Физические основы измерений
2 физические основы измерений
2.1 Измерительные сигналы
2.1.1 Классификация измерительных сигналов
Сигналом называется материальный носитель информации, представляющий собой некоторый физический процесс, один из параметров которого функционально связан с измеряемой физической величиной. Этот параметр называют информативным.
Измерительный сигнал (ИС) – это сигнал, содержащий количественную информацию об измеряемой физической величине.
Основные понятия, термины и определения в области измерительных сигналов устанавливает ГОСТ 16465-94 «Сигналы радиотехнические. Термины и определения». В этом документе проводится классификация ИС по различным признакам.
Измерительный радиотехнический сигнал – это напряжение или ток, изменяющиеся во времени, с заранее известными характеристиками, используемые для измерения характеристик радиотехнических цепей и их контроля. Его условное обозначение x(t), где x – напряжение или ток (информативные параметры), t – время.
По характеру изменения информативного и временного параметров ИС делятся на аналоговые, дискретные и цифровые.
Аналоговый сигнал описывает физический процесс, порождающий сигнал, развивающийся во времени таким образом, что значения сигнала можно измерять в любые моменты времени. Он описывается непрерывной или кусочно-непрерывной функцией Ya(t) (рисунок 2.1), причем как сама эта функция, так и ее аргументы могут принимать любые значения на заданные интервалах Y Î {Ymin; Ymax} и t Î {tmin; tmax}. Аналоговый сигнал представляется графиком (осциллограммой).
Рекомендуемые материалы

Рисунок 2.1 – Аналоговый сигнал.
Дискретный сигнал – это сигнал, изменяющийся дискретно во времени или по уровню. Простейшая модель дискретного сигнала – это счетное множество точек {ti} (i = 1, 2, 3, …) на оси времени, в каждой из которых определено отсчетное значение сигнала Yдi(t) (рисунок 2.2).

Рисунок 2.2 – Сигнал, дискретизированный во времени.
Величина D = ti+1 – ti называется шагом дискретизации, который, как правило, постоянен для каждого сигнала.
У сигнала, изменяющегося дискретно по уровню, значения Yд(t) существуют в любой момент времени t Î {tmin; tmax}, однако они могут принимать ограниченный ряд значений hi = nq, кратных кванту q.
Преимуществом дискретизации по времени перед дискретизацией по уровню состоит в отсутствие необходимости воспроизводить сигнал непрерывно во все моменты времени, что позволяет по одной и той же линии передавать сообщения от разных источников различным потребителям, организуя многоканальную связь с разделением каналов по времени.
Цифровым сигналом называется квантованный по уровню т дискретный по времени сигнал Yц(t), который описывается функцией, принимающей в дискретные моменты времени nT лишь конечный ряд значений – уровней квантования h1, h2, …, hn.
Отсчетные значения таких сигналов представлены в виде чисел в двоичной системе с ограниченным и, как правило, не слишком большим числом разрядов.
В сущности, любой дискретный или цифровой сигнал является сигналом аналоговым. Так, медленно изменяющемуся во времени аналоговому сигналу Ya(t) можно сопоставить его дискретный образ, имеющий вид последовательности прямоугольных видеоимпульсов одинаковой длительности; высота этих импульсов пропорциональна значению S(t) в отсчетных точках (а). Такой процесс превращения аналогового сигнала в дискретный называется дискретизацией по уровню (рисунок 2.3а). Дискретизация при изменении длительности отсчетных импульсов, при которой сохраняется высота отсчетных импульсов, но изменяется их длительность в соответствии с текущими отсчетными значениями, называется дискретизацией по времени (рисунок 2.3б).

Рисунок 2.3
По характеру изменения во времени сигналы делятся на постоянные, значение которых с течением времени не изменяется, и переменные, значения которых меняются с течением времени.
Переменные сигналы могут быть непрерывными во времени и импульсными.
Непрерывным называется сигнал, параметры которого изменяются непрерывно.
Импульсный сигнал – детерминированный сигнал конечной энергии, существенно отличный от нуля в течение ограниченного интервала времени, соизмеримого со временем завершения переходного процесса в системе, для воздействия на которую этот сигнал предназначен. Импульсные сигналы – это колебания, существующие лишь в пределах конечного отрезка времени.
Параметрами импульса являются амплитуда (А), длительность фронта (tф), длительность импульса (tи) и длительность среза (tс) (рисунок 2.4).

