Устойчивость автомобиля
Лекция 14. Устойчивость автомобиля
План лекции
14.1. Показатели поперечной устойчивости
14.2. Поперечная устойчивость на вираже
14.3. Занос автомобиля
Устойчивость автомобиля является важнейшим эксплуатационным свойством, от которого во многом зависит безопасность движения. Нарушение устойчивости автомобиля приводит к снижению безопасности движения, вследствие чего может возникнуть аварийная ситуация или произойти дорожно-транспортное происшествие. Признаком потери автомобилем устойчивости является его скольжение или опрокидывание. В зависимости от направления скольжения или опрокидывания автомобиля устойчивость может быть продольной или поперечной. Нарушение у автомобиля поперечной устойчивости в процессе эксплуатации наиболее вероятно и более опасно, чем нарушение продольной устойчивости.
14.1. Показатели поперечной устойчивости
Показателями поперечной устойчивости автомобиля являются критическая скорость по боковому скольжению (заносу) v3, км/ч, критическая скорость по опрокидыванию v0, км/ч, критический угол поперечного уклона дороги (косогора) по боковому скольжению βз , °, критический угол поперечного уклона дороги (косогора) по опрокидыванию βо, °, коэффициент поперечной устойчивости ηп
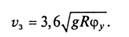
Критическая скорость по боковому скольжению (заносу). Приравномерном движении автомобиля на повороте на горизонтальной дороге (рис. 14.1) боковое скольжение его колес может возникнуть в результате действия поперечной силы Ру (центробежной, силы ветра или боковых ударов о неровности дороги) в тот момент, когда поперечная сила становится равной силе сцепления колес с дорогой, т.е.

Подставим в это выражение значения центробежной силы и силы сцепления:
Рекомендуемые материалы

где φy, — коэффициент поперечного сцепления.
Учитывая, что в этом случае v = v3, находим критическую скорость автомобиля по боковому скольжению, или заносу, км/ч:


Рис. 14.1. Схема для определения критических скоростей автомобиля по заносу и опрокидыванию:
А — точка, относительно которой происходит опрокидывание автомобиля
Критической скоростью по боковому скольжению называется предельная скорость, по достижении которой возможен занос автомобиля.
Таким образом, при прохождении поворота на критической скорости по боковому скольжению заноса у автомобиля может и не возникнуть. В этом случае занос может произойти только при любом минимальном боковом возмущении (порыв ветра, боковой удар колеса о дорожную неровность, поперечный уклон дороги), а также при увеличении скорости движения или уменьшении радиуса поворота, что приводит к увеличению поперечной силы Ру.
Зависимости v3 от радиуса поворота R и коэффициента φy показаны на рис. 14.2.
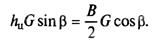
Критическая скорость по опрокидыванию. При повороте на горизонтальной дороге поперечная сила Ру (см. рис. 14.1), действующая на автомобиль, может вызвать не только боковое скольжение, но и опрокидывание. Опрокидывание автомобиля происходит относительно его наружных колес (точка А). В момент отрыва внутренних колес от дороги нормальные реакции RZb= О, и весь вес автомобиля воспринимается наружными колесами (RZh = G). В этом случае опрокидывающий момент, создаваемый поперечной силой, уравновешивается восстанавливающим моментом, обусловленным весом автомобиля:


Рис. 14.2. Зависимости критической скорости автомобиля по заносу от радиуса поворота и коэффициента сцепления
Подставив в это выражение значения моментов, получим

или с учетом значения поперечной силы

Помня о том, что в этом случае v = v0, определим критическую скорость автомобиля по опрокидыванию, км/ч:

Критической скоростью по опрокидыванию называется предельная скорость, по достижении которой возможно опрокидывание автомобиля.
Следовательно, при движении автомобиля на повороте с критической скоростью по опрокидыванию его опрокидывания может и не произойти. Опрокидывание автомобиля в этом случае возможно только при минимальном боковом возмущении и увеличении скорости или уменьшении радиуса поворота. Зависимости v0 от R и hц показаны на рис. 14.3.
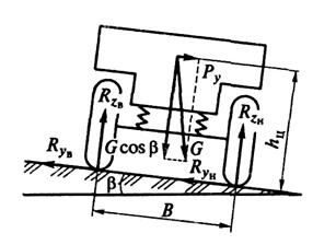
Критический угол поперечного уклона дороги по боковому скольжению. При прямолинейном движении автомобиля по дороге с поперечным уклоном (по косогору) потерю его поперечной устойчивости вызывает составляющая силы тяжести автомобиля (рис. 14.4), параллельная плоскости косогора:

где (3 — угол поперечного уклона дороги.
Боковое скольжение автомобиля на косогоре может начаться в момент, когда


Рис. 14.3. Зависимости критической скорости по опрокидыванию от радиуса поворота и высоты центра тяжести автомобилей, имеющих одинаковую колею:
hц1,, hц2,— значения высоты центра тяжести двух автомобилей

Рис. 14.4. Схема для определения критических углов поперечного уклона дороги по боковому скольжению и опрокидыванию

Рис. 14.5. Зависимость критического угла поперечного уклона дороги по боковому скольжению от коэффициента сцепления
Подставив в последнеевыражение значения сил, получим

Учитывая, что в данном случае р = рз, определим критический угол поперечного уклона дороги по боковому скольжению:

Критическим углом поперечного уклона дороги по боковому скольжению называется предельный угол, при котором еще возможно прямолинейное движение автомобиля по косогору без бокового скольжения колес. Боковое скольжение автомобиля в этих условиях начинается при действии любого минимального поперечного возмущения.
Угол βз линейно зависит от коэффициента φy (рис. 14.5).
Критический угол поперечного уклона дороги по опрокидыванию. При прямолинейном движении по дороге с поперечным уклоном (см. рис. 14.4) опрокидывание автомобиля может начаться в том случае, когда опрокидывающий момент, создаваемый поперечной силой, уравновешен восстанавливающим моментом, обусловленным нормальной составляющей силы тяжести автомобиля:

Подставим в это выражение значения моментов:

Учитывая, что в данном случае р = р0, находим критический угол поперечного уклона дороги по опрокидыванию:


Рис. 14.6. Зависимость критического угла поперечного уклона дороги по опрокидыванию от соотношения колеи колес и высоты центра тяжести автомобиля
Критическим утлом поперечного уклона дороги по опрокидыванию называется предельный угол, при котором еще возможно прямолинейное движение автомобиля по косогору без опрокидывания.
Опрокидывание автомобиля в этом случае может произойти только при любом минимальном боковом возмущении.
Значение критического угла поперечного уклона дороги по опрокидыванию зависит от типа автомобиля. Так, для легковых автомобилей этот угол составляет 40...50°, для грузовых автомобилей — 30 ...40° и для автобусов — 25... 35°. Угол ро линейно зависит
от отношения
(рис. 14.6).
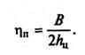
Коэффициент поперечной устойчивости. Коэффициентом поперечной устойчивости автомобиля называется отношение колеи колес автомобиля к его удвоенной высоте центра тяжести:

Коэффициент поперечной устойчивости позволяет определить, какой из двух видов потерь поперечной устойчивости (занос или опрокидывание) более вероятен при эксплуатации.
Для примера рассмотрим случай движения автомобиля при повороте на горизонтальной дороге. С этой целью приравняем критические скорости по боковому скольжению и опрокидыванию:

откуда

Из этого выражения следует, что если коэффициент поперечного сцепления колес с дорогой меньше коэффициента поперечной устойчивости (φy, < ηп), то при повороте более вероятен занос, чем опрокидывание. Если же коэффициент поперечного сцепления колес с дорогой больше коэффициента поперечной устойчивости (φy > ηп ), то опрокидывание автомобиля может произойти без предварительного его заноса, что возможно на дорогах с большим коэффициентом сцепления.
Значение коэффициента поперечной устойчивости зависит от типа автомобиля. Так, для грузовых автомобилей оно составляет 0,55...0,8, для автобусов — 0,5...0,6 и легковых автомобилей — 0,8... 1,2. Чем больше значение коэффициента поперечной устойчивости, тем более устойчив автомобиль против бокового опрокидывания.
14.2. Поперечная устойчивость на вираже
Ранее были рассмотрены случаи, когда нарушение поперечной устойчивости автомобиля вызывали закругления или поперечный уклон дороги. Однако в эксплуатации часто встречаются одновременно поворот и поперечный уклон дороги, что создает предпосылки для нарушения поперечной устойчивости.
На рис. 14.7 представлены два автомобиля. Автомобиль I движется на повороте по наружному краю дороги, а автомобиль II — по внутреннему.
Определим, какой из них более устойчив и безопасен на повороте. Для этого разложим поперечную силу Ру и силу тяжести G на соответствующие составляющие, перпендикулярные (Р'у и G') и параллельные (Р''у и G") поверхности дороги.
У автомобиля II поперечная устойчивость выше, чем у автомобиля I, так как у него силы Ру' и G' складываются и увеличивают

Рис. 14.7. Движение автомобилей на повороте:
G', G" — составляющие силы тяжести автомобиля на повороте; Р'у, Р"у — составляющие поперечной силы
сцепление колес с дорогой, а силы Ру'и G "частично уравновешивают друг друга, действуя в противоположные стороны.
У автомобиля I силы Ру' и G', направленные в противоположные стороны, уменьшают сцепление колес с дорогой, а силы Р'у' и G", действуя в одном направлении, уменьшают поперечную устойчивость. Таким образом, автомобиль II, движущийся по внутреннему краю дороги (по отношению к центру поворота), более устойчив и безопасен на повороте, чем автомобиль I.
В связи с этим для обеспечения необходимой безопасности движения на дорогах с малым радиусом поворота устраивают вираж — односкатный поперечный профиль, благодаря которому поперечный уклон дороги направлен к центру поворота. В этом случае поперечная устойчивость автомобиля существенно повышается (как у автомобиля II) независимо от направления его движения.
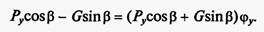
При движении на вираже (рис. 14.8) боковое скольжение автомобиля может начаться при условии

где Рб — боковая сила, действующая на вираже, или


Рис. 14.8. Движение автомобиля на вираже
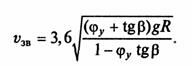
Подставим в указанное выражение значение поперечной составляющей Ру центробежной силы и, выполнив ряд преобразований, определим критическую скорость автомобиля по заносу на вираже, км/ч:

Зависимости v3B от R и φy, аналогичны приведенным на рис. 14.2. Опрокидывание автомобиля при движении на вираже возможно при условии равенства опрокидывающего и восстанавливающего моментов:

или


Подставим значение силы Ру и, выполнив соответствующие
преобразования, найдем критическую скорость автомобиля по опрокидыванию на вираже, км/ч:

Зависимости vOB от радиуса R и высоты Лц аналогичны представленным на рис. 14.3.
В приведенных ранее формулах для показателей поперечной устойчивости автомобиля не учитываются эластичность его шин и подвески и, следовательно, поперечный крен кузова. В процессе эксплуатации при действии боковой силы возникает поперечный крен кузова. Угол крена кузова не превышает 8... 10°, но он существенно ухудшает поперечную устойчивость автомобиля, что способствует его опрокидыванию. Так, например, значения критической скорости и критического угла поперечного уклона дороги по опрокидыванию с учетом бокового крена кузова на 10... 14 % меньше, чем без учета крена.
14.3. Занос автомобиля
В процессе эксплуатации автомобилей при нарушении поперечной устойчивости чаще происходит их занос, чем опрокидывание. При этом начинают скользить колеса одного из мостов — переднего или заднего.
Определим, что более вероятно и опасно: занос переднего управляемого или заднего ведущего моста.
Для качения колеса без скольжения необходимо, чтобы

где Rx — касательная реакция дороги; Ry — поперечная реакция дороги.
Следовательно, должно выполняться соотношение

