечивает измерения фазовых сдвигов с основной погрешностью, не превышающей ±(2–3)0 . Данный метод используется также в приборах, предназначенных для контроля за постоянством фазового сдвига. При этом погрешность измерения уменьшается до десятых долги градуса.
3.7.2 НУЛЕВОЙ МЕТОД
Типовая структурная схема фазометра, реализующего нулевой метод измерения фазовых сдвигов, приведена на рисунке 3.7.3.
Входные сигналы U1 и U2 с помощью входных устройств выравниваются по амплитуде и поступают на измерительный (ИФВ) к установочный (УФВ) фазовращатели. В качестве индикаторного устройства (ИУ) могут использоваться индикаторы равенства фаз напряжений U1' и U2', их противофазности или квадратурности.
Перед началом измерений фазометр калибруется с целью устранения собственного фазового сдвига, вносимого элементами схемы. Для этого указатель шкалы ИФВ устанавливают на нулевую отметку, на оба входа фазометра подают один из исследуемых сигналов.

Рисунок 3.7.3
Изменением фазового сдвига, вносимого УФВ, добиваются нулевых показаний индикаторного устройства (ИУ), компенсируя тем самым собственный фазовый сдвиг фазометра. В режиме измерения начальная фаза напряжения U1 с помощью ИФВ изменяется на величину φ0 (образцовый фазовый сдвиг) и с помощью индикаторного устройства фиксируется величина Δφ = φ0 + φх. При Δφ=0° φх = - φ0 т. е. измеренное значение фазового сдвига отсчитывается непосредственно но шкале ИФВ. При Δφ = 180° измеряемый фазовый сдвиг определяется по формуле φх =180° - φ°.
В качестве индикатора значений Δφ= 0° и Δφ = 180° чаще всего используется электронно-лучевой осциллограф. При подаче напряжений U1' и U2' на входы X и Y электронно-лучевого осциллографа наблюдаемая на экране электронно-лучевой трубки интерференционная фигура будет иметь вид эллипса, параметры которого определяются значением измеряемого фазового сдвига φх. При синфазности напряжений, поступающих на входы X и Y осциллографа, эллипс "стягивается" в линию, которая наклонена вправо под углом 45° (при Uj' – U2'). Если же Δφ=180°, линия будет наклонена влево также под углом 45°. Момент "стягивания" эллипса в линию может быть зафиксирован достаточно точно. Погрешность измерения фазового сдвига фазометром, реализующим нулевой метод, определяется, в основном, погрешностью градуировки шкалы ИФВ.
3.7.3 МЕТОД ПРЕОБРАЗОВАНИЯ ФАЗОВОГО СДВИГА ВО ВРЕМЕННОЙ ИНТЕРВАЛ
Измерение фазового сдвига методом преобразования во временной интервал основано на алгоритме, описываемом выражением
,
где Тх – период сигнала;
Δtx – интервал времени, пропорциональный измеряемому фазовому сдвигу.
Структурная схема фазометра, реализующего метод преобразования фазового сдвига во временной интервал, приведена на рисунке 4, временные диаграммы, поясняющие принцип его работы, представлены на рисунке 3.7.4.

Рисунок 3.7.4 – Структурная схема цифрового фазометра.
Гармонические сигналы U1 и U2 преобразуются с помощью формирующих устройств в последовательность коротких импульсов U3 и U4 (рисунок 3.7.5), временное положение которых соответствует нуль-переходам входных сигналов из отрицательной области в положительную. Интервал времени Δtx между ближайшими импульсами первой U3 и второй U4 последовательностей будет пропорционален измеряемому фазовому сдвигу φх.

Рисунок 3.7.5 – Временные диаграммы, иллюстрирующие метод преобразования фазового сдвига во временной интервал
Однако, как видно им выражения, для измерения фазового сдвига φх рассматриваемым методом необходимо определить отношение Δtx/Tx. Это отношение наиболее просто определяется как постоянная составляющая периодической последовательности прямоугольных импульсов U (рисунок 3.7.5) в соответствии с выражением
.
Следовательно,
.
Зафиксировав с помощью стабилизатора уровня амплитуду прямоугольных импульсов Um на уровне, например, 360 мВ и выделив с помощью фильтра низкой частоты постоянную составляющую периодической последовательности импульсов, получим, что измеренное средне значение напряжения U (например, в мВ) будет равно измеряемому фазовому сдвигу в градусах.