Рисунок 2.4
По степени наличия априорной информации сигналы делятся на детерминированные, квазидетерминированные и случайные. Этот классификационный принцип основан на возможности или невозможности точного предсказания мгновенного значения сигнала в любой момент времени.
Детерминированный сигнал – это сигнал, закон изменения которого известен, а математическая модель не содержит неизвестных параметров. Мгновенные значения детерминированного сигнала известны в каждый момент времени.
Квазидетерминированный сигнал – это сигнал с частично известным характером изменения во времени, то есть с одним или несколькими неизвестными параметрами. Подавляющее большинство измерительных сигналов являются квазидетерминированными.
Детерминированные и квазидетерминированные сигналы делятся на элементарные, описываемые простейшими математическими формулами (постоянный, гармонический и т.д.), и сложные – импульсные и модулированные.
Сигналы могут быть периодическими и непериодическими.
Периодическим называется сигнал, мгновенные значения которого повторяются через постоянный промежуток времени.
Если реальные сигналы рассматривают как случайные функции времени, то говорят о случайных сигналах. В радиотехнике случайные сигналы чаще всего проявляются как помехи, однако могут нести в себе и информацию о природном объекте (например, сигнал на выходе радиотелескопа).
Помеха – сигнал, однородный с измерительным и действующий одновременно с ним.
2.1.2 Математическое описание измерительных сигналов
Для того, чтобы сделать сигналы объектами теоретического изучения и расчетов, следует указать способ их математического описания, то есть создать математическую модель.
Математическая модель сигнала представляет собой функциональную зависимость вида Y = f(X, F, B, C,…), где Y – основной информативный параметр, Х – независимый аргумент, А, В, С, … - параметры сигнала.
Математическая модель позволяет абстрагироваться от конкретной природы носителя сигнала (одна и та же модель описывает и ток, и напряжение, и э.д.с.). Функции, описывающие сигналы, могут принимать как вещественные, так и комплексные значения. Следовательно, можно говорить и вещественных и комплексных моделях сигналов.
В радиотехнике принимают следующие термины, значение смысла и аналитическое выражение которых позволяет полностью описать исследуемый процесс.
Мгновенноe значение сигнала – значение сигнала в заданный момент времени: х* = x(t*).
Максимальное значение сигнала – наибольшее мгновенное значение сигнала на протяжении заданного интервала времени: xmax = max x(t), tÎT*, где T* = t2 – t1 – заданный интервал времени.
Минимальное значение сигнала – наименьшее мгновенное значение сигнала на протяжении заданного интервала времени: xmin = min x(t), tÎT*, где T* = t2 – t1 – заданный интервал времени.
Постоянная составляющая сигнала – среднее значение сигнала:
, где Ту – интервал времени усреднения.
Переменная составляющая сигнала – разность между сигналом и его постоянной составляющей: x~(t) = x(t) -
.
Пиковое отклонение “вверх” – наибольшее мгновенное значение переменной составляющей сигнала на протяжении заданного интервала времени: хвв = max x~(t), tÎ T*.
Пиковое отклонение “вниз” – наименьшее мгновенное значение переменной составляющей сигнала на протяжении заданного интервала времени: хвн = |min x~(t)|, tÎ T*.
Размах сигнала – разность между максимальным и минимальным значениями сигнала на протяжении заданного интервала времени:
R = xmax – xmin = хвв + хвн.
Средневыпрямленное значение сигнала – среднее значение модуля сигнала:
.
Среднеквадратическое значение сигнала – корень квадратный из среднего значения квадрата сигнала:
.
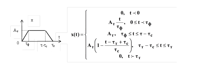
2.1.3 Аналитические и графические определения номинальных форм и параметров некоторых сигналов
1 Прямоугольный импульс:

2 Трапецеидальный импульс

3 Пилообразный импульс

4 Треугольный импульс

5 Гармонический сигнал

6 Периодическая последовательность прямоугольных импульсов.

2.2 Преобразователи и преобразование измерительной информации
2.2.1 Основные принципы и методы преобразования измерительной информации
Измерительное преобразование – это отражение размера одной физической величины размером другой физической величины, функционально с ней связанной.
В основу построения любого измерительного устройства положено применение измерительных преобразований.
Измерительный преобразователь (ИП) – техническое средство с нормативными метрологическими характеристиками, служащее для преобразования измеряемой величины в другую величину или измерительный сигнал, удобный для обработки, хранения, дальнейших преобразований, индикации или передачи. Другими словами, ИП – это техническое устройство, построенное на определенном физическом принципе или эффекте, выполняющее одно частное измерительное преобразование.
По виду входных и выходных физических величин ИП классифицируются следующим образом:
1) преобразователи неэлектрических величин в неэлектрические;
2) преобразователи неэлектрических величин в электрические;
3) преобразователи электрических величин в электрические;
4) преобразователи электрических величин в неэлектрические.
В простейшей измерительной систем присутствуют все виды ИП (рисунок 2.5).

