Процессы переработки жиров и масел
1. Процессы переработки жиров и масел
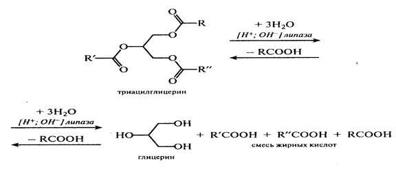
2.1. Гидролиз триацилглицеринов
Под влиянием щелочей, кислот, фермента липазы триацилглицерины гидролизуются с образованием ди-, затем моноацилглицеринов и , в конечном счете, жирных кислот и глицерина.
Результаты гидролиза выражаются схемой:

В присутствии кислотных катализаторов (сульфокислоты, H3PO4) процесс ведут при 100◦C в избытке воды. В присутствии катализаторов расщепление проводят при температуре 220-225◦С под давлением 2-2.5 МПа («безреактивное» расщепление). Гидролиз концентрированными водными растворами гидроксида натрия (омыление) является основой процесса получения («варки») мыла. На скорость гидролиза ацилглицерина влияют строение и положение ацилов, температура, катализаторы. С ростом длины углеродной цепи, увеличением ненасыщенности (при той же длине углеродной цепи) ацилов скорость гидролиза снижается. Гидролиз ацилглицилов под действием липазы протекает ступенчато. При этом наблюдается определенная селективность: на первой стадии образуются 1,2-диацилглицерины, на второй – 2-моноацилглицерины. Скорость гидролиза моноацилглицеринов выше, чем триацилглицеринов; диацилглицерины занимают промежуточное положение.
Гидролиз триацилглиреринов широко применяется в технике для получения жирных кислот, глицерина, моно- и диацилглицеринов.
2.2. Свойства и преврашения глицерофосфолипидов
В молекуле фосфолипидов имеются заместители двух типов: гидрофильные и гидрофобные. В качестве гидрофильных (полярных) группировок выступают остатки фосфорной кислоты и азотистого основания («голова»), а гидрофобных (неполярных) – углеводородные радикалы («хвосты»). Пространственная структура фосфолипидов представлена на рис 5.3.
Рекомендуемые материалы

Подавляющее большинство фосфолипидов имеет в своем составе остатки одной насыщенной (обычно в положении 1) и одной ненасыщенной (в положении 2) кислоты.
Несмотря на рассмотренное выше структурное многообразие, молекулы большинства фосфолипидов построены по общему принципу. В их состав входят, с одной стороны, гидрофобные, отличающиеся низким сродством к воде, липофильные углеводородные остатки, с другой – гидрофильные группы. Они получили название «полярных головок».
Построенные таким образом амфифильные (обладающие двойным сродством) молекулы липидов легко ориентируются. Гидрофобные хвосты стараются попасть в масляную фазу, гидрофильные группы создают границу раздела между водой и гидрофобной фазой.
В маслах фосфолипиды в зависимости от концентрации могут присутствовать в виде групп ассоциированных молекул – мицелл. При низкой концентрации получаются сферические мицеллы, в которых полярные части молекул образуют внешний слой, а гидрофобные – внутренний; при повышенной концентрации мицеллы группируются в длинные цилиндры. При дальнейшем росте концентрации образуется сферический тип жидкокристаллической структуры – ламеллярная (слоистая), состоящая из бимолекулярных слоев липидов, разделенных слоями воды. Последующее объединение мицелл приводит к выпадению их в виде осадка (фосфатидная эмульсия, «ФУЗ»).
Глицерофосфолипиды – бесцветные вещества, без запаха, хорошо растворимы в жидких углеродах и их галогенпроизводных, отдельные группы различаются растворимостью в спиртах, ацетоне. Они существуют в нескольких полимерных формах и плавятся в две стадии. Обладают оптической активностью. Выделенные из природных объектов фосфолипиды – аморфные вещества, перекристаллизованные из органических растворителей – имеют кристаллическую структуру.
Химические превращения глицерофосфолипидов обусловлены характером и строением структурных компонентов и видами химических связей. Для них характерны реакции гидролиза кислотами и щелочами. Существует несколько видов гидролаз (A1, A2 , B1, B2, C, D), различающихся характером действия на субстрат. Они обнаружены в природных объектах.
Принципиальная схема действия фосфолипаз на фосфолипиды:

Полярные группы молекул фосфолипидов взаимодействуют с полярными группами молекул белков,углеводов, диполями воды.
Некоторая часть фосфолипидов не выделяется из масел или выделяется только с помощью специальных приемов гидратации масел (негидратируемые фосфолипиды). По современным представлениям – это комплексные соединения фосфолипидов с ионами металлов (Ca2+, Mg2+, Cu2+, Fe2+ и Fe3+; последние являются катализаторами процессов окисления), а также соединения со стеролами и алифатическими спиртами.
В результате энзимической и химической модификации в промышленности получают различные виды производных фосфолипидов (лецитинов): гидролизованные лецитины, гидроксилированные, ацилированные с различными гидрофильно-липофильными характеристиками (ГЛБ от 2 до 12). Они нашли широкое применение в пищевой промышленности.
2.3. Гидрирование ацилглицеринов
Гидрирование масел и жиров молекулярным водородом в промышленности проводят при температурах 180-240◦С в присутствии никелированных или медно-никелевых катализаторов, при давлении, как правило, близком к атмосферному. Задача гидрогенизации масел и жиров – целенаправленное изменение жирно кислотного состава исходного жира в результате частичного или полного присоединения водорода к остаткам ненасыщенных жирных кислот, входящим в состав ацилглицеринов подсолнечного, хлопкового, соевого, рапсового и других жидких растительных масел.
Основная химическая реакция, протекающая при гидрогенизации, - присоединение водорода к двойным связям остатков непредельных жирных кислот:

Подбирая соответствующие условия реакции, удастся осуществить этот процесс селективно (избирательно), гидрируя сначала, в основном, ацилы линоленовой кислоты, затем линолевой до олеиновой, а уже потом остатки олеиновой (если это необходимо) до стеариновой кислоты, и получить продукт с заранее заданными свойствами, называемый саломасом:

Процесс гидрирования отдельных ненасыщенных триацилглицеринов может быть представлен следующим уравнении:
Селективность (избирательность) гидрирования объясняется большей скоростью гидрирования ацилов более ненасыщенных кислот. Гидрирование масел и жиров является гетерогенным процессом, протекающим на границе раздела фаз: смесь ацилглицеринов – катализатор. Параллельно с присоединением водорода к двойным связям (гидрирование) на поверхности катализатора происходит смещение С=С-связи (структурная изомеризация, 1) и геометрическая изомеризация (цис-транс-изомеризация, 2).

В отличие от гидрирования, реакции изомеризации (1, 2), идущие на поверхности катализатора, не требуют расхода водорода. Предпочтительное протекание реакций (селективность) по одному из возможных направлений определяется свойствами катализатора и условиями проведения процесса. В процессе гидрогенизации может проходить и частичная переэтерификация. Образующиеся транс-изомеры жирных кислот не метаболизируются в организме человека и по сведениям ряда авторов обладают канцерогенными свойствами.
Если Вам понравилась эта лекция, то понравится и эта - 5 Восточные славяне в Средние века.
2.4. Реакции переэтерификации ацилглицеринов
Большое практическое значение имеет группа реакций, при которых идет обмен ацильных групп (ацильная миграция), приводящий к образованию новых ацилглицеринов. Триацилглицерины при температуре 80-90◦Св присутствии катализаторов (метилат и этилат натрия, натрий и калий, алюмосиликаты) способность обмениваться ацилами (переэтерификация). При этом ацильная миграция как внутри молекулы ацилглицерина (внутримолекулярная переэтерификация), так и между различными молекулами ацилглицеринов (межмолекулярная переэтерификация).

При переэтерификации с участием химических катализаторов состав жирных кислот жира не меняется, происходит их статистическое распределение в смеси триглицеридов, что приводит к изменению физико-химических свойств жировых смесей в результате изменения молекулярного состава. Увеличение числа ацил-глицериновых компонентов в жире приводит к снижению температуры плавления и твердости жира, повышению его пластичности.
Скорость переэтерификации зависит от ацилглицеринового и жирнокислотного состава жира, количества и активности катализатора, температуры.
Переэтерификация высокоплавких животных и растительных жиров с жидкими растительными маслами позволяет получить пищевые пластичные жиры с высоким содержанием линолевой кислоты при отсутствии транс-изомеров жирных кислот. Готовые переэтерифицированные жиры, предназначенные в качестве компонентов маргариновой продукции, имеют следующие показатели: температура плавления 25-35◦С; твердость (при 15◦С) 30-130 г/м; массовая доля твердых триглицеридов (при 20◦С) 6-20%. Переэтерифицированные жиры специального назначения применяются в хлебопочении, при производстве аналогов молочного жира, кондитерского жира, комбинированных жиров и т.д.



















