Химическое строение физическая структура и свойства текстильных волокон
Химическое строение физическая структура и свойства текстильных волокон
ВОЛОКНА — частицы вещества, для которых характерны гибкость, тонина и значительное превышение длины над толщиной. Это определение носит общий характер. К этому следует добавить требование практического характера: устойчивость к механическим воздействиям, температуре, химическим и атмосферным воздействиям. Это для волокон бытового назначения. А для спецволокон добавляется многое другое (сверхвысокая механическая прочность, термо-, био-, хемо- и т. д. стойкость).
То, что эти свойства проявляются на всем протяжении длины волокна — феномен, обусловленный тем, что основой структуры волокон являются длинные полимерные макромолекулы, ориентированные вдоль волокна, организующиеся в кристаллические или квазикристаллические образования, между которыми имеются нарушения кристаллического порядка (аморфные области). Все это в совокупности (длинные макромолекулы, сочетание аморфных и кристаллических участков) и определяет уникальное сочетание свойств волокон: гибкость, растяжимость, прочность. Доступность для диффузии и др.
Почему в справочнике мы даем специальный раздел, посвященный волокнам? Строение и свойства волокон определяют не только их поведение на стадии их производства в многочисленных и разнообразных по воздействию (температура, рН среды и т.д.) процессах прядения, ткачества, отделочного производства, но и у потребителя изделий из текстильных волокон. Специалисты текстильщики и смежных отраслей, сертификаторы, стандартизаторы обязаны знать как свои пять пальцев все текстильные волокна и, прежде всего, их химические, физико-химические, физико-механические свойства. А знать это, без четкого представления о химическом строении волокнообразующих полимеров и волокон просто невозможно, потому что эти свойства являются производными от их строения. Таков универсальный закон физики, химии, наконец, философии: «Свойства — функция структуры». Грамотный специалист, зная структуру (под структурой будем понимать физику и химию волокна), вполне может вывести из нее, предсказать, предположить свойства волокна, а, следовательно, и поведение текстильного материала в разнообразных технологических процессах и условиях эксплуатации, а следовательно выбирать и рекомендовать оптимальные (рациональные) области применения материала. В противном случае незнание специалиста, как это часто мы наблюдаем в жизни, приводит не только к его конфузу, но и значительному материальному ущербу, наносимому производству и потребителю, и производителю.
КОНЪЮНКТУРА ПРОИЗВОДСТВА И ПОТРЕБЛЕНИЯ ВОЛОКОН
Последние 50 лет, прошедшие после второй Мировой войны, характеризуются постоянным ростом производства химических и, прежде всего, синтетических волокон, из которых самыми динамично развивающимися являются полиэфирные волокна.
Рекомендуемые материалы
В таблицах 1—4 ( cм. Приложение 1) показана динамика мирового производства (потребления) волокон.
Из этих данных можно сделать следующие выводы:
— синтетические волокна приблизились по производству к хлопку (44% и 45%);
— целлюлозные волокна (хлопок + гидратцеллюлозные) пока доминируют (-50%) на текстильном рынке;
— полиэфирные волокна занимают второе место (27%) после хлопка;
— весомое место занимают синтетические полиамидные волокна (9%);
— динамично развивается производство полипропиленовых волокон;
— динамично развивается производство эластомерных волокон типа Лайкра на основе полиуретана.
Произошли существенные изменения в географии производства волокон и изделий из них. Так, Китай и Гонконг занимают первые два места по экспорту одежды, опережая Германию и США.
Особое место на рынке текстиля занимают микроволокна — новое поколение ультратонких волокон, используемых при производстве колготок, спортивной одежды, модных трикотажных женских костюмов.
Важной тенденцией в ассортименте ТМ является все больший рост производства смешанных тканей и прежде всего смесей природных (хлопок, шерсть) и синтетических полиэфирных волокон.
ОСНОВНЫЕ СВОЙСТВА ВОЛОКНООБРАЗУЮЩИХ ПОЛИМЕРОВ
Обобщенная схема классификации волокнообразующих полимеров (ВОП) Само слово волокнообразующие полимеры (так же как пленкообразующие) предполагает, что эти полимеры должны обладать определенными свойствами, позволяющими производить (природе* или человеку) из них волокна.
Природа, в которой все целесообразно, создавая такие растения как хлопок, лен, джут и другие, таких животных как овца и кошка, насекомых как червяк и паук, не предполагала, что человек использует их для производства волокон. Они для этого не предназначены, но оказались пригодными. Разобравшись в строении этих природных полимеров, выделив в них характерные черты в строении, человек стал по их образу и подобию (насколько это возможно) копировать неповторимую, нерукотворную природу, создавать или отбирать из существующих полимеров пригодные для производства волокон. Появился, сформировался класс волокнообразующих полимеров. На сегодняшний день эту большую группу полимеров, которая в последние годы практически перестала пополняться, составляют следующие: целлюлоза и ее производные (ацетилцеллюлоза), белки, полиамиды, полиэфиры, полиуретаны, модифицированные полиакрилонитрилы, поливиниловый спирт, полипропилен, хлорированные поливинилы.
По классификации, используемой в полимерной химии, все волокнообразующие полимеры (ВОП) по происхождению можно разделить на природные и химические (искусственные и синтетические), по строению главных цепей макромолекул на карбоцепные и гетероцепные, по строению молекул на линейные, разветвленные и сетчатые. Ниже приведена обобщающая схема классификации волокнообразующих полимеров и волокон (схема 1).























