Рисунок 2.5 – Структурная схема простейшей измерительной системы
Преобразователь – первый элемент измерительной системы – является основным источником электрического сигнала, тогда как остальная часть цепи должна обеспечить передачу, обработку и использование сигнала. Надлежащий выбор преобразователя и правильное построение измерительного канала означают, что в сигнал не вносится дополнительных погрешностей или ограничений сверх тех, которые были ему присущи изначально. Следовательно, от высокого качества преобразователя в первую очередь зависят как более или менее точное соответствие между истинным значением измеряемой величины и значением, полученным при измерениях, так и пределы вносимых в полученную величину погрешностей.
По месту расположения в измерительной цепи различают следующие виды преобразователей:
1) первичный ИП – ИП, на который непосредственно воздействует измеряемая физическая величина, т.е. первый преобразователь в измерительной цепи измерительного прибора (установки, системы);
2) промежуточный ИП – ИП, занимающий место в измерительной цепи после первичного ИП.
По характеру преобразования различают
1) аналоговый ИП – ИП, преобразующий одну аналоговую величину (аналоговый измерительный сигнал) в другую аналоговую величину (аналоговый измерительный сигнал);
2) аналого-цифровой ИП – ИП, предназначенный для преобразования аналогового измерительного сигнала в цифровой код;
3) цифроаналоговый ИП – ИП, предназначенный для преобразования числового кода в аналоговую величину.
Кроме того, можно определить еще
передающий ИП – ИП, предназначенный для дистанционной передачи сигнала измерительной информации, и
масштабный ИП – ИП, предназначенный для изменения размера физической величины или измерительного сигнала в заданное число раз.
2.2.2 Метрологические характеристики ИП
Полученная на выходе ИП физическая величина должна содержать всю информацию об измеряемом параметре.
Функциональная зависимость выходной величины ИП от входной, описываемая аналитическим выражением в виде таблиц или графически, называется функцией преобразования ИП.
Зная функцию преобразования и измерив значение выходного сигнала Y, можно определить значение входной величины Х. Для всех преобразователей функция преобразования в численной форме определяется экспериментально в результате градуировки.
Для описания линейной функции преобразования Y = F(X) = Y0 + SX достаточно двух параметров: начального значения выходной величины Y0 (нулевого уровня), соответствующего нулевому значению Х, и показателя наклона характеристики S = DY / DX, характеризующему чувствительность преобразователя.
Чувствительность ИП – это отношение изменения выходной величины ИП к вызывающему ее изменению входной величины.
Необходимо обеспечить постоянство чувствительности, которая должна как можно меньше зависеть от значений Х (определяя линейность функции преобразования) и частоты их изменений, от времени и от воздействия других физических величин, характеризующих не сам объект, а его окружение (так называемых влияющих величин). Тем не менее на практике оказывается, что чувствительность каждого ИП постоянна только на определенном участке функции преобразования, который ограничивается с одной стороны пределом преобразования, а с другой – порогом чувствительности.
Предел преобразования – это максимальное значение входной величины, которое еще может быть им воспринято без искажения и без повреждения преобразователя.
Порог чувствительности – это минимальное изменение значения входной величины, способное вызвать заметное изменение выходной величины ИП.
При нелинейной функции преобразования чувствительность зависит от значения входной величины.
2.2.3 Первичные измерительные преобразователи.
В данной дисциплине ограничимся рассмотрением ИП, широко применяемых в области радиотехники и электроники.
Наиболее распространены три группы первичных ИП.
1. ИП, использующие механическое перемещение для измерения какого-либо параметра электрической цепи или генерирования измерительного сигнала. Они состоят из двух частей: чувствительного элемента, преобразующего измеряемую величину в механическое перемещение, и преобразователя перемещения в электрическую величину.
2. ИП, использующие зависимость электрической величины, характеризующей чувствительный элемент, от температуры.
3. ИП, использующие изменение электрических свойств объекта измерения с изменением его неэлектрических параметров.
По виду выходной электрической величины ИП делятся на параметрические и генераторные.
Выходной величиной параметрических ИП является пассивный параметр электрической цепи – сопротивление, емкость, индуктивность или взаимная индуктивность. Применение таких ИП требует вспомогательных источников питания.
Выходной величиной генераторных преобразователей является сила тока, ЭДС или напряжение. Таким образом, они сами являются источниками электрического сигнала.
2.2.4 Параметрические ИП.
2.2.4.1 Резистивные ИП.
Принцип действия резистивных ИП основан на зависимости сопротивления постоянному току от измеряемой неэлектрической величины:
, где r - удельное сопротивление материала проводника, l – его длина, S – площадь поперечного сечения.
Первую и наиболее простейшую группу составляют контактные ИП, в которых входная неэлектрическая величина преобразуется в замкнутое или разомкнутое состояние контактов, управляющих электрической цепью. Естественной входной величиной является механическое перемещение, а выходной – сопротивление контакта. Такие ИП применяются при допусковом контроле механических и теплотехнических параметров деталей и процессов.
Основными параметрами контактных ИП можно считать сопротивление между контактами в замкнутом и разомкнутом состоянии и мощность управляющей ими цепи.
Электрический и механических износ контактных групп будут являться источниками погрешностей.
Вторая группа резистивных ИП – это реостатные ИП. Они применяются для измерения давления, уровня, массы, а также следящих системах.
Реостатный ИП представляет собой резистор переменного сопротивления (потенциометр, реостат, реохорд), подвижная щетка которого перемещается под воздействием неэлектрической величины, изменяя его выходное сопротивление.
Входной величиной является угловое или линейное перемещение движка, а выходной – изменение активного сопротивления.
К основным параметрам реостатных ИП относятся номинальное сопротивление, максимальная рассеиваемая на резистивном элементе мощность при номинальном сопротивлении, вид функциональной зависимости, чувствительность, погрешность преобразования.
Реостатные ИП включаются в основном в потенциометрические (делитель напряжения) и мостовые измерительные цепи. Питание измерительной цепи осуществляется постоянным или переменным током.
Источниками погрешностей будут температурное изменение сопротивления ИП; погрешность дискретности, обусловленная скачкообразным изменением сопротивления ИП при переходе движка с одного витка на другой; погрешность из-за гистерезиса, вызванная трением в реостатном ИП.
К третьей группе резистивных ИП относятся тензорезистивные ИП, основанных на зависимости электрического сопротивления материала проводника от механического напряжения (явление тензоэффекта).
Относительное изменение сопротивления прямо пропорционально величине деформации:
, где e - величина деформации, G = const – тензометрический коэффициент. Для большинства материалов он больше нуля, что соответствует росту сопротивления при увеличении деформации.
При измерениях тензорезистивные ИП включаются в мостовые и потенциометрические измерительные цепи.
Источником погрешности является температурная зависимость сопротивления и коэффициента деформации коэффициента линейного теплового расширения исследуемой детали, вызывающая «ползучесть» характеристики вследствие остаточных деформаций решетки и вследствие старения, а также снижение чувствительности с ростом частоты изменения измеряемой деформации.
Четвертую группу резистивных ИП составляют терморезистивные (термочувствительные) преобразователи, в которых используется зависимость сопротивления проводника (или полупроводника) от температуры:
Rt = R0(1 + at + bt2 + gt3 + … +),
где Rt – сопротивление отрезка провода при температуре t°С; R0 – его сопротивление при 0°С; a, b, g - коэффициенты температурной чувствительности сопротивления, причем a > b > g.
Входной величиной терморезистивных преобразователей является температура, а выходной – электрическое сопротивление.
Для большинства металлов сопротивление увеличивается в зависимости от температуры в основном по линейному закону, а коэффициенты b и g являются коэффициентами более высокого порядка, которые малы, и ими можно пренебречь. Тогда функция преобразования становится линейной:
Rt = R0(1 + at).
Но такая зависимость справедлива лишь для небольшого частотного диапазона.
В чистых металлах кристаллическая решетка не имеет примесей или искажений, и следовательно, a > 0. Сопротивление электрическому току обусловлено взаимодействием свободных электронов проводимости с колеблющимися атомами кристаллической решетки, что приводит к росту сопротивления с ростом температуры (температурный коэффициент сопротивления (ТКС) положителен).
В полупроводниковых материалах этот эффект скрыт более сильным эффектом: число свободных носителей заряда зависит от абсолютной температуры. Чем выше температура, тем больше электронов из валентной зоны преодолевает запрещенную зону и попадает в зону проводимости (в случае чистых полупроводников) или возрастает количество активированных донорных или акцепторных атомов (в случае примесных полупроводников). Число свободных носителей заряда увеличивается согласно соотношению
, где
Eg – энергия, необходимая для преодоления запрещенной зоны;
k – постоянная Больцмана.
Следовательно, сопротивление полупроводника уменьшается с повышением температуры, в температурный коэффициент сопротивления (ТКС) отрицателен.
ТКС терморезистивных преобразователей определяется по формуле
, где R0 – сопротивление при начальной температуре (обычно это ноль или температур нормальных условий), Dt может выражаться либо в °С, либо в Кельвинах.
Зависимость ТКС от температуры может быть линейной, квадратичной или более сложной, но ТКС может и не зависеть от температуры.
Металлические терморезистивные преобразователи получили название терморезисторов, а полупроводниковые – термисторов.
Материалы для терморезистивных ИП должны иметь высокостабильный и большой ТКС, линейную зависимость сопротивления от температуры, хорошую воспроизводимость свойств и инертность к воздействию окружающей среды. К таким материалам относятся медь, платина, вольфрам, никель, полупроводники на основе окислов переходных металлов (титана, кобальта, никеля), титанат натрия, двуокись ванадия и т.п.
Терморезистивные ИП применяются для измерения температуры, скорости потоков, плотности, состава, теплопроводности газов и жидкостей, вакуума.
Источниками погрешностей являются
- нестабильность во времени начального сопротивления и температурного коэффициента сопротивления;
- сопротивление проводов, соединяющих ИП с измерительным устройством;
- нелинейность функции преобразования;
- тепловая инерционность;
- нагрев ИП измерительным током.
К пятой группе резистивных преобразователей относятся фоторезистивные ИП. Принцип их действия основан на явлении внутреннего фотоэффекта, т.е. освобождения электрических зарядов в материале преобразователя под действием света и обусловленное этим увеличение проводимости (соответственно уменьшение электрического сопротивления). Этот эффект присущ только полупроводниковым материалам, таким, как сернистый свинец, селенид кадмия, монокристаллический сернистый кадмий. Наиболее часто используется сернистый кадмий CdS, так как его чувствительность к цветовому спектру очень близка к спектральной чувствительности человеческого глаза. При этом максимальная чувствительность реализуется на длине волны порядка 0,6 мкм, а сопротивление изменяется от мегомов в условиях темноты до нескольких сотен Ом при ярком свете. Время отклика на световой импульс обычно близко к 50 мс. Функция преобразования фоторезистивного ИП представлена на рисунке 2.6.

