Устойчивость, ее зависимость от конструктивных параметров автомобиля
Лекция 15. Устойчивость, ее зависимость от конструктивных параметров автомобиля
План лекции
15.1. Продольная устойчивость автомобиля
15.2. Продольная устойчивость автопоезда
15.3. Влияние различных факторов на устойчивость
автомобиля
15.1. Продольная устойчивость автомобиля
При нарушении продольной устойчивости автомобиль может опрокинуться относительно оси передних или задних колес, а также скользить в продольном направлении.
Опрокидывание вокруг осей колес возможно только у автомобиля с очень короткой базой и высоким расположением центра тяжести. Однако для большинства современных автомобилей, имеющих низкое расположение центра тяжести, опрокидывание в продольной плоскости маловероятно. Возможно лишь продольное скольжение, вызванное буксованием ведущих колес, что более вероятно для автопоездов.
В связи с этим показателем продольной устойчивости автомобиля является критический угол подъема по буксованию αб.
Рекомендуемые материалы
Определим критический угол подъема по буксованию для автомобиля. С этой целью рассмотрим равномерное движение автомобиля на максимальном подъеме (рис. 15.1), так как разгон на нем невозможен. При преодолении максимального подъема скорость движения автомобиля небольшая, поэтому силой сопротивления воздуха Рв пренебрегаем. При этом сцепление ведущих колес с дорогой полностью используется касательной реакцией дороги а касательной реакцией дороги на передних колесах пренебрегаем, так как она мала по сравнению с касательной реакцией Rxr
а касательной реакцией дороги на передних колесах пренебрегаем, так как она мала по сравнению с касательной реакцией Rxr
Из условий равновесия автомобиля следует, что

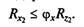
Максимальное значение касательной реакции дороги на ведущих колесах автомобиля ограничена сцеплением колес с дорогой:

Подставим в это выражение значения реакций дороги RZ2 и RX1 и разделим обе части уравнения на cos α. Учитывая в данном случае, что α = αб, определим критический угол подъема по буксованию:


Рис. 15.1. Схема для определения критического угла подъема по буксованию
Критическим углом подъема по буксованию называется предельный угол, при котором еще возможно движение автомобиля на подъеме без буксования ведущих колес.
Критический угол подъема по буксованию во многом зависит от коэффициента сцепления φх. Так, например, при φх = 0,3 (асфальт влажный и грязный или покрытый снегом) для автомобилей с колесной формулой 4x2 угол αб = 10... 15°.
Для автомобиля со всеми ведущими колесами критический угол подъема по буксованию

Следовательно, такого типа автомобили могут преодолевать крутые подъемы без потери продольной устойчивости.
Угол αб линейно зависит от коэффициента фх (рис. 15.2).
15.2. Продольная устойчивость автопоезда
Признаком нарушения продольной устойчивости автопоезда при движении на подъеме является его сползание вниз по подъему, которое вызывается буксованием ведущих колес автомобиля-тягача. Это может произойти, например, во время динамического преодоления автопоездом крутого подъема большой длины.
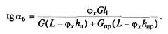
Продольную устойчивость автопоезда характеризует критический (максимальный) угол αб подъема по буксованию.
Определим максимальный угол подъема, который может преодолеть прицепной автопоезд при равномерном движении без буксования ведущих колес автомобиля-тягача. При этом силами сопротивления качению и воздуха пренебрегаем, так как автопоезд на подъеме движется с небольшой скоростью и значения этих сил невелики (рис. 15.3).
Из условий равновесия автомобиля-тягача следует:


где Gnp— вес прицепа, Н; hKp — высота расположения крюка буксирного устройства; а — угол подъема.