согласно которому поперечная сила, прилагаемая к колесу и не вызывающая его скольжения, тем больше, чем значительнее сила сцепления колеса с дорогой и меньше касательная реакция дороги.
Определим, какое из колес (ведомое, ведущее или тормозящее) наиболее устойчиво против бокового скольжения (заноса).
Ведомое колесо наиболее устойчиво против заноса, так как касательная реакция дороги Rx, представляющая собой силу сопротивления качению, мала по сравнению с силой сцепления Рсц.
Ведущее и тормозящее колеса менее устойчивы против заноса, поскольку через них передаются соответственно тяговая и тормозная силы. В тот момент, когда сила сцепления будет равна касательной реакции дороги (Рсц = Rx), сцепление колеса с дорогой полностью использовано касательной реакцией. В этом случае достаточно действия небольшой боковой силы, чтобы начался занос колеса. Для ликвидации начавшегося заноса следует уменьшить касательную реакцию на колесе (уменьшить тяговую силу, прекратить торможение).
При прямолинейном движении автомобиля наиболее вероятен занос заднего ведущего моста, так как на его колеса при разгоне и преодолении повышенного сопротивления дороги действуют касательные реакции дороги во много раз более значительные, чем на колеса переднего ведомого моста. При торможении автомобиля вследствие перераспределения нагрузки (увеличивается нагрузка на передний мост) уменьшается сила сцепления задних колес, что также способствует заносу заднего ведущего моста.
Занос заднего ведущего моста автомобиля при эксплуатации не только вероятнее, чем переднего, но и опаснее. Допустим, что у двигавшегося прямолинейно автомобиля со скоростью va начался занос или переднего (рис. 14.9, а), или заднего (рис. 14.9, б) моста со скоростью v'3. В обоих случаях мост, у которого начался занос, перемещается в направлении результирующей скорости v', а нескользящий мост по-прежнему движется прямолинейно со скоростью vа,. Происходит поворот автомобиля вокруг центра О, и на автомобиль действует центробежная сила Рц. Радиус поворота автомобиля в этом случае равен R.

Рис. 14.9. Занос переднего (а) и заднего (б) мостов автомобиля: О — центр поворота

Рис. 14.10. Гашение заноса автомобиля:
О, О1 — центры поворота; R, R1, — радиусы поворота при заносе и ликвидации заноса
Бесплатная лекция: "1 Человек как общественное явление" также доступна.
При заносе переднего моста (см. рис. 14.9, а) поперечная составляющая Ру центробежной силы, являющаяся основной силой, которая действует на автомобиль при повороте, направлена противоположно скольжению передних колес. В результате занос переднего моста автоматически прекращается.
При заносе заднего моста (см. рис. 14.9, б) поперечная составляющая Ру центробежной силы действует в направлении скольжения задних колес и усиливает начавшийся занос заднего моста. Для ликвидации начавшегося заноса необходимо повернуть передние управляемые колеса в сторону заноса, как показано на рис. 14.10. При этом центр поворота автомобиля О переместится в точку О1, радиус поворота увеличится и станет равным Rx. В результате поперечная составляющая Ру центробежной силы, способствующая заносу, уменьшится.
При повороте передних колес на больший угол центр поворота переместится на противоположную сторону автомобиля, и поперечная составляющая Ру центробежной силы будет направлена в сторону, противоположную заносу. Занос задних колес в этом случае прекратится.
При еще большем угле поворота передних колес скольжение задних колес начнется в противоположную сторону. Поэтому после прекращения заноса задних колес автомобиль нужно вывести на прямолинейное движение.
В процессе эксплуатации занос автомобиля происходит чаще всего при торможении, когда в месте контакта колес с дорогой действуют большие тормозные силы. В результате колеса теряют способность воспринимать боковые силы. При торможении занос часто возникает также из-за неодинаковых тормозных моментов на колесах одного моста. Это происходит вследствие неправильной регулировки тормозных механизмов или их замасливания и загрязнения.
Для ликвидации начавшегося заноса при торможении следует уменьшить касательные реакции дороги на колесах (прекратить торможение). Для устранения потери устойчивости автомобиля необходимо перед началом поворота уменьшить скорость движения, так как поперечная составляющая Ру центробежной силы пропорциональна квадрату скорости.





