Схема 1
ПАН* - полиакрилонитрильные;
ПВС* - поливинилспиртовые;
ПВХ* - поливинилхлоридные,
поливинилиденхлоридные;
ПП* - полипропиленовые;
ПТФЭ* - политетерафторэтиленовые.
Несмотря на существенные различия в химическом строений и в физической структуре ВОП имеются общие свойства и требования к ним, которые выделяют их из всего многообразия полимерных природных и химических — человеком произведенных, рукотворных (man made) материалов.
Эти общие требования диктуются теми свойствами, которые волокна должны проявлять у потребителя (все волокна природные и химические) или ВОП в технологии их производства (химические):
— Для химических волокон, получаемых из расплава или из раствора (сухой или мокрый способ), обязательным требованием к ВОП является способность расплавляться или растворяться без заметной деструкции, а также проявлять высокую способность к волокнообразованию.
— Линейное строение макромолекул, желательно без объемных боковых заместителей и длинных разветвлений. Это требование не категоричное, оно диктуется больше условиями производства волокон. Перерабатывать сшитые (сетчатые) полимеры (мало или нерастворимые и нетермопластичные) в волокна затруднительно, в какой-то мере это относится и к разветвленным полимерам. Однако редкосшитые полимеры среди ВОП встречаются. Это кератин шерсти, который природа пока неподражаемо создала и нам его остается только использовать в готовом виде. Сшивкой (ПВС-волокна) и прививкой широко пользуются для улучшения потребительских свойств уже готовых химических и природных волокон.
ОСНОВНЫЕ СВЕДЕНИЯ О ТЕКСТИЛЬНЫХ ВОЛОКНАХ И ТКАНЯХ
Текстильные волокна относятся к классу высокомолекулярных соединений. Они обладают прочностью, гибкостью, упругостью и используются для изготовления тканей и других текстильных изделий.
По происхождению и химическому составу различают главным образом следующие волокна:
натуральные — растительного (хлопок, лен, пенька, джут) и животного (натуральный шелк, шерсть) происхождения;
химические — искусственные, получаемые главным образом из целлюлозы (вискозные, медно-аммиачные и ацетатные), и синтетические, получаемые из хлорвиниловой, поливиниловой, полиамидной, полиакриловой, полиэфирной смол (капрон, анид, нитрон, хлорин, лавсан и др.).
Текстильные волокна состоят из гибких вытянутых больших молекул, называемых макромолекулами. Для этих соединений характерен весьма значительный молекулярный вес (например, для хлопка 1 620 000—2 430 000, для льна 5 832 000, для вискозного волокна 50000—100000 и т. д.). Макромолекулы построены из многократно повторяющихся элементарных звеньев, связанных между собою силами главных валентностей; отсюда и название высокомолекулярных соединений — высокополимерные, или просто полимеры.
Количество элементарных звеньев, которые составляют макромолекулу, называется коэффициентом полимеризации. Так, у целлюлозы хлопка (C6H10O5)n коэффициент полимеризации п равен 10000—15000, у капрона [—HN(CH2)5CO]n он составляет 100—200. От величины п зависит длина макромолекул. Естественно, чем больше коэффициент полимеризации, тем длиннее молекула волокна и, что очень важно, тем оно прочнее, поскольку увеличиваются силы межмолекулярного взаимодействия.
Волокнистые материалы отличаются не только величине своих макромолекул, но и структурой, формой и степенью ориентации.
Структура может быть линейной, сетчатой и разветвленной Макромолекулы линейной структуры состоят из элементарных звеньев, каждое из которых связано с двумя сосед ними, образуя силы главных валентностей:

(здесь А — элементарное звено; например, у целлюлозы это С6Н10О5). Из линейных макромолекул построены некоторые натуральные волокна ( хлопок, лен, джут, пенька), искусственные (вискозные, медно-аммиачные, синтетические (капрон, найлон, лавсан и др.). Сетчачая структура характеризуется тем, что линейные цепи связаны поперечными химическими связями:

Представителем сетчатой макромолекулы является волокно шерсти — кератин разветвленную структуру имеют соединения соединения, часть звеньев которых связан более чем с двумя соединениями соединениями:

Форма макромолекул оказывае влияние на физико-механические свойства волокон. Различают несколько форм волокон: вытянутую,изогнутую, извитую и разветвленную (рис. 1). В частности, вытянутая форма характерна для целлюлозы хлопка и других волокон растительного происхождения. В этом случае волокно приобретает большую механическую прочность, так как четче проявляются межмолекулярные связи. Извитую форму имеют макромолекулы кератина шерсти.
Степень ориентации макромолекулы в волокне, т.е. расположение их относительно продольной оси волокна, влияет на прочность последнего. Различают ориентированную, неориентированную и высокоориентированную структуры (рис. 2).
|
Рис. 1. Схематическое форм макромолекул: а - вытянутая; б – изогнутая; в - извитая, г – разветвленная. |
Рис. 2. Схема волокон с макромолекулами изображение возможных разной степени ориентации: а -неориентированными; б - ориентированными, в – высокоориентированными. |
Неориентированная структура макромолекул характеризуются чается тем, что они в волокне расположены хаотично. Волокна с такой структурой обладают малой прочностью. Ориентированное расположение отличается тем, что большая их часть ориентирована относительно продольной оси волокна, а меньшая расположена беспорядочно. В этом случае волокна обладают большей прочностью. Наконец, высокоориентированная структура характеризуется высокой степенью ориентации макромолекул, что обеспечивает наибольшую прочность волокна.
![]() |
Рис. 3. Расположение молекулярных цепей целлюлозы в волокне хлопка
На основании ряда исследований, в том числе посредством рентгеноскопического метода, установлено,что в структуре целлюлозных волокон можно отметить кристаллические и аморфные области (рис. 3). В кристаллической области макромолекулы имеют относительно высокую степень ориентации, чего, нельзя сказать о макромолекулах аморфной области.
ХЛОПКОВОЕ ВОЛОКНО
![]() | ![]() |
Хлопок представляет собой волокно, получаемое из семенных коробочек хлопчатника. Хлопчатник является культурным растением, которое произрастает в районах с жарким климатом. В СССР к таким районам хлопководства относятся Средняя Азия и Закавказье. Кроме СССР, хлопок разводят в Индии, ОАР, Болгарии, США и некоторых других странах.
Хлопковое волокно имеет форму плоской ленточки, закрученной штопорообразно (рис. 4). В нем различают первичную и вторичную стенки (рис. 5), которые расположены концентрически относительно его оси. Внутри волокна имеется канал.
Первичная стенка — это тонкая внешняя оболочка волокна, она содержит наибольшее количество природных примесей (пектиновых, воскообразных и др.) Вторичная стенка является основой волокна и состоит главным образом из целлюлозы. В канале, в виде остатков протоплазмы. находятся азотистые вещества.
Химический состав волокна следующий (%)
Целлюлоза . . 94,5—96,0
Воскообразные вещества 0,5—0,6
Пектиновые вещества 1,0—1,2
Азотистые вещества (в пересчете на белки) 1,0—1,2
Минеральные вещества 1,14
Другие вещества 1,32
В волокне имеются также следы естественного красителя. Указанный состав может меняться в зависимости от климатических условий (температуры, влажности, плодородия почвы) и проводимой агротехники.
Качество волокна определяется его длиной, тониной, прочностью и степенью зрелости. Длина, в зависимости от сорта, колеблется в пределах от 12 до 50 мм, тонина—от 15 до 24 мкм, а прочность при разрыве равна 4—5 Г. Удлинение при разрыве в среднем составляет 8%. Удельный вес— 1,52.
Волокно гигроскопично; в условиях обычной относительной влажности воздуха оно содержит 6—8% влаги.
Под действием медно-аммиачного раствора Сu(NН
)
(ОН)
волокно быстро набухает и приобретает бусовидную форму. При дальнейшем действии этого реактива волокно полностью растворяется.
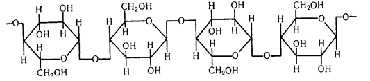
Строение целлюлозы. Основным веществом хлопка, как и других растительных волокон, является, таким образом, целлюлоза. Она придает волокну прочность, упругость, гибкость и другие ценные свойства, необходимые для получения из него пряжи, тканей и т.п.
Целлюлоза относится к высокомолекулярным соединениям и принадлежит к классу углеводов. Эмпирическая ее формула (С
Н
0
)
.
![]() |
Элементарное звено целлюлозы — С
Н
О
— содержит три активных гидроксильных группы: Звенья соединены между собой глюкозидной связью через кислородный мостик, в результате чего образуется цепь главных валентностей макромолекулы. Наличие гидроксильных групп придает целлюлозе способность образовывать простые и сложные эфиры, а со щелочами — алкоголяты и другие соединения. Разрушение (деструкция) волокна происходит в результате разрыва глюкозидных связей.
![]() |
Молекула целлюлозы имеет следующую линейную структуру
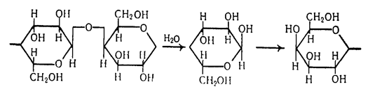
Отношение целлюлозы к кислотам. Под действием минеральных кислот, в зависимости от условий обработки (концентрации и температуры), может происходить в большей или меньшей степени разрушение целлюлозы с образованием так называемой гидроцеллюлозы. Последняя представляет собой химически неоднородное вещество, состоящее из целлюлозы и продуктов ее деструкции. При образовании гидроцеллюлозы разрываются глюкозидные связи, что вызывает укорачивание цепей:

Полный гидролиз целлюлозы приводит к получению
-глюкозы.
Образование гидроцеллюлозы снижает прочность ткани. Гидроцеллюлоза характеризуется повышенной растворимостью в щелочах и обладает восстановительными свойствами благодаря образованию альдегидных групп по месту разрыва глюкозидной связи.
При обработке слабым раствором минеральной кислоты (2—6 г/л) с последующей промывкой целлюлоза не изменяет своих первоначальных свойств.
Отношение целлюлозы к щелочам. Целлюлоза устойчива к действию разбавленных растворов щелочей. При обработке раствором едкого натра, концентрация которого 10—25 г/л,целлюлоза практически не изменяется. В присутствии кислорода воздуха при повышенной температуре (120—140° С) обработка разбавленным раствором щелочи может привести к окислению целлюлозы.
В случае кратковременного действия концентрированного раствора едкого натра (240—280 г/л) и при температуре 25 °С целлюлоза волокна быстро набухает, приобретает блеск, повышается ее реакционная способность. При этом происходят химические процессы с образованием C
H
O
• NaOH и соединения типа алкоголята (C
H
О
ОNa).
Такая обработка называется мерсеризацией.
Отмытая от щелочи целлюлоза носит название гидратцеллюлозы. Химически она не отличается от исходной целлюлозы, но имеет более рыхлую структуру, благодаря чему обладает высокими адсорбционными свойствами. Последние положительно сказываются при крашении и печатании тканей.
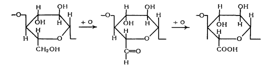
Отношение целлюлозы к окислителям и восстановителям. Целлюлоза довольно легко изменяется под действием окислителей. Например, при обработке ее раствором гипохлорита натрия (активного хлора 3—4 г/л) в условиях повышенной температуры (50—60° С) наблюдается ослабление волокна в результате образования оксицеллюлозы. Оксицеллюлоза не является однородным веществом; она состоит из целлюлозы и продуктов различных степеней ее деструкции. При окислении целлюлозы происходит окисление гидроксильных групп в альдегидные, а альдегидных — в карбоксильные; одновременно может происходить разрыв глюкозидных связей по кислородному мостику.
В кислой среде окисление протекает до образования альдегидных групп, которые окисляются до карбоксильных:

В щелочной среде происходит более быстрое окисление первичных и вторичных гидроксильных групп до карбоксильных:

Отличительными свойствами оксицеллюлозы являются ее кислый характер и способность окрашиваться основными красителями. В зависимости от условий окисления она может обладать и восстановительными свойствами (благодаря образованию альдегидных групп по месту разрыва глюкозидных связей).
Если целлюлозу обрабатывать гипохлоритом натрия малой концентрации (активного хлора 0,5—1 г/л) при температуре не выше 25° С, то целлюлоза практически мало изменяется.
При действии света целлюлоза способна окисляться кислородом воздуха с образованием оксицеллюлозы. Установлено, что прочность хлопка понижается на 50% при освещении его прямым солнечным светом в течение 940 ч.
Восстановители — сернистый натрий, гидросульфит и др. — в небольших концентрациях не изменяют первоначальных свойств целлюлозы.
Отношение целлюлозы к воде и органическим растворителям. При погружении целлюлозы в воду происходит ее смачивание и набухание. Количество поглощенной влаги зависит от предварительной подготовки ткани и температурного режима обработки.
С повышением температуры набухание волокна увеличивается. При действии острого пара может произойти деструкция целлюлозы с образованием оксицеллюлозы. В органических растворителях (бензоле, эфире, спирте) целлюлоза не растворяется.
Отношение, целлюлозы к микроорганизмам. Целлюлоза может изменять свои свойства под действием не только химических веществ, но и бактерий или плесневых грибков. В условиях длительного хранения ткани во влажной среде в результате деятельности микроорганизмов происходит гидролиз целлюлозы с образованием гидроцеллюлозы.
При биохимическом процессе целлюлоза может разлагаться до углекислого газа и воды.
Отношение целлюлозы к действию температуры. Устойчивость целлюлозы к действию температуры зависит от времени обработки. В случае кратковременной обработки ткани при температуре 100° С целлюлоза не изменяет своих свойств: из нее лишь частично удаляется гигроскопическая влага. В тех же условиях, но при продолжительной обработке волокно становится жестким, хрупким и малоэластичным. Если температуру кратковременно повысить до 125—150° С, целлюлоза также не изменит своих свойств. Но при продолжительной обработке волокна в этих условиях произойдет быстрое удаление влаги, волокно слегка пожелтеет и возникнет опасность его ослабления. Наконец, при высоких температурах (порядка 200—275°С и выще) целлюлоза разлагается.
Спутники целлюлозы. Спутниками целлюлозы называются вещества, которые образуются в процессе роста растения. К ним мы относим уже упоминавшиеся выше воскообразные, пектиновые, азотистые, минеральные и красящие вещества. По своей химической природе они являются сложными соединениями, точный их состав пока еще не установлен. Некоторые из этих веществ легко удаляются из волокна при обработке его горячей водой, для удаления других требуется более сложная обработка — отваривание и беление. Находясь в первичной стенке волокна, они препятствуют его смачиваемости, что отрицательно влияет на процесс крашения и печатания.
В состав воскообразных веществ входят высокомолекулярные одноатомные спирты жирного ряда: госсипиловый C
H
OH, монтаниловый С
Н
ОН, цериловый С
Н
ОН и карнаубиловый С
Н
ОН. Все эти спирты не растворимы в воде, щелочных кислотах и других химических веществах. Помимо перечисленных спиртов, воскообразные вещества включают свободные жирные кислоты (пальмитиновую C
H
COOH, стеариновую C
H
COOH, олеиновую С
Н
СООН и их эфиры), а также высшие твердые углеводороды — триаконтан C
H
, гентриаконтан C
H
и др.
Установлено, что в воскообразных веществах большая их часть представляет собой неомыляемые и трудно удаляемые соединения, которые можно перевести в раствор путем эмульгирования. Эфиры, содержащиеся в воскообразных веществах, легко омыляются при обработке горячим раствором щелочи до соответствующих спиртов и кислот. Жирные кислоты, как остающиеся в воскообразных веществах, так и выделившиеся в результате омыления эфиров, при взаимодействии с едким натром образуют натриевые мыла:
С
Н
СООН + NaOH — С
Н
СООNа + Н
О.
Эти мыла не только сами растворяются в воде, но и способствуют частичному эмульгированию нерастворимых высокомолекулярных спиртов и твердых углеводородов.
Находящиеся в хлопковом волокне воскообразные вещества отрицательно сказываются на ходе процессов крашения и печатания. Поэтому их удаление составляет одну из главных задач при белении.
Пектиновые вещества представляют собой сложные органические соединения, располагаемые главным образом в первичной стенке волокна. Они хорошо гидролизуются, особенно в присутствии едкого натра. Схему гидролиза можно представить в следующем виде: пектин→гидропектин→пектиновая кислота С
Н
O
. При гидролизе последней образуются галактуроновая кислота С
Н
О
, арабиноза С
Н
О
, ксилоза C
H
O
, галактоза C
H
O
, метиловый спирт СН
ОН и уксусная кислота СН
СООН. Продукты гидролиза хорошо растворимы в воде, в связи с чем удаление пектиновых веществ не вызывает больших трудностей.
Азотистые вещества имеются в канале волокна. Они являются остатками протоплазмы и относятся к классу белков. Часть азотистых веществ может быть удалена при обработке горячим раствором слабой щелочи. Большая же их часть удаляется при обработке волокна раствором гипохлорита натрия. При этом образуются хлораминовые кислоты, которые с едким натром дают натриевые соли, растворимые в воде. Образование хлораминов RNHC1 может вызвать ослабление ткани, так как при их гидролизе получается соляная кислота.
В состав всех растительных волокон входят минеральные вещества. Они находятся в волокне в виде различных солей — углекислых, сернокислых, фосфорнокислых и кремниевых, а также образуют с пектиновыми веществами соли — пектанты. Количество минеральных веществ зависит от природы волокна, почвенных и климатических условий. Значительная часть минеральных веществ растворима в воде.
Естественные красители придают волокну желто-бурую или желто-коричневую окраску. Содержание их в волокне незначительно, выделить их в чистом виде современными методами анализа невозможно. Поэтому состав и свойства этих красителей недостаточно еще изучены.
Установлено, что окраска волокна не изменяется при действии слабых растворов щелочи; краситель же разрушается в результате действия окислителей (растворов гипохлорита натрия, хлорита натрия и перекиси водорода).
Удаление естественного красителя является одной из задач процесса беления.
В зависимости от атмосферных условий, хлопковое волокно содержит гигроскопической влаги 6—8%. Эта влага придает волокну гибкость и эластичность.
ЛЬНЯНОЕ ВОЛОКНО
Лен - однолетнее растение, из стебля которого получают волокно, а затем пряжу, предназначенную для выработки разнообразных полотен, плательных, костюмных и технических тканей и плетеных кружев. Льноводство очень рас
пространено в СССР. Лен разводят в Смоленской, Калининской, Псковской, Вологодской, Кировской, Костромской, Ивановской и других областях, в Прибалтике, на Украине, в Сибири.
По строению и составу льняное волокно значительно сложнее хлопкового;
поэтому те технологические обработки, которые характерны для хлопка, здесь повторяют несколько раз (иногда даже четыре раза).
![]() |
Рис. 6. Стебель льна в разрезе
Стебель льна состоит из эпидермиса 1, паренхимы 2, лубяных пучков 3, древесины 4 и сердцевины 5 (рис. 6). Стенки волокна толстые, канал закрыт с обоих концов, что затрудняет смачиваемость.
По химическому составу лен отличается от хлопка тем, что в нем меньше целлюлозы и больше ее спутников.
Состав льняного волокна, который зависит от почвенных и климатических условий, чаще всего следующий (%):
Целлюлоза ............... 74—76
Пектиновые вещества и пентозаны . . 4,97—5
Лигнин ............. . 4,8
Воскообразные вещества ..... ... 2,7
Азотистые вещества ...... .... 1,9
Минеральные вещества ......... 1
Влага ......... ....... 8—9
Из лигнина состоит наружный защитный покров волокна. Будучи высокомолекулярным ароматическим соединением, лигнин химически связан с целлюлозой, хорошо хлорируется гипохлоритами (при этом образуется хлорлигниновая кислота, которая растворяется в щелочах).
Льняное волокно обладает большей по сравнению с хлопковым прочностью при разрыве, имеет приятный блеск, высокую гигроскопичность (12%).
ВОЛОКНА ЖИВОТНОГО ПРОИСХОЖДЕНИЯ
Натуральный шелк. Натуральный шелк представляет собой паутинообразные цилиндрической формы нити, получаемые при размотке коконов гусеницы тутового шелкопряда. Если рассматривать волокно под микроскопом, то можно обнаружить, что оно прозрачно. Относится натуральный шелк к белковым веществам; химический состав его следующий (%):
Фиброин (основное вещество) ...... 75—78
Серицин (шелковый клей) ...... 22—25
Жир и воск .............. 0,5—3,27
Минеральные вещества ...... . . 1,0—1,7
Имеются, кроме того, следы пигментов красящего вещества.
Фиброин — белковое вещество из группы альбуминоидных соединений, не содержащее серы и имеющее следующее строение:

Молекула его, как и всякого белкового вещества, сложна. Фиброин состоит из длинных нитевидных молекул, ориентированных вдоль оси волокна. В состав молекулы входят различные группы: аминокарбоксильные, пептидные. Они, чередуясь между собой, образуют макромолекулу. Наличие СООН и NH2 придает фиброину амфотерные свойства. При гидролизе фиброин распадается на гликоль, аланин и тирозин.
Серицин С15Н25N5О8 находится на поверхности фиброина и является продуктом его окисления. Именно наличием серицина на волокне объясняется жесткость последнего, его шероховатость и матовый цвет. Отличительной особенностью указанного вещества следует считать его легкую растворимость в горячей воде, слабых щелочах и растворах мыла. Для удаления серицина применяют слабые растворы мыла (соответствующий процесс называется отвариванием шелка). В результате обработки получают чистый фиброин.
При отваривании удаляются также пигмент и минеральные вещества.
Натуральный шелк очень чувствителен к действию щелочей и концентрированных кислот (происходит его ослабление, теряется блеск). .Кислоты слабой концентрации вредного действия не оказывают. Они лишь придают волокну характерный скрип.
Растворы окислителей - гипохлоритов - разрушают волокно, а перекиси его отбеливают.
При нагреве натуральный шелк устойчив.
Шерстяное волокно. Шерстяное волокно получают из шерсти, в основном — натуральной, состригаемой с живых животных (овец, коз, верблюдов).
Различают три основных вида шерсти: грубая, полугрубая и тонкая. Грубая шерсть отличается большей длиной и толщиной. Кроме того, волокно в этом случае и по длине, и по толщине неравномерно. Тонкая шерсть состоит из коротких волоконец — пуха. Полугрубая шерсть состоит из волокон как грубой, так и тонкой шерсти.
Главными свойствами шерсти, определяющими ее качество, являются тонина, длина и извитость. Чем тоньше шерсть и чем она более извита, тем ее качество выше.
В состав волокна шерсти входят основное белковое вещество — кератин и примеси в виде жира, пота, песка и влаги.
Молекула кератина представляет собой нитевидные по-липептидные цепи, которые чередуются с аминогруппами, образуя цепи главных валентностей. Характерным признаком кератина является наличие поперечных цистиновых связей (СН2—S—S—СН2). Общая формула кератина такова:

(здесь — CO—NH — является пептидной группой).
Разбавленные кислоты вступают с кератином в реакцию соединения и образуют с ним солеобразные вещества. Крепкие минеральные кислоты разрушают кератин. Концентрированная азотная кислота окрашивает волокно шерсти в желтый цвет (ксантопротеиновая реакция). Слабые и крепкие растворы щелочей в различной степени разрушают волокно. Нейтральное мыло не действует на волокно. Белильные растворы, например гипохлорит натрия и хлорная известь, хлорируют кератин; при этом последний разрушается. Перекись водорода отбеливает его. Высокие температурные обработки действуют отрицательно - волокно начинает разлагаться с выделением аммиака. При горении шерстяного волокна явственен запах жженого рога.
Под микроскопом шерстяное волокно выглядит как надетые один на другой продолговатые цилиндры. Наружный слой состоит из чешуек, которые способствуют свойлачиваемости волокон. Под чешуйками находится основной—корковый—слой. Жиропот волокна является очень ценным материалом и используется для приготовления различных помад, а также паст, используемых в косметике.
ХИМИЧЕСКИЕ ВОЛОКНА
Производство химических волокон и соответственно их применение в текстильной промышленности с каждым годом резко возрастают. Искусственные волокна, к примеру, используют для выработки креповых, гладких и ворсовых тканей, в трикотажной промышленности для изготовления одежды, чулок, носков, а штапельные в смеси с другими волокнами (хлопком, шерстью) - для изготовления платьевых, одежных, мебельных, декоративных, набивных и других тканей. Синтетические волокна — капрон, найлон, анид, хлорин и другие - применяют главным образом при выработке трикотажных изделий (чулок, трикотажного белья, перчаток, кружев), а также технических материалов (фильтровальных тканей, приводных ремней, пожарных рукавов и т. д.).
Искусственные волокна. Из искусственных волокон наибольшее распространение получило вискозное волокно, для которого характерны высокое качество и красивый внешний вид. Изделия из вискозного волокна обладают хорошей носкостью.
Основным сырьем для получения вискозного волокна является целлюлоза древесины, главным образом ели.
Древесину превращают в щепу и затем обрабатывают в котлах бисульфитом кальция при давлении 5 ат и температуре 140—160° С в течение 10—16 ч. В процессе этой обработки целлюлоза освобождается от спутников. Далее ее отбеливают, сушат и режут на листы, получая так называемую сульфитную целлюлозу.
Спрессованную в кипы сульфитную целлюлозу отправляют на заводы вискозного волокна. Здесь первой операцией является кондиционирование целлюлозы, т. е. выравнивание ее влажности в пределах партии. Неравномерное содержание влаги может оказать вредное влияние на ход последующих процессов. После этого целлюлозу замачивают в ваннах-прессах концентрированным (18—19%-ным) раствором едкого натра при температуре 18—20° С и в результате реакции (C6H10О5)n+NaOHn→ (С6Н10О5*NаОН)n получают щелочную целлюлозу. Одновременно происходит частичное образование алкоголята (С6Н9O4ONа)n.
Щелочную целлюлозу отжимают и измельчают в специальном аппарате - измельчителе. Далее следует процесс предсозревания - выдерживания в течение 30—40 ч при температуре 20—22° С. В это время понижается степень полимеризации целлюлозы, что' необходимо для дальнейшего формования волокна.
После предсозревания щелочную целлюлозу обрабатывают сероуглеродом. Соответствующий процесс называется ксантогенированием, а продукт—ксантогенатом. Осуществляют ксантогенирование в специальных аппаратах—ксантат-барабанах:

Из ксантат-барабанов ксантогенат целлюлозы подается в растворители для растворения его в разбавленном (6%-ном) растворе едкого натра при температуре 12—14° С. Через 4— 5 ч образуется вязкий прядильный коллоидный раствор, называемый вискозой, который и служит в дальнейшем материалом для получения вискозного волокна. Коллоидная масса проходит процесс созревания с целью достижения нужной вязкости. Далее вязкую массу подают на прядильные машины, где раствор продавливается через тонкие отверстия - фильеры; паутинообразные струйки поступают в осадительную ванну, содержащую серную кислоту и другие вещества, где происходит разложение ксантогената с образованием тончайших нитей, которые затем подвергаются промывке и высушиванию.
Реакция получения вискозного волокна из ксантогената имеет следующий вид:

Процесс формования сопровождается вытягиванием волокна; при этом происходит ориентация молекул, благодаря чему обеспечивается необходимая его прочность.
Вискозное волокно выпускается как бесконечной нитью, так и в виде штапельного волокна, превращаемого в процессе прядения в пряжу.
Характерные особенности волокна таковы:
малая длина цеоеобразных молекул целлюлозы. Степень полимеризации 400—600;
более рыхлое расположение макромолекул целлюлозы, следствием чего является более чувствительная реакция на действие различных реагентов;
повышенная гигроскопичность;
повышенная сорбционная способность, в частности к красителям;
повышенная гидрофильность (по сравнению с хлопковым волокном).
К недостаткам вискозного волокна следует отнести значительную потерю прочности волокна в мокром состоянии (40— 45%) и большую его сминаемость.
Медно-аммиачное волокно получают при обработке отваренного линтера (коротковолокнистого хлопка) или древесной целлюлозы аммиачным раствором гидроокиси меди. По химическому составу это волокно, как и вискозное, является гидратцеллюлозным.
Вырабатывают медно-аммиачное волокно в значительно меньшем объеме, чем вискозное, из-за дороговизны необходимых для его получения химических материалов
Реакция образования медно-аммиачного раствора целлюлозы имеет следующий вид:


Раствор продавливают через фильеры. Тонкие струйки его поступают в осадительную ванну, где и образуются нити:


Далее нити подвергают отделке, которая заключается в промывке,-нейтрализации, омылении и сушке. Коэффициент полимеризации медно-аммиачяых волокон 300—600, они более рыхлые и пористые, быстро набухают. Целлюлозные цепи более равномерно (по сравнению с вискозным волокном) ориентированы вдоль оси волокна, что способствует более глубокому равномерному окрашиванию различными красителями. Краме того, опять же по сравнению с вискозным волокном, у медно-аммиачного меньше потеря прочности в мокром состоянии, меньше блеск.
Химические свойства медно-аммиачного и вискозного волокон в основном аналогичны. При действии едкого натра повышенной концентрации (6—8%) происходит сильное набухание волокон, и они частично растворяются. К действию кислот эти волокна более чувствительны, чем хлопок. При обработке окислителями (гипохлоритом натрия, перекисью водорода) они не изменяют своих первоначальных свойств, если оптимальные условия обработки те же, что и для хлопкового волокна (активного хлора—1 г/л или активного кислорода—3—4 г).
Микроорганизмы вызывают ослабление волокна.
Ацетатное волокно, представляющее собой сложный эфир целлюлозы и уксусной кислоты, существенно отличается от ранее рассмотренных волокон и по способу производства, и по химическому составу, и, наконец, по свойствам.
Волокно получают из отваренного линтера путем обработки его при низкой температуре смесью уксусной кислоты, уксусного ангидрида и серной кислоты; в итоге образуется эфир триацетат:

Далее следует омыление:

Полученную ацетилцеллюлозу растворяют в ацетоне и этиловом спирте, и раствор подают на прядильную машину, где он продавливается через фильеры. Струйки подают в шахту с нагретым воздухом. Здесь растворители испаряются, образуется нить, подвергаемая затем отделке.
Ацетатное волокно малогигроскопично, хорошо растворимо в органических растворителях и едком натре, чувствительно к высоким температурам. Для окраски его применяют специальные пигментные красители.
Синтетические волокна.
Синтетические гетероцепные и карбоцепные волокна имеют круглое, реже бобовидное или профилированное сечение. У некоторых волокон структура внешних слоев отличается от структуры внутренних слоев большей плотностью, ориентацией и упорядоченностью — так называемая ориентационная рубашка. Поверхность волокон может быть гладкой, блестящей и матовой.
К группе гетероцепных синтетических волокон относятся полиамидные и полиэфирные волокна, широко использующиеся для производства товаров массового потребления и технических изделий. Полиуретановые волокна находят ограниченное применение.
Выпускающиеся полиамидные волокна и нити (капрон, найлон-6, энант, анид и др.) построены из линейных полиамидов, различающихся строением элементарных звеньев:

Во всех волокнах элементарные звенья связаны между собой амидной связью —СО—NH—. На концах макромолекул находятся амино- и карбоксильные группы. Коэффициент полимеризации макромолекул капрона составляет в среднем 150—200, а относительная молекулярная масса
15—20 тыс. Полиамидные волокна характеризуются сравнительно высокой степенью упорядоченности. Между макромолекулами возникают водородные связи (между группами >NH и >С = 0 соседних цепей) и силы Ван-дер-Ваальса.
При погружении волокон в разбавленные водные растворы кислот и щелочей они вследствие амфотерности приобретают некоторую избыточную положительную или отрицательную ионизацию. Полиамидные волокна неустойчивы к действию растворов кислот, особенно минеральных и концентрированных органических (муравьиной, уксусной). При этом происходит разрушение амидных связей по механизму кислотного гидролиза. К действию щелочей, микроорганизмов эти волокна сравнительно устойчивы. Окислители оказывают сильное деструктирующее действие.
В нормальных условиях полиамидные волокна имеют высокие прочностные показатели и отличаются очень высокой устойчивостью к истиранию, высокой эластичностью. Влагосодержание при нормальных условиях составляет 4,1—4,5 %, т. е. по гигроскопическим свойствам полиамидные волокна превосходят все синтетические волокна, кроме поливинилспиртовых.
Полиамиды являются термопластичными полимерами и плавятся без разложения (например, капроновое волокно плавится при температуре 215 °С), а из расплава может быть вновь получена нить. Они имеют невысокую светостойкость и термостойкость: при нагревании в течение определенного времени при температуре свыше 150 °С начинают желтеть и прочность их падает вследствие термоокислительной деструкции.
Свойства полиамидных волокон могут быть существенно улучшены путем структурной или химической модификации. Профилированные волокна имеют большее водопоглощение, меньший блеск, лучшую сцепляемость. Химическая модификация позволяет снизить электризуемость и повысить гигроскопические свойства.
Полиуретановые волокна
Полиуретаны — гетероцепные полимеры, содержащие уретановые группы —NH—СО—О—. Отличие полиуретанов от полиамидов состоит в наличии дополнительного кислорода между элементарными звеньями, что делает макромолекулы полиуретанов более гибкими, а это обуславливает появление новых свойств, например более низкую температуру плавления (см. табл. 7, Приложение 1).
Полиуретаны синтезируют путем поликонденсации ди- или полиизоцианатов OCNRNCO с соединениями, содержащими не менее двух гидроксильных групп.
Таким образом получают линейные Полиуретаны по схеме:
NOCH―R1―NCO + nHO―R2―OH →
→ [―OCHN―R1―NHCO―R2―O―]n
Линейные Полиуретаны подобной структуры ранее использовали для получения волокон перлон-v, но в настоящее время они, не выдержав конкуренции с полиамидами, полностью ими вытеснены.
Однако современные волокна, в основе которых лежат сшитые полиуретаны, нашли особое место в производстве текстильных материалов в качестве высокоэластичных волокон (спандекс). Эти волокна наподобие каучука, резин способны растягиваться на 600—800% без заметной потери прочности с практически мгновенным возвращением к исходному состоянию. Эти свойства позволяют использовать такие волокна в нетрадиционных для текстильных волокон областях, вместо резиновых изделий. Такие экзотические эластические свойства полиуретановых волокон достигаются специальными приемами синтеза сшитого полимера со специфической структурой. Она включает в себя гибкие блоки с молекулярной массой 500—5000, не содержащие полярные группы. Для этой цели берут низкомолекулярные или сложные алифатические полиэфиры, содержащие на концах свободные гидроксильные группы. При взаимодействии низкомолекулярных полиэфиров с диизоцианатами получают макроизоцианаты или форполимеры (предполимеры), которые в свою очередь, вступая в реакцию с диаминами, образуют полимерный эластомер с молекулярной массой от 20000 до 50000.
Полиуретановые блоки в таком полимере соединены мочевинными группами —NH—СО—NH—.
Полиуретановые эластичные волокна по своему влагопоглащению близки к полиамидам.
При температурах выше 120°С происходит значительная потеря прочности, что обусловливает оптимальную температуру (90 °С) их переработки в отделочном производстве.
Под действием света полиуретановые волокна желтеют, однако механическая прочность при этом снижается не сильно.
Полиуретановые эластичные волокна более устойчивы к гидролитической деструкции, чем полиамидные волокна. Их можно обрабатывать щелочами, органическими кислотами, хлорсодержащими и перекисными белящими агентами (окислителями).
Волокна типа спандекс выпускают в виде непрерывной нити и реже в штапельной форме. Часто эластомерная полиуретановая нить оплетается нитями из хлопка, вискозного и полиамидного волокна. Оплетка предохраняет нить спандекс от действия света. Такие нити используются в изделиях компрессионного типа: эластичные бинты, корсеты, пояса т. д. Варьируя соотношение между спандексной и нерастяжимыми нитями можно получать трикотаж и полотна, идущие на изготовление рубашек, блузок, плащей, спортивных костюмов, колготок, бюстгальтеров и т. д. Наиболее известно полиуретановое эластомерное волокно Лайкра (США).
![]() |
На основе полиэтилентерефталата выпускают полиэфирные волокна (лавсан, тесил, терилен, дакрон и др.).
Элементарные звенья в макромолекулярных полиэтилентерефталата соединены между собой эфирными связями —С—О—.
Средняя относительная молекулярная масса полимера, используемого для получения волокна, составляет 15—20 тыс.
Полиэфирные волокна имеют высокоориентированную фибриллярную структуру, содержащую большую долю высокоупорядоченных областей. Высокая степень кристалличности обусловливает высокую плотность волокна, устойчивость к действию химических реагентов и хорошие физико-механические свойства.
Разбавленные растворы кислот и щелочей на них практически не действуют. Только концентрированные неорганические (азотная, серная) и некоторые органические кислоты, а также растворы едких щелочей (40 %-ный NaOH) способны разрушить волокна. К воздействию окислителей и восстановителей они сравнительно устойчивы.
Полиэфирные волокна обладают высокой эластичностью, светостойкостью, термостойкостью, формоустойчивостью, а по прочностным показателям и по устойчивости к истиранию уступают только полиамидным волокнам. Они, как и полиамидные волокна, являются термопластичными — плавятся без разложения. Из расплава может быть вновь получена нить, что используется для распознавания полиамидных и полиэфирных волокон.
К недостаткам полиэфирных волокон относятся их высокая электризуемость и крайне низкая гигроскопичность. Влагосодержание при нормальных условиях составляет всего 0,4 %.
К синтетическим карбоцепным волокнам относят в первую очередь полиакрилонитрильные. Их выпускают во многих странах мира на основе полиакрилонитрила (ПАН).
![]() |
Полиакрилонитрил содержит сильно полярные нитрильные группы — CN, что делает его макромолекулы довольно жесткими; между макромолекулами возникают силы Ван-дер-Ваальса и между группами —СН— и —CN соседних макромолекул образуются водородные связи с энергией 25,5—32,6 кДж/моль, поэтому структура волокон, получаемых из чистого ПАН, является высокорегулярной и упорядоченной.