Рассмотренный цифровой фазометр; реализующий метод преобразования фазового сдвига во временной интервал, работает по алгоритму преобразования: фазовый сдвиг – интервал времени – напряжение – цифровой код. Однако в настоящее время широко применяются цифровые фазометры, реализующие алгоритм преобразования: фазовый сдвиг – интервал времени – цифровой код. Целесообразность применения такого алгоритма преобразования очевидна: упрощается алгоритм работы фазометра и, как следствие, появляется потенциальная возможность повышения точности измерения фазовых сдвигов.
3.8 Измерение электрической мощности
3.8.2 При измерении мощности на ВЧ и СВЧ встречаются два основных случая:
1) измерение мощности, проходящей от источника в данную нагрузку (проходящей мощности);
2) измерение мощности, которую источник может отдать в согласованную нагрузку (поглощаемой мощности).
Соответственно этим случаям все ваттметры подразделяются на ваттметры проходящей мощности (М2) и ваттметры поглощаемой мощности (М3). Основными узлами ваттметров являются приемный преобразователь (головка) и измерительное устройство (ИУ). В приемных преобразователях (образуют самостоятельный вид М5) осуществляется преобразование электромагнитной энергии в другой вид энергии, доступной для прямого измерения. По способу преобразования энергии вся совокупность существующих методов измерения мощности и ваттметров может быть классифицирована следующим образом:
тепловые методы:
– калориметрический;
– болометрический (термисторный);
– термоэлектрический;
электронные методы:
– вольтметр с использованием эффекта Холла;
– с использованием эффекта «горячих» носителей тока;
– с использованием частотно-избирательных ферритов;
пондеромоторный метод;
фотометрический метод.
3.8.2.1 Измерение поглощаемой мощности
Типовая схема включения ваттметра поглощаемой мощности в передающий тракт показана на рисунке 3.8.1
![]() |
Рисунок 3.8.1
Приемные преобразователи ваттметров поглощаемой мощности являются эквивалентом согласованной нагрузки и, как видно из рисунка 1, включаются на конце передающей линии вместо реальной нагрузки. Для измерения поглощаемой мощности используются все тепловые и большинство электронных методов.
Тепловые методы основаны на преобразовании электромагнитной энергии в тепловую с последующим измерением либо количества выделенного тепла (приращения температуры), либо замещающей мощности постоянного тока (или тока низкой частоты), вызывающей эквивалентное приращение температуры. Основным достоинством тепловых ваттметров является возможность калибровки и аттестации их на постоянном токе, что способствует достижению высокой точности измерения мощности. Наибольшее распространение в практике измерений получили болометрические (термисторные) ваттметры, приемными преобразователями которых являются терморезисторы (болометры и термисторы).
Общим для электронных методов является преобразование измеряемой мощности в пропорциональное напряжение постоянного или переменного тока с последующим измерением этого напряжения. Основным достоинством электронных методов является малая инерционность, благодаря чему они используются для прямого измерения средней и импульсной мощности.
Рассмотрим более подробно термоэлектрический метод и метод с использованием эффекта «горячих» носителей тока.
Термоэлектрический метод основан на преобразовании с помощью термопар энергии СВЧ в тепловую с последующим измерением возникающей термо-ЭДС
, пропорциональной рассеиваемой в термопаре СВЧ-мощности. Значение
практически не зависит от температуры окружающей среды в связи, с чем отпадает необходимость в специальных схемах термокомпенсации. Кроме того, термопары не требуют начального подогрева, имеют высокую чувствительность и совместно с простым измерительным устройством позволяют реализовать термоэлектрические ваттметры прямого преобразования.
Конструктивно приемные преобразователи термоэлектрических ваттметров представляют собой отрезки коаксиальных или волноводных трактов со встроенными термопарами, элементами согласования с трактом и разделения цепей питания их по постоянному току и СВЧ.
Поскольку выходным сигналом преобразователя является постоянное напряжение, индикаторные устройства термоэлектрических ваттметров представляют собой вольтметр постоянного тока, шкала которого проградуирована в значениях измеряемой мощности.
Метод с использованием эффекта «горячих» носителей тока основан на разогреве носителей тока в полупроводниковых элементах, помещенных в сильное электрическое поле. При использовании полупроводникового элемента с точечным невыпрямляющим контактом разогрев носителей в области контакта оказывается неоднородным, вследствие чего на потенциальном барьере перехода металл-полупроводник возникает ЭДС, которую условно называют термоЭДС «горячих» носителей. Чувствительность такого преобразователя зависит от удельного сопротивления полупроводника, размеров контакта, его формы, высоты потенциального барьера и некоторых других констант.