Рисунок 2.6 – Функция преобразования фоторезистивного преобразователя.
Как видно, функция преобразования нелинейна, но ее можно линеаризовать в ограниченном диапазоне с помощью постоянного резистора, включенного параллельно фоторезистору (шунтирование фоторезистора).
Сопротивление освещенного фоторезистора зависит от температуры, однако чувствительность к температуре с ростом освещенности ослабевает.
Фоторезистивные ИП находят применение в таких исследованиях, когда не требуется прецизионных измерений, а делается оценка уровня принимаемого поля (регистрируется свет – темнота или наличие светового импульса).
При использовании фоторезистора в качестве приемника оптических сигналов сам фоторезистор и его схема преобразуют в форму электрических импульсов оптические импульсы, которые получаются, когда световой поток попеременно пропускается или прерывается в ритме, несущем требуемую информацию (например, счет предметов, измерение скорости сращения диска и т.п.).
2.2.4.2 Емкостные измерительные преобразователи
Принцип действия емкостных ИП основан на зависимости емкости конденсатора от размеров и взаимного расположения его обкладок, а также от диэлектрической проницаемости среды между ними.
Зависимость емкости конденсатора от размеров его обкладок и от взаимного расположения пластин используется для измерения перемещений и величин, которые могут быть преобразованы в перемещение, а зависимость емкости от диэлектрической проницаемости среды между обкладками – для измерения уровня жидкости, влажности, толщины материалов из диэлектрика.
Конденсатор, образованный двумя параллельными пластинами, разделенными диэлектриком, имеет емкость
, где
S – площадь поперечного сечения в перекрывающемся пространстве между двумя пластинами;
d – расстояние между пластинами;
e, e0 – соответственно диэлектрическая проницаемость среды между обкладками и вакуума.
Основным принципом построения емкостных ИП является изменение расстояния между пластинами и вариация диэлектрических свойств изолятора. Соответственно этому и имеется ряд различных конструкций емкостных ИП.
1 ИП с изменяемым расстоянием между пластинами.
Если одна пластина конденсатора зафиксирована, то изменение положения подвижной пластины ведет к изменению величины емкости (рисунок 2.7).