Рис. 15.2. Зависимости критического угла подъема по буксованию от коэффициента сцепления:
1 — автопоезд; 2 — автомобиль обычной проходимости; 3 — автомобиль повышенной проходимости

Рис. 15.3. Движение автопоезда на подъеме
Максимальное значение касательной реакции дороги RX2 ограничено сцеплением колес с дорогой:

Подставим в это выражение значения касательной RX2 и нормальной RZ2 реакций дороги, разделим обе части выражения на cos а и, приняв, что а = αб, получим выражение для максимального, или критического, угла подъема, при котором возможно движение прицепного автопоезда без буксования ведущих колес автомобиля-тягача:

Критический угол подъема по буксованию существенно зависит от сцепления колес с дорогой. Так, например, при коэффициенте сцепления φх. = 0,3 (асфальт, покрытый снегом) для автопоездов этот угол не превышает 6°. Поэтому в зимнее время часто происходит буксование ведущих колес тягача автопоезда на относительно пологих подъемах (см. рис. 15.2).
15.3. Влияние различных факторов на устойчивость автомобиля
В условиях эксплуатации чаще происходит нарушение поперечной устойчивости автомобиля (занос, опрокидывание), которое более опасно, чем нарушение продольной устойчивости.
На поперечную устойчивость автомобиля влияют различные конструктивные и эксплуатационные факторы. К ним относятся крен кузова автомобиля, износ шин, неисправность тормозных механизмов, центр тяжести автомобиля и колея колес, расположение груза в кузове, дорожное покрытие, повороты и виражи дороги, способ торможения автомобиля и др.
Рассмотрим влияние различных факторов на поперечную устойчивость автомобиля.
Поперечный крен кузова. При определении показателей поперечной устойчивости автомобиля не учитывались эластичность шин и упругость подвески, а автомобиль рассматривался как единое твердое тело.
В действительности автомобиль представляет собой систему масс, соединенных между собой подвеской, к которым относятся подрессоренные (кузов) и неподрессоренные (мосты, колеса) массы.
При разгоне, торможении и повороте автомобиля, а также езде по неровностям дороги вследствие действия боковой силы Ру (рис. 15.4, а) шины 1 и упругие устройства 2 подвески (рессоры, пружины и др.) с одной стороны автомобиля разгружаются, а с другой — нагружаются. В результате кузов автомобиля наклоняется в поперечном направлении. Угол ψкр крена кузова увеличивается с возрастанием боковой силы Ру. Он может быть уменьшен при увеличении угловой жесткости подвески, что достигается установкой в подвеске стабилизатора 3 (рис. 15.4, б) поперечной устойчивости, который препятствует крену кузова и уменьшает его поперечные угловые колебания.

а б
Рис. 15.4. Крен кузова (а) и стабилизатор (б) поперечной устойчивости кузова: 1 — шина; 2 — упругое устройство подвески; 3 — стабилизатор
Обычно при эксплуатации угол поперечного крена кузова не превышает 10°, однако этого достаточно для того, чтобы возросла возможность опрокидывания автомобиля. Поэтому значения критической скорости и критического угла поперечного уклона дороги (косогора) в действительности будут на 10... 15% меньше рассчитанных по формулам.
Износ шин. В процессе эксплуатации по мере износа протектора шин ухудшается сцепление колес с дорогой и возрастает вероятность заноса автомобиля. Так, например, значение коэффициента сцепления колес с дорогой, протектор шин которых изношен до полного исчезновения рисунка («лысые шины»), почти в 2 раза меньше, чем у новых шин. Поэтому эксплуатация автомобиля с «лысыми шинами» недопустима.
Неисправности тормозных механизмов. Нарушение поперечной устойчивости автомобиля происходит чаще всего при торможении, когда в местах контакта шин с дорогой действуют большие тормозные силы. В этом случае тормозящее колесо неустойчиво при действии боковой силы, и достаточно ее небольшой величины, чтобы начался занос автомобиля.
Причиной нарушения поперечной устойчивости при торможении может быть неравномерное распределение тормозных сил по колесам автомобиля из-за замасливания или неправильной регулировки тормозных механизмов. При этом неравномерность распределения тормозных сил у передних колес опаснее, чем у задних. Так, например, при одном заторможенном заднем правом колесе (рис. 15.5, а) автомобиль отклоняется вправо от направления прямолинейного движения. При этом расстояние Sa от центра тяжести автомобиля до центра заторможенного колеса сокращается. Уменьшается также и поворачивающий момент Р'и, создаваемый силой инерции. При заторможенном только переднем правом колесе (рис. 15.5, 6) расстояние Sц во время торможения увеличивается. Это приводит к возрастанию поворачивающего момента и дальнейшему отклонению автомобиля в сторону от направления прямолинейного движения. Поэтому неисправность передних тормозных механизмов опаснее, чем задних.