Конструктивно приемные преобразователи представляют собой головки на П-образном волноводе с размещенным в нем полупроводниковым элементом. Преобразователь имеет большое выходное сопротивление по постоянному току (более 3 кОм) и поглощает только 2-3 % падающей на него СВЧ-мощности. Поэтому его невозможно согласовать с характеристическим сопротивлением волновода в широком диапазоне частот, и в практических конструкциях преобразователей вместо оконечной короткозамыкающей заглушки применяется согласованная нагрузка.
Измерительное устройство ваттметров представляют собой вольтметр постоянного или переменного тока в зависимости от режима измерения.
3.8 Измерение электрической мощности
3.8.1 Классификация методов и приборов для измерения мощности
Мощность сигнала является одним из основных параметров, который контролируется при эксплуатации радиотехнических устройств. При этом приходится измерять мощность во всем диапазоне частот: от нулевой частоты до оптического диапазона частот. Уровни измеряемых мощностей изменяются в широких пределах: от 10-16 до 109 Вт.
Методы измерения мощности во многом зависят от частотного диапазона и ее количественного значения.
В цепях постоянного и переменного тока низкой частоты мощность можно измерить прямо или косвенно с помощью приборов прямого действия. На постоянно токе при прямых измерениях применяются ваттметры электродинамической системы, и при косвенных – амперметры и вольтметры магнитоэлектрической, электромагнитной и электродинамической систем. На переменном токе обычно применяются ваттметры электродинамической системы. На высоких частотах предпочтение отдается прямым измерениям как более точным, а в диапазоне СВЧ используются только прямые измерения.
В зависимости от способа включения в передающий тракт в диапазоне ВЧ и СВЧ ваттметры делятся на два типа:
- ваттметры поглощаемой мощности;
- ваттметры проходящей мощности.
По способу преобразования электромагнитной энергии в другой вид энергии методы измерения мощности делятся на тепловые (термоэлектрические, терморезисторные, калориметрические), электронные (в которых реализуется метод вольтметра; метод основанный на эффекте Холла; метод, основанный на использовании эффекта «горячих» носителей тока; метод, основанный на использовании частотно-избирательных свойств ферритов).
В зависимости от измеряемого значения мощности различают ваттметры среднего значения мощности и ваттметры импульсной мощности.
По уровню средних значений измеряемых мощностей различают ваттметры
- малой мощности (до 10 мВт);
- средней мощности (от 10 мВт до 10 Вт);
- большой мощности (от 10 Вт до 10 кВт).
По максимальной приведенной основной погрешности серийно выпускаемые ваттметры делятся на восемь классов точности: 1; 1,5; 2,5; 4; 6; 10; 15; 25. Широкодиапазонные и многопредельные ваттметры могут относиться к нескольким классам точности на различных участках диапазона частот, различных пределах измерения и в зависимости от характера измеряемого сигнала.
3.8.2 Измерение мощности на постоянном токе и низкой частоте
В цепях постоянного тока мощность Р, потребляемая нагрузкой с сопротивлением Rн, зависит от тока I в нагрузке и падения напряжения U на ней:
P = UI = I2R = U2/R.
В цепях однофазного синусоидального тока измеряются активная Р, реактивная Q и полная S мощности, которые определяются по формулам:
P = UIcosj = I2R; Q = UIsinj = I2x; S = UI = I2z, где
U, I – среднеквадратические значения напряжения и тока в цепи;
j - фазовый сдвиг между напряжением и током в нагрузке;
R, x, z – активное, реактивное и полное сопротивления нагрузки соответственно.
Обычно ограничиваются измерением активной мощности, потребляемой нагрузкой. При прямых измерениях результат получается на основании показаний одного прибора – ваттметра (например, электродинамической или ферродинамической системы). При косвенных измерениях результат находится на основании показаний амперметра и вольтметра с последующим расчетом мощности по приведенным выше формулам.
При необходимости расширения пределов измерения последовательно с обмоткой напряжения ваттметра включается добавочное сопротивление.
Для расширения пределов измерения ваттметров на переменном токе используются измерительные трансформаторы. Подвижная катушка ваттметра включается в измеряемую цепь через трансформатор напряжения, а неподвижная катушка – через трансформатор. Значение мощности в первичной цепи рассчитывается с учетом показаний ваттметра и номинальных коэффициентов трансформации по току и напряжению.
