Пропорционально-интегрально-дифференциальные регуляторы
16. Пропорционально-интегрально-дифференциальные регуляторы. Уравнения динамики для регуляторов с зависимыми и независимыми параметрами настройки. Переходные характеристики. Параметры настройки. Область применения.
Пропорционально-дифференциальные и пропорционально интегрально дифференциальные регуляторы (ПД- и ПИД - регуляторы). В ряде случаев качество регулирования можно повысить введением в закон регулирования составляющей, пропорциональной первой производной или скорости изменения входной величины регулятора. Эта дифференцирующая составляющая (Д-составляющая) формируется при помощи дополнительного устройства.
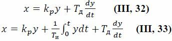
Уравнения динамики ПД- и ПИД - регуляторов имеют вид

где kp— коэффициент передачи регулятора; Ти — время интегрирования; Tд — время дифференцирования.
ПД - регулятор имеет два параметра настройки: предел пропорциональности δ и время дифференцирования Tд. ПИД - регулятор имеет три параметра настройки: предел пропорциональности δ, время интегрирования Tи и время дифференцирования Tд. Воздействие входной величины этих регуляторов на выходную повышается с уменьшением предела пропорциональности уменьшением времени интегрирования Tи и увеличением времени дифференцирования Tд.
При наличии Д-составляющей выходная величина регулятора х изменяется с некоторым опережением относительно входной величины, пропорциональным скорости ее изменения dy/dt. С уменьшением производной dy/dt опережающее действие регулятора также уменьшается и полностью прекращается при у = const; поэтому их называют регуляторами с опережением, или предварением.
Влияние Д-составляющей в ПД- и ПИД - регуляторах одинаково, поэтому далее будем рассматривать только ПД - регуляторы.
Влияние введения Д-составляющей в пропорциональный закон регулирования иллюстрируется графиком, приведенным на рис. III-13, где показаны изменение пропорциональной хП и дифференциальной хд составляющих, а также пропорционально-дифференциальной хпд составляющей, т. е. ПД - закона регулирования при непрерывном изменении входной величины у.
Рекомендуемые материалы
время дифференцирования Tд—это отрезок времени, на который выходная величина ПД - регулятора xпд опережает его пропорциональную составляющую xп при изменении входной величины с постоянной скоростью и при условии, что коэффициент передачи регулятора kp равен единице.
Вместе с этой лекцией читают "7. Временные характеристики систем".
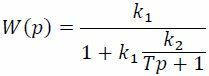
Передаточная функция W(p) такой системы, в соответствии с равенством (I,49) она равна

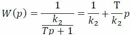
Разделив числитель и знаменатель полученного выражения на k1 и пренебрегая в знаменателе слагаемым 1/k1 получим

Вводя новые обозначения kр=1/k2 и Tд = T/k2, окончательно находим























