Регуляторы двухпозиционные идеальные
15. Регуляторы двухпозиционные идеальные и с зоной неоднозначности. Статические характеристики: математическое описание и графики. Область применения.
Позиционные регуляторы (Пз-регуляторы. ). Позиционными, или релейными, называют регуляторы, у которых при изменении на входе выходная величина может принимать только определенные, заранее известные значения Переход от одного из этих значений к другому происходит очень быстро, практически мгновенно. Они просты по конструкции, надежны в работе, несложны в обслуживании и при настройке.
Наибольшее распространение получили двухпозиционные регуляторы, у которых выходная величина может принимать только два значения: минимальное или максимальное. Иногда такие регуляторы называют регуляторами типа «открыто» — «закрыто».
Таким образом, работа идеального (с однозначной характеристикой) Пз-регулятора может быть представлена в виде:

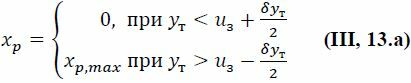
У регулятора с зоной нечувствительности выходная величина х изменяется от 0 до значения хр,max при у = и3+δyt /2 и от значения хр,мах до нуля — при у = и3 - δyt /2 (рис. 7III-3,б). Характеристика такого регулятора выражается следующим образом

В интервале
Бесплатная лекция: "13. Общие сведения о PMOС" также доступна.

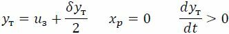
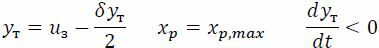
величина хр может принимать два значения (0 и xp,mах) в зависимости от предыдущих значений у. Переход с нижней ветви на верхнюю осуществляется при условиях:

а с верхней ветви на нижнюю — при условиях

Примерами Пз-регуляторов или двухпозиционных устройств могут служить электроконтактный термометр, биметаллический сигнализатор температуры, электроконтактный манометр, пневматическое реле и др.