3.8.3 Измерение проходящей мощности
Под проходящей понимают мощность, рассеиваемую в реальной нагрузке с КСВН>1 (
>0). Таким образом, проходящая мощность (
) всегда меньше падающей (
) на величину мощности, отраженной от нагрузки (
), т.е.
.
Основным достоинством ваттметров проходящей мощности является возможность контроля значения
без отключения реальной нагрузки. Для обеспечения этого приемные преобразователи ваттметров должны быть включены в передающий тракт между источником и нагрузкой, отбирать из тракта лишь незначительную часть мощности, не искажать картину поля в тракте и не ухудшать характеристики согласования. В зависимости от типа приемных преобразователей и способа включения их в линию передачи различают ваттметры проходящей мощности с направленными ответвителями, поглощающей стенкой, пондеромоторные ваттметры и ваттметры с использованием эффекта Холла.
На рисунке 3.8.2 приведена структурная схема наиболее распространенного ваттметра с направленными отверстиями (НО), ориентированными соответственно на
(НО1) и
(Н02). К выходам H01 и Н02 поочередно подключается ваттметр поглощаемой мощности, обеспечивая в соответствии с (1) измерение
. Так как НО характеризуются значениями коэффициента передачи (С) между первичным и вторичным каналами (переходным ослаблением), то рабочая формула для определения по результатам измерений искомого значения принимает вид
где
и
- мощности, измеряемые ваттметром во вторичных каналах НО и пропорциональные соответственно
и
;
и
– переходные ослабления H01 и Н02, определяемые как
(в разах);
(дБ),
где
- мощность в первичном канале НО;
– мощность, ответвленная во вторичный канал.
![]() |
Рисунок 3.8.2
В практике измерений применяются ваттметры проходящей мощности и других типов.
3.9 Автоматизация электрорадиоизмерений
Основной тенденцией дальнейшего развития электрорадиоиз-мерительной техники является переход от разработки измерительных приборов к разработке информационно-вычислительных комплексов (ИВК) и создание на их основе информационно-измерительных систем (ИИС).
3.9.1 Применение микропроцессоров в электрорадиоиз-мерительных приборах
Классические измерительные прибора дополняются встроенными микропроцессорами (МП) с разработкой на этой основе приборов нового поколения, которым свойственен искусственный интеллект. К основным функция, выполняемым МП в таких приборах, относятся управление различными узлами и прибором в целом, автоматическая коррекция систематически погрешностей, обработка и преобразование результатов измерений, диагностика неисправностей и т.д.
Рассмотрим характерные примеры применения МП в конкретных измерительных приборах.
3.9.1.1 Двухканальный стробоскопический осциллограф
Применение МП расширило функции двухканального стробоскопического осциллографа и позволило ему выполнять следующие функции:
- визуальное наблюдения, запись в память и измерение параметров двух периодических сигналов;
- выполнение дискретного преобразования Фурье над сигналом, записанным в памяти, и измерение амплитудных, фазовых и частотных параметров сигнала;
- хранение в памяти нескольких ранее полученных сигналов или спектров;
- одновременное наблюдение формы двух любых сигналов или спектров, записанных в памяти;
- наблюдение методом наложения и запоминания на экране формы всех сигналов или спектров, записанных в памяти;
- наблюдение формы любого сигнала, записанного в памяти, как функции любого другого сигнала, также записанного в памяти;
- выполнение математической обработки сигналов с отображением ее результатов на экране;
- наблюдение гистограмм детерминированных и случайных сигналов, измерение их средних значений, а также расчет статистических моментов высших порядков;
- измерение S-параметров взаимных четырехполюсников;
- выполнение функции импульсного рефлектометра с единичным перепадом напряжении;
- запись в память произвольного массива информации, имитирующего сигнал;
- осуществление двусторонней связи с ЭВМ в режиме диалога.
Осциллограф состоит из двух блоков: блока преобразователя и блока процессора. В качестве визуального индикатора применяется газоразрядная индикаторная панель. Стробоскопический преобразователь в дополнение к своим обычным функциям преобразует аналоговый сигнал в цифровой код, который вместе с кодами положений органов управления передается по двунаправленной магистрали данных. Работой всех узлов блока управляет управляющее устройство блока, которое также осуществляет логическое и физическое сопряжение с блоком процессора.