Рисунок 2.7 – Емкостные измерительные преобразователи с переменным расстоянием между пластинами.
Если одна пластина конденсатора зафиксирована (рис. 2.7, а), то изменение положения подвижной пластины ведет к изменению величины емкости. Такой преобразователь можно применять для измерения малых приращений смещения без контакта с измеряемым объектом. На рисунке 2.7, в изображен преобразователь, с помощью которого можно измерять давление. Функция преобразования обоих преобразователей изображена на рисунке 2.7, б.
2 Емкостный ИП с переменной площадью пластин

Рисунок 2.8 – Емкостный ИП с переменной площадью пластин
Такая конструкция применяется в качестве выходного преобразователя для измерения электрических напряжений (емкостный потенциометр).
3 Емкостный ИП с изменяющимся положением диэлектрика.
Действие емкостного ИП с изменяющимся положением диэлектрика основано на изменении относительного количества двух различных диэлектриков между пластинами конденсатора (рисунок 2.9).

Рисунок 2.9 – Емкостный ИП с изменяющимся положением диэлектрика.
Такое устройство может рассматриваться как параллельное соединение двух конденсаторов. Следовательно, их общая емкость будет равна сумме емкостей двух конденсаторов, образованных диэлектриками:
.
Таким образом, емкость конденсатора зависит от смещения х и может быть использована для измерения перемещения х. Функция преобразования такого преобразователя линейна.
Разновидностью такого преобразователя является преобразователь для измерения уровня жидкости, в котором пластины конденсатора образованы двумя проводящими концентрическими цилиндрами с двумя диэлектриками между ними.
При большом числе промежуточных преобразований в приборах прямого преобразования существенно возрастает суммарная погрешность. Для ее снижения применяют дифференциальные ИП, которые имеют меньшую аддитивную погрешность, меньшую нелинейность функции преобразования и повышенную чувствительность по сравнению с аналогичными недифференциальными ИП. Особенностью таких преобразователей является наличие двух каналов преобразования и дифференциального звена, имеющего один вход и два выхода (рисунок 2.10).