Рис. 15.5. Устойчивость автомобиля при торможении:
а — заторможено заднее правое колесо; б — заторможено переднее правое колесо
Блокировка колес при торможении. На устойчивость автомобиля существенное влияние оказывает блокировка колес (доведение до юза) при торможении.
Одновременная блокировка всех колес автомобиля может произойти только на дорогах с оптимальными значениями коэффициента сцепления, составляющими 0,40... 0,45. На дорогах, характеризуемых другими значениями коэффициента сцепления, происходит блокировка передних или задних колес.
При торможении на дорогах с меньшим коэффициентом сцепления у автомобиля первыми блокируются задние колеса, что может привести к потере устойчивости автомобиля.
При торможении на дорогах с более высоким коэффициентом сцепления у автомобиля первыми доводятся до юза передние колеса. Следствием этого может быть потеря управляемости автомобиля.
Центр тяжести автомобиля и колея колес. Высота расположения центра тяжести автомобиля и ширина колеи передних и задних колес оказывают влияние на поперечную устойчивость автомобиля. Так, например, при высоком расположении центра тяжести может произойти опрокидывание автомобиля при действии боковой силы. Это наиболее вероятно при движении автомобиля на поворотах малого радиуса при отсутствии виражей вследствие уменьшения критической скорости автомобиля по опрокидыванию.
Легковые автомобили, движущиеся на поворотах с большой скоростью, обладают высокой устойчивостью, так как имеют низкое расположение центра тяжести и широкую колею передних и задних колес.
Дорога, повороты и виражи. Состояние покрытия дороги, радиусы поворотов и виражи оказывают существенное влияние на поперечную устойчивость автомобиля.
При ухудшении состояния дорожного покрытия (дождь, снег, обледенение) значительно уменьшается сцепление колес с дорогой, что может привести к заносу автомобиля.
Наименьшие радиусы поворотов дорог составляют 30 м. При движении на дорогах с малыми радиусами поворотов создаются условия для нарушения поперечной устойчивости автомобиля в связи со снижением его критической скорости по заносу. Поэтому для повышения устойчивости автомобиля на поворотах с небольшими радиусами создают виражи — поперечные уклоны дороги, направленные к центру поворота. Виражи повышают не только устойчивость автомобиля, но и безопасность движения на поворотах.
Расположение груза в кузове автомобиля. Устойчивость автомобиля при торможении может быть нарушена вследствие неправильного размещения груза в кузове. Так, например, при несовпадении центра тяжести груза с продольной осью автомобиля сила инерции Р'и (рис. 15.6, а), возникающая при торможении, создает поворачивающий момент, характеризуемый плечом Sц. Если при этом блокированы передние колеса автомобиля, то их сцепление с дорогой меньше, чем у задних колес. В результате под действием момента P'n Sц автомобиль поворачивается относительно точки А оси задних колес. Расстояние Sц в этом случае быстро уменьшается до нуля и поворот автомобиля прекращается.

