Механические характеристики и свойства
1.3. Механические характеристики и основные свойства жидкостей
Основные механические характеристики
Одной из основных механических характеристик жидкости является ее плотность. Плотностью жидкости называют массу жидкости заключенную в единице объема.

Удельным весом называют вес единицы объема жидкости, который определяется по формуле:

С увеличением температуры удельный вес жидкости уменьшается.
Основные физические свойства
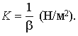
1. Сжимаемость - свойство жидкости изменять свой объем под действием давления. Сжимаемость жидкости характеризуется коэффициентом объемного сжатия, который определяется по формуле
Рекомендуемые материалы

где V - первоначальный объем жидкости,
dV - изменение этого объема, при увеличении давления на величину dP.
Величина обратная βV называется модулем объемной упругости жидкости:

Модуль объемной упругости не постоянен и зависит от давления и температуры. При гидравлических расчетах сжимаемостью жидкости обычно пренебрегают и считают жидкости практически несжимаемыми. Сжатие жидкостей в основном обусловлено сжатием растворенного в них газа.
Надо отметить, что при рассмотрении отдельных вопросов, например гидравлического удара, сжимаемость жидкости следует учитывать.
2. Температурное расширение - относительное изменение объема жидкости при увеличении температуры на 1°С при Р = const. Характеризуется коэффициентом температурного расширения

Поскольку для капельных жидкостей коэффициент температурного расширения ничтожно мал, то при практических расчетах его не учитывают.
3. Сопротивление растяжению. Особыми физическими опытами было показано, что покоящаяся жидкость (в частности вода, ртуть) иногда способна сопротивляться очень большим растягивающим усилиям. Но в обычных условиях такого не происходит, и поэтому считают, что жидкость не способна сопротивляться растягивающим усилиям.
4. Силы поверхностного натяжения - эти силы стремятся придать сферическую форму жидкости. Силы поверхностного натяжения обусловлены поверхностными силами и направлены всегда внутрь рассматриваемого объема перпендикулярно свободной поверхности жидкости. Рассмотрим бесконечно малый объем жидкости на свободной поверхности. На него будут действовать силы со стороны соседних объемов. В результате, если сложить вектора всех сил действующих на рассматриваемый объем, то суммарная составляющая сила будет направлена перпендикулярно внутрь рассматриваемого объема.

Рис. 1.6. Силы поверхностного натяжения
5. Вязкость жидкости - свойство жидкости сопротивляться скольжению или сдвигу ее слоев. Суть ее заключается в возникновении внутренней силы трения между движущимися слоями жидкости, которая определяется по формуле Ньютона

где S - площадь слоев жидкости или стенки, соприкасающейся с жидкостью, м2,
μ- динамический коэффициент вязкости, или сила вязкостного трения,
d /dy - градиент скорости, перпендикулярный к поверхности сдвига.
Отсюда динамическая вязкость равна

где τ - касательные напряжения жидкости, τ = T/S.
При течении вязкой жидкости вдоль твердой стенки происходит торможение потока, обусловленное вязкостью (рис.1.7). Скорость уменьшается по мере уменьшения расстояния y от стенки. При этом при y = 0, скорость падает до нуля, а между слоями происходит проскальзывание, сопровождающееся возникновением касательных напряжений τ.

Рис. 1.7. Профиль скоростей при течении вязкой жидкости вдоль стенки
Величина обратная динамическому коэффициенту вязкости (1/μ) называется текучестью жидкости.
Отношение динамического коэффициента вязкости к плотности жидкости называется кинематическим коэффициентом вязкости:

Величина ν (произносится "ню") равная 1см²/с называется стоксом (Ст), а 0,01 Ст - 1 сантистоксом (сСт).
Процесс определения вязкости называется вискозиметрией, а приборы, которыми она определяется вискозиметрами. Помимо оценки вязкости с помощью динамического и кинематического коэффициентов пользуются условной вязкостью - градусы Энглера ( Е). Вязкостью, выраженной в градусах Энглера, называется отношение времени истечения 200 см³ испытуемой жидкости через капилляр d = 2,8 мм к времени истечения такого же объема воды при t = 20 С

Такой прибор называется вискозиметром Энглера. Для пересчета градусов Энглера в стоксы для минеральных масел применяется формула

Таким образом, для оценки вязкости жидкости можно использовать три величины, которые связаны межу собой

Рис. 1.8. Способы оценки вязкости жидкости
Вязкость жидкости зависит от температуры и от давления. При повышении температуры вязкость жидкости уменьшается и наоборот. У газов наблюдается обратное явление: с повышением температуры вязкость увеличивается, с понижением температуры - уменьшается.
6. Пенообразование. Выделение воздуха из рабочей жидкости при падении давления может вызвать пенообразование. На интенсивность пенообразования оказывает влияние содержащаяся в рабочей жидкости вода: даже при ничтожном количестве воды (менее 0,1% по массе рабочей жидкости) возникает устойчивая пена. Образование и стойкость пены зависят от типа рабочей жидкости, от ее температуры и размеров пузырьков, от материалов и покрытий гидроаппаратуры. Особенно пенообразование происходит интенсивно в загрязненных жидкостях и бывших в эксплуатации. При температуре жидкости свыше 70 С происходит быстрый спад пены.
7. Химическая и механическая стойкость. Характеризует способность жидкости сохранять свои первоначальные физические свойства при эксплуатации и хранении.
Окисление жидкости сопровождается выпадением из нее смол и шлаков, которые откладываются на поверхности элементов гидропривода в виде твердого налета. Снижается вязкость и изменяется цвет жидкости. Продукты окисления вызывают коррозию металлов и уменьшают надежность работы гидроаппаратуры. Налет вызывает заклинивание подвижных соединений, плунжерных пар, дросселирующих отверстий, разрушение уплотнений и разгерметизацию гидросистемы.
Вам также может быть полезна лекция "4. Производственное освещение".
8. Совместимость. Совместимость рабочих жидкостей с конструкционными материалами и особенно с материалами уплотнений имеет очень большое значение. Рабочие жидкости на нефтяной основе совместимы со всеми металлами, применяемыми в гидромашиностроении, и плохо совместимы с уплотнениями, изготовленными из синтетической резины и из кожи. Синтетические рабочие жидкости плохо совмещаются с некоторыми конструкционными материалами и не совместимы с уплотнениями из маслостойкой резины.
9. Испаряемость жидкости. Испаряемость свойственна всем капельным жидкостям, однако интенсивность испарения неодинакова у различных жидкостей и зависит от условий в которых она находится: от температуры, от площади испарения, от давления, и от скорости движения газообразной среды над свободной поверхностью жидкости (от ветра).
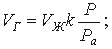
10. Растворимость газов в жидкостях характеризуется объемом растворенного газа в единице объема жидкости и определяется по закону Генри:

где VГ - объем растворенного газа; VЖ - объем жидкости; k - коэффициент растворимости; Р - давление; Ра - атмосферное давление.
Коэффициент k имеет следующие значения при 20 С: для воды 0,016, керосина 0,13, минеральных масел 0,08, жидкости АМГ-10 - 0,1. При понижении давления выделяется растворимый в жидкости газ. Это явление может отрицательно сказываться на работе гидросистем.




