Рисунок 2.10 – Структурная схема дифференциального ИП.
При изменении входной величины х относительно начального значения х0 выходные величины Y дифференциального ИП получают приращения с разными знаками относительно начального значения Y.
Дифференциальный вариант емкостного ИП представлен на рисунке 2.11.

Рисунок 2.11 – Дифференциальные емкостные преобразователи: а) – с изменяемым расстоянием между пластинами; б) – с изменяемой площадью перекрытия пластин; в) – с изменяемым положением диэлектрика. Здесь 1 – подвижные пластины, 2 – неподвижные пластины, 3 – шток.
Благодаря повышенной чувствительности дифференциальные емкостные ИП могут использоваться для измерения малых (менее 1,0 мм) перемещений.
Погрешности преобразования емкостных ИП могут вызывать колебания температуры, влияющие как на линейные размеры, так и на диэлектрическую проницаемость; паразитные реактивности; неточность изготовления, особенно электродов сложной формы.
2.2.4.3 Индуктивные измерительные преобразователи
Действие индуктивных ИП основано на зависимости индуктивности или взаимной индуктивности обмоток преобразователя от положения отдельных элементов магнитопровода, на котором они расположены и перемещение которых определяется чувствительным элементом, воспринимающим измеряемую величину. Такие преобразователи используются для измерения механических перемещений, давлений, усилий, моментов, расходов и других величин, преобразуемых в механические перемещения.

Рисунок 2.12 – Индуктивный измерительный преобразователь. Пунктиром показан путь магнитного потока.
Величина магнитного потока в последовательной цепи зависит от магнитного сопротивления элементов этой цепи. Слой воздуха между ферромагнитной пластиной и ферромагнитным сердечником также является частью цепи. Величина зазора изменяется с перемещением пластины относительно магнитопровода. Следовательно, изменяется магнитный поток в цепи, а с ним и индуктивность катушки на сердечнике. Таким образом, величину перемещения можно определить по изменению индуктивности катушки.
Общее магнитное сопротивление А последовательной цепи равно сумме магнитных сопротивлений сердечника, пластины и воздушных зазоров. Если зазор равен нулю (d = 0), а магнитное сопротивление сердечника и пластины в сумме равно A0, то общее магнитное сопротивление цепи можно найти по формуле
, где
m0 – магнитная проницаемость вакуума;
S – площадь поперечного сечения зазора.
Учитывая, что индуктивность катушки L = N2 / A, и обозначив отношение
через k = const, получим функцию преобразования индуктивного ИП:
, где
L0 – индуктивность катушки в случае, когда величина зазора d равна нулю. Как видно из уравнения, функция преобразования нелинейна.
Индуктивные ИП можно также конструировать как дифференциальные. Здесь, так же, как и с случае емкостных ИП, имеется три возможности построения: с переменной величиной зазора магнитопровода, с переменной площадью зазора магнитопровода и с переменной магнитной проницаемостью зазора. Все эти меры позволяют увеличить чувствительность преобразователя.
Действие взаимоиндуктивных (трансформаторных) ИП основано на изменении взаимной индуктивности катушек под действием механических перемещений. При этом может перемещаться как сердечник или его часть, так и одна из катушек индуктивности.
Взаимоиндуктивный ИП, предназначенный для измерения линейных перемещений, состоит из двух обмоток с разным количеством витков. Одна обмотка питается от источника переменного тока, и ЭДС, наведенная во второй обмотке, является функцией зазора d.
Для измерения угловых перемещений вторую обмотку выполняют в виде цилиндра, который может вращаться в кольцевом зазоре, образованном магнитопроводом и магнитным сердечником. Такой ИП позволяет измерять большие угловые перемещения.
Источником погрешностей индуктивных и взаимоиндуктивных ИП будет температурная зависимость активной составляющей сопротивления.
2.2.5 Генераторные измерительные преобразователи
Выходной величиной генераторных ИП является сила тока либо напряжение.
Генераторные ИП применяются для
- преобразования магнитных величин в свободном пространстве и в магнитных материалах;
- определения характеристик магнитных материалов;
- неразрушающего контроля качества материалов методами магнитного, структурного анализа и магнитной дефектоскопии;
- исследования электромагнитных механизмов приборов и устройств и их отдельных узлов;
- физических исследований атомов и элементарных частиц;
- исследования магнитного поля Земли, космического пространства, планет;
- геологических исследований земной коры;
- медицинских исследований.
Для преобразования магнитных величин в электрические используются различные проявления магнитного поля: электрическое, механическое, оптическое и др.
2.2.5.1 Индукционные магнитоизмерительные преобразователи
Действие индукционных магнитоизмерительных преобразователей основано на явлении электромагнитной индукции. Измерительная катушка является ИП, посредством которого магнитные величины могут быть преобразованы в ЭДС.
При изменении магнитного потока Ф в катушке возникает ЭДС:
, где
wк – количество витков в катушке;
Y = wкF - потокосцепление магнитного поля с измерительной катушкой.
Если магнитное поле однородно в переделах катушки и ориентировано вдоль оси катушки, то
, где
Sк – площадь каждого из витков;
m - магнитная проницаемость среды;
Н – напряженность магнитного поля.
Если ось катушки составляет с вектором напряженности угол a, то
.
Следовательно, можно выделить три разновидности магнитоизмерительных преобразователей в виде индукционных катушек:
- преобразователи, у которых изменение магнитного потока Ф осуществляется за счет изменения напряженности магнитного поля Н;
- преобразователи, у которых изменение магнитного потока Ф осуществляется за счет изменения Cos a;
- преобразователи, у которых изменение магнитного потока Ф осуществляется за счет изменения магнитной проницаемости m среды, в которой действует магнитное поле.
Последний тип преобразователей получил название ферроиндукционных измерительных преобразователей.
Размеры, форма и конструкция катушек определяются назначением. При измерениях в воздушных средах применяются цилиндрические или плоские прямоугольного сечения катушки, размеры которых тем меньше, чем больше неоднородность поля. Для измерения напряженности магнитного поля у поверхности постоянных магнитов и намагниченных тел применяются миниатюрные плоские катушки прямоугольного сечения, а у поверхности листовых ферромагнитных материалов – длинные плоские катушки, выполненные на очень тонком (узком) каркасе. При измерениях внутри магнитных материалов катушки наматываются непосредственно на образец. При измерениях в переменных магнитных полях применяются неподвижные катушки.
2.2.5.2 Сверхпроводниковые преобразователи.
Сверхпроводниковые преобразователи применяются для преобразования параметров постоянных и переменных полей в электрический ток или напряжение, частота которого пропорциональна изменению измеряемой магнитной величины (магнитного потока или магнитной индукции).
В основу действия сверхпроводниковых преобразователей положены два эффекта, имеющие место в сверхпроводящих материалах при низких температурах. Первый – это явление квантования магнитного потока, заключающееся в том, что магнитный поток, пересекающий сверхпроводящее кольцо, может принимать значения, кратные кванту магнитного потока
, где h – постоянная Планка, е – заряд электрона. Второй эффект- это эффект Джозефсона, имеющий место в переходе «сверхпроводник – диэлектрик – сверхпроводник»: в сверхпроводящем состоянии через переход протекает ток без падения напряжения на диэлектрике. Если ток превысит некоторое критическое значение Iк, то на переходе возникнет падение напряжения и в переходе потечет ток с частотой
.
Сверхпроводниковый ИП представляет собой сверхпроводящее кольцо с одним или двумя джозефсоновскими переходами. Такая конструкция получила название сверхпроводящего квантового интерферометра (СКВИД). Он преобразует изменения магнитного потока или магнитной индукции в количество периодических изменений напряжения, снимаемого с преобразователя. Структурная схема прибора для измерения магнитного потока представлена на Рисунке 2.13.