Магистральный принцип обмена информацией реализуется в приборе таким образом, что магистрали блоков преобразователя и процессора физически повысить скорость обмена информацией между узлами, находящимися в одном блоке, снизить требования к нагрузочной способности и уменьшить уровень взаимных помех между блоками.
3.9.2 Измерительно-вычислительные комплексы
ИВК как автоматизированное средство измерений имеет в своем составе процессор (процессоры) с необходимыми периферийными устройствами, измерительные и вспомогательные устройства, управляемые от процессора, и программное обеспечение комплекса. Именно номенклатура этих компонентов определяет конкретную область применения ИВК. Для выполнения функций измерений, управления процессом измерений и воздействия на объект измерений, предоставления оператору результатов измерения в заданной форме ИВК должны обеспечивать восприятие, преобразование и обработку сигналов от первичных измерительных преобразователей, управление СИ и другими компонентами, входящими в ИВК, выработку нормированных сигналов для средств воздействия на объект измерений и оценку точности измерений и представление результатов измерений в стандартизованной форме.
В состав любого ИВК входят технические и программные компоненты. Технические компоненты подразделяются на основные и вспомогательные, а программные компоненты, образующие в совокупности математическое обеспечение ИВК, включает системное программное обеспечение и общее прикладное программное обеспечение.
К основным техническим компонентам относятся средства измерений (измерительные компоненты), средства вычислительной техники (вычислительные компоненты), меры текущего времени и интервалов времени, а также средства ввода-вывода цифровых и релейных сигналов.
Вспомогательными техническим компонентами являются средства обеспечения совместной работы основных технических компонентов, непосредственно не участвующие в процессе измерений: блоки электрического сопряжения измерительных компонентов между собой и измерительных компонентов с вычислительными (блоки интерфейсного сопряжения, адаптеры), коммутационные устройства, устройства буферной памяти, расширения функциональных возможностей ИВК и т.д.
Системное программное обеспечение ИВК представляет собой совокупность программного обеспечения процессора и дополнительных средств обеспечивающих работу ИВК в диалоговом режиме, управление измерительными компонентами, обмен измерительной информацией и проверку работоспособности ИВК.
Общее прикладное программное обеспечение образуется совокупностью подпрограмм (программных модулей), реализующих типовые алгоритмы обработки измерительной информации, типовые алгоритмы планирования эксперимента и т.п.
К современным ИВК предъявляется очень широкий диапазон технических требований. В одних случаях достаточная система с несколькими каналами преобразования и обработки измерительной информации – измерительными каналами – и частотой их опроса не более 1 кГц. В других требуются уже тысячи измерительных каналов, а частота опроса моет достигать 10 МГц. Часто приходится сталкиваться в необходимостью проведения измерении на объектах. Рассредоточенных и пространстве. Это приводит к необходимости проектирования одноуровневых и многоуровневых ИВК. В одноуровневых ИВК вся измерительная периферия соединена непосредственно с интерфейсом используемой ЭВМ, а для многоуровневых характерна иерархическая структура, в которой вычислительная мощность распределена между различными уровнями.
3.9.3 Информационно-измерительные системы
Для ИИС характерны не только автоматизация процедур регистрации, сбора и передачи результатов измерений на обработку, но и проведение измерительного эксперимента при активном воздействии на объект исследования в соответствии с принятым планом. Оператору предоставляется возможность вмешиваться в ход эксперимента и корректировать его в режиме диалога. Структурная схема ИИС представлена на рисунке 3.9.1.
Разнообразие требований к ИИС и условий их функционирования привели к необходимости внедрения агрегатного принципа построения ИИС из унифицированных компонентов.
Типовые устройства ИИС определяются структурой используемого ИВК. Дополнительно включаются следующие устройства:
- первичные преобразователи, непосредственно воспринимающие от объекта исследования измеряемые величины и преобразующие их в изменение какого-либо параметра выходного сигнала или выходной цепи;
- нормализующие преобразователи, необходимые для преобразования неунифицированных сигналов первичных преобразователей в унифицированные аналоговые или цифровые системы;

Рисунок 3.9.1 – Структурная схема ИИС.