Рис. 15.6. Устойчивость автомобиля при неправильном расположении
груза в кузове:
а — блокированы передние колеса; 6 — блокированы задние колеса; А, Б — центры осей задних и передних колес
При блокировке задних колес (рис. 15.6, б) автомобиль поворачивается относительно точки Б оси передних колес. При этом расстояние Sц увеличивается, что может привести к заносу автомобиля.
Способ торможения. Устойчивость автомобиля существенно зависит от способа торможения. Так, торможение автомобиля двигателем, который не отсоединяется от трансмиссии и работает на компрессорном режиме (без подачи горючей смеси в цилиндры) или режиме холостого хода, обеспечивает устойчивость автомобиля против заноса вследствие равномерного распределения тормозных сил по колесам. При комбинированном торможении автомобиля (совместно тормозными механизмами колес и двигателем) повышается также его поперечная устойчивость, поскольку дифференциал трансмиссии обеспечивает более равномерное распределение тормозных сил по колесам. В результате уменьшается вероятность заноса автомобиля.
Комбинированный способ торможения автомобиля необходимо применять на дорогах с малым коэффициентом сцепления (скользких, обледенелых и т. п.), так как в этом случае существенно повышается не только устойчивость автомобиля, но и безопасность его движения.
Лекция 16. Проходимость, ее зависимость от конструктивных особенностей автомобиля
План лекции
16.1. Габаритные параметры проходимости
16.2. Тяговые и опорно-сцепные параметры проходимости. Комплексный фактор проходимости
16.3. Влияние различных факторов на проходимость
автомобиля
Проходимость является эксплуатационным свойством, имеющим важное значение для любых автомобилей, особенно работающих в сельском хозяйстве, лесной промышленности, на строительстве, в карьерах и в условиях бездорожья. Проходимость в таких условиях эксплуатации определяет среднюю скорость движения и оказывает существенное влияние на производительность автомобиля.
Проходимость автомобиля оценивается габаритными, тяговыми и опорно-сцепными параметрами, а также комплексным фактором проходимости.
16.1. Габаритные параметры проходимости
Габаритные параметры характеризуют проходимость автомобиля по неровностям дороги и его способность вписываться в дорожные габариты.
Основными габаритными параметрами проходимости (рис. 16.1, 16.2) автомобиля являются дорожный просвет h, углы переднего α1 и заднего α 2 свеса, продольный p1 и поперечный р2 радиусы проходимости, наружный RH и внутренний RВ габаритные радиусы поворота, поворотная ширина bк, углы гибкости в вертикальной βв и горизонтальной α г плоскостях.
Дорожным просветом называется расстояние между низшей точкой автомобиля и дорогой. Он характеризует возможность такого движения, при котором автомобиль не задевает сосредоточенные препятствия (камни, пни, кочки и др.). Обычно дорожный просвет определяется под картером главной передачи ведущего моста. Его величина зависит от типа автомобиля и условий его эксплуатации. Так, для грузовых автомобилей ограниченной проходимости дорожный просвет составляет 245... 280 мм, а для автомобилей повышенной проходимости — 315... 400 мм. Увеличение дорожного просвета приводит к повышению проходимости, что может быть достигнуто увеличением диаметра колес и уменьшением габаритов главной передачи (например, разнесенная главная передача). Однако увеличение дорожного просвета приводит к повышению центра тяжести автомобиля, что может ухудшить его устойчивость.

Рис. 16.1. Габаритные параметры проходимости автомобиля: О — центр поворота

Рис. 16.2. Углы гибкости автопоезда в вертикальной (а) и горизонтальной (б) плоскостях
Углами переднего и заднего свеса называются углы, образованные плоскостью дороги и плоскостями, касательными к передним и задним колесам и к выступающим низшим точкам передней и задней частей автомобиля. Они характеризуют проходимость автомобиля по неровным дорогам во время въезда на препятствие или съезда с него (наезд на бугор, переезд через канаву, яму, кювет и т.д.). Чем больше углы свеса, тем более крутые дорожные неровности может преодолеть автомобиль.
Для грузовых автомобилей ограниченной проходимости
α1 = 25...42° и α2 = 16...38°,
а для автомобилей повышенной проходимости
α1 = 35...55° и α2 = 32...42°.
Продольный и поперечный радиусы проходимости представляют собой радиусы окружностей, касательных к колесам и низшим точкам автомобиля в продольной и поперечной плоскостях. Эти радиусы определяют контуры препятствий, преодолевая которые автомобиль не задевает их. Чем меньше указанные радиусы, тем выше проходимость автомобиля. Так, например, продольный радиус проходимости для обычных грузовых автомобилей составляет 2,7...5,5 м, а для автомобилей повышенной проходимости — 2... 3,5 м.
Внутренний и наружный габаритные радиусы поворота — это расстояния от центра поворота соответственно до ближайшей и наиболее удаленной точек автомобиля при максимальном повороте управляемых колес.
Поворотная ширина автомобиля характеризует разность между его наружным и внутренним радиусами поворота.
Радиусы поворота и поворотная ширина автомобиля характеризуют также и маневренность автомобиля — способность поворачиваться на минимальной площади. Одиночные автомобили более маневренны, чем автопоезда. Маневренность автопоездов ухудшается при увеличении числа единиц и базы прицепного состава.
Углами гибкости в вертикальной и горизонтальной плоскостях называются углы возможного отклонения оси сцепной петли прицепа от оси тягового крюка. Угол гибкости в вертикальной плоскости (см. рис. 16.2) автопоезда характеризует его проходимость по неровностям дороги, а угол гибкости в горизонтальной плоскости — способность к поворотам, т. е. его маневренность. Для автопоездов с двухосными прицепами углы гибкости составляют: βв не менее +62° и αгне менее ±55°, а для седельных автопоездов βв не менее ±8° и αг не менее ±80°.
16.2. Тяговые и опорно-сцепные параметры проходимости. Комплексный фактор проходимости
Эти параметры характеризуют проходимость автомобиля на мягких и твердых скользких дорогах, а также на подъемах.
Основными тяговыми и опорно-сцепными параметрами проходимости являются удельная мощность NУД, динамический фактор по тяге D, удельное давление колес на дорогу рУД и коэффициент сцепления колес с дорогой φх. Указанные параметры проходимости зависят от типа автомобиля и условий его эксплуатации.
Удельная мощность автомобиля, кВт/т, представляет собой отношение максимальной мощности двигателя к полной массе автомобиля:

Чем больше удельная мощность, тем выше проходимость автомобиля. Так, например, для грузовых автомобилей ограниченной проходимости удельная мощность составляет 5... 12 кВт/т, а для автопоездов должна быть не менее 5,15 кВт/т.
Динамический фактор по тяге характеризует тяговые свойства автомобиля при преодолении тяжелых участков дороги с большим сопротивлением движению. Поэтому автомобиль, работающий в тяжелых дорожных условиях, должен обладать большим динамическим фактором. Чем больше динамический фактор, тем меньше вероятность потери проходимости вследствие недостаточных тяговых свойств автомобиля. Однако значение динамического фактора по тяге ограничивается сцеплением колес с дорогой. Для реализации максимального динамического фактора без буксования ведущих колес необходимо увеличивать сцепление колес с дорогой и повышать сцепной вес автомобиля (нагрузку на ведущие колеса).
Увеличение сцепления колес с дорогой достигается выбором определенного типа шин и рисунка протектора, а повышение сцепного веса — увеличением числа ведущих колес и смещением центра тяжести автомобиля к ведущему мосту.
Максимальные значения динамического фактора по тяге составляют 0,25...0,35 для грузовых автомобилей ограниченной проходимости и 0,6...0,8 — для автомобилей повышенной проходимости.
Для повышения проходимости автомобиля необходимо увеличивать максимальный динамический фактор по тяге. Это может быть достигнуто применением двигателей большей мощности, установкой гидропередачи, подбором передаточных чисел трансмиссии (за счет понижающей передачи в раздаточной коробке), увеличением числа ведущих колес.
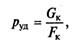
Удельное давление на опорную поверхность, МПа, характеризует проходимость автомобиля по мягким дорогам и может быть представлено в следующем виде:

где GK — нагрузка на колесо; FK — площадь контакта колеса с дорогой.
Для повышения проходимости по мягким дорогам необходимо уменьшать давление колес на дорогу. Это достигается понижением давления воздуха в шинах, увеличением размеров шин, числа мостов и колес, а также применением специальных шин. Использование специальных шин уменьшает удельное давление колес на дорогу за счет увеличения площади их контакта (рис. 16.3) с опорной поверхностью. Так, по сравнению с обычными шинами площадь контакта широкопрофильных шин больше на 20 ...40 %, арочных — в 1,5 — 2 раза и пневмокатков — в 2,5 — 3 раза, причем проходимость автомобиля, оборудованного пневмокатками, приближается к проходимости гусеничных машин.
Удельное давление колес на дорогу зависит от типа автомобиля и условий его эксплуатации. Например, на дороге с асфальтобетонным покрытием удельное давление составляет 0,16...0,55 МПа для грузовых автомобилей ограниченной проходимости и 0,2... 0,4 МПа — для автомобилей повышенной проходимости.
Коэффициент сцепления характеризует проходимость автомобиля по влажным грунтам и скользкой (обледенелой) дороге. Увеличение коэффициента сцепления приводит к повышению проходимости автомобиля по таким дорогам.
На коэффициент сцепления значительное влияние оказывают рисунок протектора шин и его насыщенность. Коэффициент насыщенности рисунка протектора шины определяется как доля нагрузки, приходящейся на грунтозацепы, и выражается в процентах.