Рисунок 2.13 – Структурная схема тесламетра на основе сверхпроводящего преобразователя.
2.2.5.3 Измерительные преобразователи Холла.
Действие измерительных преобразователей Холла основано на эффекте возникновения поперечной разности потенциалов (так называемой ЭДС Холла) на боковых гранях полупроводниковой пластины при помещении ее в поперечное магнитное поле и пропускании через нее электрического тока в продольном направлении (Рисунок 2.14).

Рисунок 2.14 – Преобразователь Холла.
ЭДС Холла можно определить из следующего выражения:
EХолла = RХолла×j(кгеом, Q)×I×B×Cos(a/d), где
RХолла – постоянная Холла, зависящая от свойств материала преобразователя;
j(кгеом, Q) – величина, зависящая от геометрии преобразователя и так называемого угла Холла a между векторами плотности тока и напряженности вызывающего его электрического поля;
d – толщина пластинки.
2.2.5.4 Преобразователи Гаусса.
В основу принципа работы преобразователей Гаусса положен эффект изменения внутреннего сопротивления некоторых материалов в магнитном поле вследствие изменения подвижности носителей заряда. Под действием магнитного поля траектории носителей искривляются, вследствие чего скорость их движения в направлении электрического поля уменьшается.
Такие преобразователи используются в приборах для измерения магнитной индукции в постоянных и переменных магнитных полях (особенно в сильных).
2.2.5.5 Пьезоэлектрические преобразователи.
В пьезоэлектрических ИП используется так называемый прямой и обратный пьезоэлектрический эффект.
При прямом пьезоэффекте под воздействием механических напряжений на поверхностях кристаллов возникает электрический заряд, прямо пропорциональный приложенной силе:
q = C×F, где
F – сила;
С – чувствительность преобразователя.
К пьезоэлектрикам можно отнести такие материалы, как кварц, сегнетова соль, турмалин, пьезоэлектрическая керамика (цирконат и титанат свинца).
При обратном пьезоэффекте разность потенциалов, приложенная к поверхностям кристалла, вызывает его деформацию. Если при этом использовать переменный ток высокой частоты, то кристалл будет создавать высокочастотные механические колебания, и таким образом мы получим ультразвуковой генератор.
2.2.5.6 Термоэлектрические преобразователи
Действие термоэлектрических преобразователей основано на термоэлектрическом эффекте в цепи термопары (явлении Зеебека). Если в месте соединения двух разнородных проводников (термопары) изменилась температура, то между свободными концами термопары возникает ЭДС, определяемая следующим выражением:
Е = a1Е + a2Т2 + a3Т3 + …, a1 > a2 > a3.
Величина ЭДС зависит от типа двух металлов и температур места соединения. Обычно одно соединение поддерживается при температуре 0°С.
Функцию преобразования термопары определяют в результате градуировки. Для большинства термопар функция преобразования имеет вид, представленный на рисунке 2.15.