- АЦП, преобразующие в код амплитудные или временные параметры сигналов;
- коммутаторы, осуществляющие поочередное подключение входных сигналов на общий выход и работающие в циклическом (коммутация каналов в периодически повторяющемся порядке), адресном (в соответствии с подаваемым на него адресом канала) или адаптивном (по результатам анализа текущих свойств входных сигналов) режимах;
- линии связи для передачи данных, представленных в цифровой форме. При передаче производятся необходимые преобразования форматов сообщений и сигналов с последующим восстановлением на приемном конце;
- цифровые измерительные приборы (ЦИП), входящие в состав ИИС, выполнят свои прямые функции и обеспечивают представление данных в виде, позволяющем оператору визуально воспринимать их. Как правило, это цифровые измерители параметров электрических сигналов и цепей, в которых предусматривается дистанционное управление. В последнее время в ИИС в качестве индикатора используют мониторы ПЭВМ.
Среди видов ИИС для электрорадиоизмерительной техники характерны измерительные системы и системы автоматического контроля параметров радиоэлектронного оборудования.
3.9.3.1 Измерительные системы
Если исследуемый объект находится на большом расстоянии, ИС называется телеизмерительной.
По принципу построения различают следующие разновидности ИС: с коммутатором, с развертывающим уравновешиванием и сканирующие.
В ИС с коммутатором унифицированные сигналы с выходов нормализующих преобразователей подаются на входы коммутатора и далее поступают в блок обработки информации ИВК. Такие системы называются также многоточечными.
ИС с развертывающим уравновешиванием, называемые также мультиплицированными системами, основаны на принципе динамической компенсации.
Сканирующие ИС основаны на просматривании (сканировании) полей каких-либо объектов и выдаче измерительной информации о состоянии этих полей. Это обеспечивается сканирующим устройством, создающим развертывающее движение датчика при наличии контакта с исследуемым полем (контактные датчики) или его отсутствии (бесконтактные датчики).
3.9.3.2 Системы автоматического контроля
Основным назначением системы автоматического контроля (САК) является контроль и прогнозирование технического состояния (качества) оборудования как объекта контроля. В свою очередь техническое состояние (качество) объекта контроля характеризуется степенью соответствия всей совокупности его параметров установленным требованиям на заданный или прогнозируемый момент времени.
В реальных САК процесс контроля может быть как полностью автоматическим (без непосредственного участия человека), так и автоматизированным (с частичным участием человека). По степени связи с объектом контроля различают встроенные (бортовые), внешние (наземные) и комбинированные (наземно-бортовые) САК.
Число контролируемых параметров может изменяться в широких пределах в зависимости от вида радиоэлектронного оборудования, цели контроля и методов съема измерительной информации.
В зависимости от цели контроля выделяют следующие параметры:
- определяющие (позволяющие оценить техническое состояние объекта контроля);
- вспомогательные (используемые для поиска места отказа);
- аварийные (позволяющие предсказать возможность возникновения аварийной ситуации);
- прогнозирующие (содержащие информацию, необходимую для прогнозирования технического состояния объекта контроля).
Необходимость выполнять в процессе контроля не только измерительные, но и информационно-логические операции, заключающиеся в сопоставлении полученных результатов измерений с требованиями к объекту, усложняют САК по сравнению с ИС. Обобщенная структурная схема САК представлена на рисунке 3.9.2.

Рисунок 3.9.2 – Обобщенная структурная схема САК
Люди также интересуются этой лекцией: 7. Внешние факторы поведения потребителей.
Общими для всех видов САК являются процессы формирования информации об объектах контроля, классификации технических состояний их и выдачи информации о техническом состоянии.
Формирователь включает датчики, генераторы стимулов, коммутаторы и различные преобразователи. Он выдает первичную измерительную информацию техническом состоянии объекта контроля, осуществляя все необходимые преобразования контролируемых параметров Xi в унифицированные сигналы Yi.
Классификатор (уставки, компараторы, цифровые вычислительные устройства) на основе поступивших от формирователя сигналов Yi указывает на принадлежность технического состояния объекта контроля к соответствующему классу состояний.
Информатор объединяет индикаторные и регистрирующие устройства, элементы самоконтроля и поиска неисправностей в САК. На основе поступивших с формирователя и классификатора сигналов Yi и Yk он выдает итоговую информацию о техническом состоянии объекта контроля в виде сведений о значениях контролируемых параметров, их отклонениях от номинальных значений, инструкций по устранению неисправностей и т.п.
Диспетчер представляет собой управляющую часть САК и выдает управляющие сигналы Uф, Uк и Uи на все остальные части.
Управление производится на основе соответствующей программы и внутренних сигналов, поступающих с формирователя, классификатора и информатора.

