Рис. 16.3. Шины и площади контакта шин с дорогой: а — тороидальная; б — широкопрофильная; в — арочная; г — пневмокаток
В условиях бездорожья обычно используются шины с крупными и широко расставленными грунтозацепами, у которых коэффициент насыщенности рисунка протектора составляет 15... 25 %. Протектор таких шин не забивается грязью.
На песочном грунте используются шины с невысокими грунтозацепами и небольшими расстояниями между ними. Коэффициент насыщенности рисунка протектора таких шин составляет 10 ...80%.
Для движения по скользким обледенелым дорогам применяют шины с зимним рисунком протектора или металлическими шипами, которые препятствуют буксованию и боковому скольжению (заносу) колес. В качестве временной меры, повышающей сцепление колес с дорогой, применяют различного типа цепи противоскольжения: витые, браслетные, гусеничные и др.
Комплексный фактор проходимости характеризует эффективность использования автомобиля при его эксплуатации на тяжелых дорогах и по бездорожью. Он учитывает снижение производительности автомобиля (вследствие уменьшения средней скорости движения и массы перевозимого груза) и ухудшение топливной экономичности (из-за увеличения расхода топлива) в этих условиях эксплуатации по сравнению с шоссейными дорогами.
Комплексный фактор проходимости автомобиля

где — полезные нагрузки соответственно на тяжелых до-
— полезные нагрузки соответственно на тяжелых до-
рогах (по бездорожью) и шоссейных дорогах; — средние
— средние
скорости движения на таких дорогах; qМ , qШ — путевой расход топлива.
16.3. Влияние различных факторов на проходимость автомобиля
На проходимость автомобиля оказывают влияние следующие конструктивные и эксплуатационные факторы.
Тип колес. Ведущее колесо преодолевает вертикальное препятствие лучше, чем ведомое. Это происходит потому, что ведущее колесо стремится преодолеть вертикальное препятствие, а ведомое колесо только упирается в него.
На рис. 16.4 представлены схемы ведомого и ведущего колес автомобиля, которые преодолевают вертикальное препятствие высотой hпр.
На переднее ведомое колесо (рис. 16.4, а) в этом случае действуют вертикальная нагрузка Pz, толкающая сила Рх и реакция Rn препятствия, составляющими которой являются Rz и Rx.

Рис. 16.4. Преодоление вертикального препятствия ведомым (а) и
ведущим (б) колесами автомобиля:
P'Т ,P''Т — составляющие тяговой силы при преодолении препятствия
Исследованиями установлено, что для переднего ведомого колеса высота преодолеваемого вертикального препятствия hк = 2/Зrк. При высоте препятствия h пр = rк переднее ведомое колесо не может преодолеть его даже при очень большой толкающей силе Рх.
На ведущее колесо (рис. 16.4, б) по сравнению с ведомым дополнительно действует крутящий момент Мк, который вызывает появление силы РТ Составляющая Р'Т этой силы уменьшает составляющую Rx реакции препятствия, противодействующую движению. Составляющая P''Т тяговой силы обеспечивает ведущему колесу возможность преодоления препятствия. Исследованиями установлено, что для ведущего колеса высота преодолеваемого вертикального препятствия hк = rк.
Колея колес. Соотношение между колеями передних и задних колес автомобиля (рис. 16.5) имеет важное значение при движении по мягким грунтам. Несовпадение колеи передних и задних колес приводит к увеличению сопротивления движению, и наоборот. При совпадении колеи передних и задних колес проходимость повышается, так как передние колеса образуют в грунте колею, а задние колеса движутся по уже уплотненному грунту колеи.