Рисунок 2.15 – Функция преобразования термопары.
В большинстве случаев применяются следующие типы термопар: хромель – константан, железо - константан, хромель – алюмель, платина – (родий+платина), платина – палладий и др.источниками погрешностей являются несоответствие температур свободного спая термопары температуре, при которой проводилась градуировка; изменение сопротивления термопары вследствие изменения измеряемой температуры.
2.2.5.7 Фотоэлектрические преобразователи
Действие фотоэлектрических преобразователей основано на преобразовании информации, содержащейся в видимом свете или излечении соседних длин волн – ультрафиолетовом и инфракрасном – в электрические сигналы.
Можно выделить три типа преобразователей:
- преобразователи с внешним фотоэффектом;
- преобразователи с внутренним фотоэффектом;
- фотогальванические преобразователи.
К преобразователям с внешним фотоэффектом относятся вакуумные и газонаполненные фотоэлементы и фотоумножители.
Вакуумные фотоэлементы представляют собой стеклянную колбу со встроенными анодом и фотокатодом, из которой откачан воздух. При освещении фотокатода под влиянием фотонов света происходит эмиссия электронов. Если между анодом и фотокатодом приложено электрическое напряжение, то возникает электрический ток (фототок). Величина фототока определяется интенсивностью света, падающего на фотокатод. Материалы фотокатода (двойные щелочи на основе калия и цезия, натрия и калия) определяют чувствительность прибора и длины волн, на которые он реагирует (от 200 до 700 нм).
Газонаполненные фотоэлементы заполнены инертными газами (неоном, аргоном, криптоном, ксеноном). Благодаря ионизации газа происходит усиление тока фотоэмиссии и, как следствие, увеличение чувствительности (до 100 – 250 мкА / лм). Чувствительность сильно зависит от напряжения питания, следовательно, напряжение питания должно стабилизироваться и не превышать значений й00 – 240 В, так как при больших напряжениях начинается область самостоятельного разряда.
В газонаполненных фотоэлементах максимальная амплитуда фототока достигается лишь через некоторое время после начала освещения (по мере развития газового разряда), следовательно, их возможно применять на частотах, не превышающих нескольких сотен герц.
Фотоэлектронные умножители (ФЭУ) представляют собой вакуумный фотоэлемент, снабженный системой электродов для усиления тока фотоэмиссии за счет использования вторичной фотоэмиссии. Коэффициент усиления может достигать 100000. Используются для определения очень низких уровней освещенности.
Фотогальванические ИП – это фотоэлектронные приборы с p-n-переходом: фотодиоды и фототранзисторы.
Фотодиод представляет собой обычный диод в корпусе, в котором имеется окошко, позволяющее свету попадать в полупроводниковое соединение. Схема включения фотодиода в электрическую цепь представлена на Рисунке 2.16.
Бесплатная лекция: "1.3 Ключевые понятия курса" также доступна.

Рисунок 2.16 – Схема включения фотодиода в электрическую цепь.
Ток, протекающий через фотодиод, прямо пропорционален интенсивности света. Выходной сигнал снимается в виде разности потенциалов на резисторе, включенном последовательно с диодом.
2.2.5.8 Гальванические преобразователи
Действие гальванических ИП основано на зависимости потенциала электрода от концентрации ионов в растворе. Преобразователь состоит из двух полуэлементов, заполненных электролитом и соединенных с помощью гальванического ключа, представляющего собой трубку с KCl, закрытую с двух сторон полупроницаемыми пробками.. Один полуэлемент заполнен электролитом с известной концентрацией, а другой – электролитом, концентрация которого измеряется. Металлические электроды, погруженные в раствор электролита, частично в нем растворяются, и положительные ионы металла переходят в раствор, а электрод получает положительный заряд. При равновесии электрический потенциал электрода зависит от концентрации ионов в растворе и может служить для определения их концентрации. ЭДС на выходе преобразователя определяется неизвестной концентрацией.
Гальванические ИП применяются в химической, нефтяной, пищевой промышленности при измерении концентраций ионов в растворах, газах, при измерении влажности.





