В настоящее время ПАН-волокна получают из различных сополимеров, в состав которых входят также соединения, разрыхляющие структуру волокна (метилметакрилат, метилакрилат и др.), и вещества, содержащие функциональные группы для взаимодействия с красителями (итаконовая кислота, сульфонаты и др.).
Волокнами, полученными из сополимеров полиакрилонитрила, являются отечественный нитрон и зарубежные волокна куртель, креслан, орлон.
Строение волокна нитрон можно представить следующей схемой:
![]() |
Содержание полиакрилонитрила в сополимере составляет 93 %, метилметакрилата — 6, итаконовой кислоты— 1 %• Относительная молекулярная масса в среднем составляет 40—60 тыс.
Нитрильная группа —CN является реакционноспособной и легко превращается, особенно при нагревании в присутствии кислорода воздуха, в группу = C = NH, что сопровождается пожелтением волокна. Эти волокна неустойчивы к действию повышенных температур. Нагревание до температуры 140°С приводит к значительным деформациям волокна, а при 200 °С происходит интенсивное изменение химического строения нитрона.
ПАН-волокна сравнительно устойчивы к действию растворов кислот и разбавленных растворов окислителей, но неустойчивы к воздействию растворов щелочей, особенно при нагревании. В этих условиях нитрильные группы —CN омыляются до карбоксильных —СООН-групп, и этот процесс сопровождается появлением оранжево-бурой окраски за счет вторичной реакции образования амидиновых групп
![]() |
ПАН-волокна обладают самой высокой светостойкостью по сравнению с другими текстильными волокнами. Они характеризуются низкой гигроскопичностью — влагосодержание при нормальных условиях составляет только около 1,5 %, низкой теплопроводностью, сравнительно низкой устойчивостью к истиранию.
При внесении в пламя газовой горелки они горят без выделения характерного запаха; остаток после горения — твердый темный шарик.
![]() |
Поливинилхлоридные волокна — ПВХ, ТПВХ, хлорин, санив и др.—получают из поливинилхлорида (ПВХ), из перхлорвинила (хлорин) и из сополимеров винилхлорида с акрилонитрилом (СНХ-60) или винилиденхлорида с акрилонитрилом (санив). Химическое строение волокна хлорин, получаемого из перхлорвинила, может быть представлено как
Относительная молекулярная масса 60—150 тыс.
Волокна имеют хорошие механические свойства, устойчивы к действию химических реагентов и практически невозгораемы. Они характеризуются высокой устойчивостью к действию минеральных кислот, щелочей, окислителей, устойчивы к гниению.
Недостатком поливинилхлоридных волокон является их низкая теплостойкость. Так, температура начала усадки для хлорина составляет всего 70—75 °С, что существенно ограничивает область применения этих волокон. При невысокой стоимости волокон решение задачи увеличения теплостойкости существенно расширило бы их использование. У волокон из сополимеров с акрилонитрилом усадка начинается при более высоких температурах (ПО—115°С).
Волокна гидрофобны; влагосодержание при нормальных условиях составляет 0,1—0,4%. Эти волокна в чистом виде и в смеси с другими волокнами для значительного снижения горючести последних используют для изготовления материалов технического назначения, спецодежды, обивочных невозгораемых материалов.
Поливинилспиртовые волокна (винол) получают из поливинилового спирта.
Относительная молекулярная масса 45—90 тыс.
Особенностью строения поливинилового спирта является высокое содержание гидроксильных групп, растворимость в воде и возможность проведения различных химических реакций с функциональными ОН-группами. Поливиниловый спирт легко кристаллизуется.
![]() |
Из поливинилового спирта получают водорастворимые и водостойкие волокна. Нерастворимость в воде может быть достигнута путем образования поперечных химических связей (сшивки) между макромолекулами, например с помощью формальдегида (ацеталирование) или получением волокна с предельно ориентированной, кристаллической, хорошо отрелаксированной структурой.
![]() |
Поливинилспиртовые волокна характеризуются наличием ориентационной рубашки, в которой макромолекулы расположены с высокой степенью упорядоченности. Соотношение между количеством аморфных и кристаллических областей в большой степени зависит от условий получения волокна.
Поливинилспиртовые волокна имеют хорошие гигроскопические свойства: при нормальных условиях влагосодержание составляет 5 %, т. е. по этому показателю волокна приближаются к хлопковым, неплохие физико-механические свойства и относительно высокую устойчивость к истиранию
(в 2—5 раз выше, чем у волокон хлопка), к действию микроорганизмов и гниению. Однако эти волокна имеют недостаточную устойчивость к нагреванию. Поливинилспиртовые волокна используют для изготовления бельевых тканей, трикотажа, а также для технических изделий.
![]() |
К полиолефиновым волокнам относятся волокна, созданные на основе полиэтилена и полипропилена
Производство этих волокон осуществляется в широких масштабах, что объясняется доступностью и сравнительно низкой стоимостью сырья. Особое распространение получили полипропиленовые волокна при изготовлении ковровых изделий, а также для технических целей.
Полиолефиновые волокна обладают ценным комплексом свойств: низкой плотностью, высокой прочностью и химической стойкостью к щелочам, кислотам, органическим растворителям. Но они легко поддаются термоокислительной деструкции и имеют низкую светостойкость, поэтому для устранения указанных недостатков в состав волокон вводят специальные стабилизаторы.
К недостаткам этих волокон следует отнести высокую электризуемость, гидрофобность (при нормальных условиях влагосодержание составляет 0,1—0,15 %) и низкие температуры плавления (полиэтиленовые— 130°С, полипропиленовые— 170 °С).
Фторсодержащие волокна
Фторсодержащие волокна получают из политетрафторэтилена, т.е. фторолефина, полимера следующего линейного строения [―CF2―CF2―]n, который синтезируют путем полимеризации тетрафторэтилена CF2=СF2.
nCF2=CF2 ―› [―CF2―CF2―]n.
Если Вам понравилась эта лекция, то понравится и эта - Роли и ролевые ожидания.
Молекулярная масса полимера, используемого для производства волокон фторлон (СНГ), составляет 70000—100000, что соответствует степени полимеризации 700—1000.
Поскольку перфторэтилен нерастворим во всех доступных растворителях, не расплавляется без разложения, то волокна из него формуются по принципиально отличной от всех других химических волокон технологии.
Прядение производят из смеси водорастворимого загустителя (ПВС) и суспензии перфторэтилена, полученного методом эмульсионной полимеризации. Сформированное волокно для придания ему высоких
физико-механических свойств подвергают термообработке (спекание при 385 °С и вытягивание при 220—250 °С на 300—500). Полученное волокно обладает достаточно высокой прочностью, не изменяющейся в мокром состоянии, очень высокой гидро-,олеофобностью и термостойкостью (до 250 °С), исключительной био- и хемостойкостью (не изменяет своих свойств даже после обработки в конц. Н2SO4, НNO3, в царской водке, в 50% растворе NaOH при 100 °С). Волокна подобного типа производят в США под названием тефлон, в СНГ — олифен, в Японии — тайофлон. Из всех текстильных волокон (тефлон) фторсодержащие обладают самым низким коэффициентом трения.
Все перечисленные свойства выдвигают волокна типа тефлон на одно из ведущих мест в техническом секторе, где они используются для производства фильтров и прокладок для химической промышленности, спецодежды для рабочих химических заводов, а также для кровеносных сосудов (биостойкие).
[i]








