Рис. 16.5. Колеи передних и задних колес автомобиля:
а — совпадающие; б — несовпадающие; в — при двухскатных задних колесах
Обычно колеи передних и задних колес не совпадают у автомобилей с передними односкатными и задними двухскатными колесами. Несовпадение колеи возможно и у автомобилей со всеми односкатными колесами. Для таких автомобилей разница в ширине колеи передних и задних колес не должна превышать 25... 30 % ширины шины, иначе проходимость существенно ухудшится.
Тип подвески колес. При движении по пересеченной местности автомобилей с колесными формулами 6x4 и 6x6 исключение отрыва колес от грунта обеспечивает балансирная (рис. 16.6) или независимая подвеска. При использовании таких подвесок колеса лучше приспосабливаются к неровностям поверхности, и проходимость автомобиля повышается.
Гидропередача и раздаточная коробка. Применение гидропередач и раздаточных коробок с понижающими передачами существенно повышает проходимость автомобиля особенно по мягким и влажным грунтам. Благодаря их применению достигается минимальная скорость движения (0,5... 1,5 км/ч) и ее плавное изменение. Это обеспечивает непрерывное движение в тяжелых дорожных условиях, что очень важно, так как автомобиль часто останавливается в момент переключения передач.
Тип дифференциала. Конический симметричный дифференциал уменьшает проходимость автомобиля, так как распределяет поровну между ведущими колесами крутящий момент, а тяговая сила на них определяется колесом с меньшим сцеплением. Это дифференциал малого трения. Трение же в дифференциале позволяет передавать больший крутящий момент на небуксующее колесо и меньший — на буксующее. При использовании конического дифференциала суммарная тяговая сила на ведущих колесах возрастает за счет трения на 4...6 %.
Червячный и кулачковый дифференциалы увеличивают проходимость автомобиля. Они являются дифференциалами повышенного трения. В случае их применения суммарная тяговая сила на ведущих колесах возрастает на 10... 15 %.

Рис. 16.6. Схема балансирной подвески колес автомобиля:
1, 3 — ведущие мосты; 2 — рессора; 4 — ось; 5 — ступица; 6 — штанга

Рис. 16.7. Колесо с регулированием давления воздуха в шине:
1 — широкопрофильная шина; 2 — вентиль камеры; 3 — запорный кран колеса
Блокируемые дифференциалы еще больше увеличивают проходимость автомобиля. При использовании таких дифференциалов суммарная тяговая сила на ведущих колесах возрастает на 20...25%.
Регулирование давления воздуха в шинах. Благодаря регулированию давления воздуха в шинах (рис. 16.7) существенно повышается проходимость автомобилей в тяжелых дорожных условиях и по бездорожью. В зависимости от дорожных условий давление воздуха в шинах может меняться в пределах 0,05 ...0,35 МПа. Поэтому проходимость автомобиля, оборудованного шинами с регулируемым (переменным) давлением воздуха, в отдельных случаях приближается к проходимости гусеничных машин.

Рис. 16.8. Цепи противоскольжения:
Вам также может быть полезна лекция "7 Электрохимические процессы".
а — мелкозвенчатые; б — с прямыми траками; в — с ромбовидными траками; г — браслетная; д — с широкими траками
Устройства для самовытаскивания. Применение самовытаскивающих устройств (лебедки с приводом от коробки отбора мощности, лебедки самовытаскивания, монтируемые на ведущие колеса, и др.) позволяют значительно повысить проходимость автомобиля при преодолении особо тяжелых участков дороги.
Цепи противоскольжения (рис. 16.8). При установке на ведущие колеса автомобиля цепей противоскольжения различного типа (витые, браслетные, траковые, гусеничные) возрастает площадь поверхности зацепления колес с дорогой, что способствует увеличению тяговой силы и повышению проходимости.
Так, браслетные цепи на обледенелых и размокших грунтовых дорогах с твердым основанием обеспечивают увеличение тяговой силы на ведущих колесах на 20...45 %.
Траковые цепи позволяют преодолевать снежный покров в 4 — 5 раз большей толщины, чем без них, а гусеничные цепи — слой снежного покрова вдвое большей толщины.
Однако цепи противоскольжения следует использовать только для временного повышения проходимости автомобиля на тяжелых участках пути. При движении на твердых дорогах их необходимо снимать.





















