Математическая модель изменения уровня жидкости
13. Математическая модель изменения уровня жидкости в резервуаре, из которого жидкость отводится самотёком. Переходные процессы в объекте.
Устойчивые объекты 1-го порядка. Если жидкость из рассмотренного выше резервуара не откачивать насосом, а отводить самотеком по трубопроводу, на котором имеется дополнительное гидравлическое сопротивление, например вентиль, то при рассогласовании потоков на входе и выходе регулируемая величина (уровень) будет самостоятельно устанавливаться в новом равновесном состоянии.
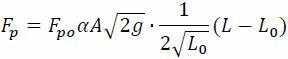
При ступенчатом увеличении притока жидкости Fпр а величину ΔF (рис. II-6) уровень L в аппарате в первый момент начнет изменяться, как и в случае нейтрального объекта (см. пунктир), со скоростью определяемой равенством (II,9). Но при повышении уровня возрастает гидростатический напор, что в свою очередь увеличит расход жидкости из аппарата Fp; его зависимость от уровня L:

где α — коэффициент расхода вентиля; А — площадь его проходного сечения; g — ускорение свободного падения.

Рис. II-6. Графическое изменение Fпр и Fр в устойчивом объекте первого порядка (а) и его переходная характеристика (б).
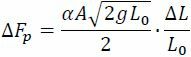
С увеличением Fp величина возмущения ΔF = Fпр—Fp, а, следовательно, и скорость изменения уровня уменьшаются. Со временем расход жидкости постепенно достигнет текущего значения притока, повышение ее уровня, изменяющегося по экспоненте, прекратится и наступит новое равновесное состояние объекта, но при более высоком значении уровня L∞. Аналогичным образом при ступенчатом уменьшении Fnp уровень L начнет понижаться, что обусловит уменьшение расхода Fp, вследствие уменьшения гидростатического напора. Со временем между расходом и притоком жидкости восстанавливается равенство, но при более низком уровне.
Устойчивость объектов объясняется наличием в них отрицательной обратной связи. В частности, в рассматриваемом объекте обратная связь определяется равенством (II,18).
Рекомендуемые материалы
Для нахождения передаточной функции звена обратной связи линеаризуем зависимость (II,18), разлагая ее в ряд Тейлора в окрестности точки с координатами (Lo, Fpo)

Откуда

Учитывая равенства (II,10) и (II,18), окончательно получим:

где koc= 1/2.
Таким образом, в данном случае обратная связь соответствует усилительному звену с коэффициентом усиления 1/2.
Структурная схема устойчивого объекта 1-го порядка приведена на рис. II-7. Интегрирующее звено с передаточной функцией 1/Тεр охватывается звеном отрицательной обратной связи с передаточной функцией kос. Передаточная функция такого объекта имеет вид

где k=1/koc — коэффициент усиления объекта; T0 = Tε/kос - постоянная времени объекта, под которой понимают время, в течение которого выходная величина достигла бы своего нового установившегося значения, если бы она изменялась с постоянной скоростью, равной скорости ее изменения в начальный момент времени. При t = T0 выходная величина составляет 63% нового установившегося значения. Постоянная времени объекта определяется как проекция на ось времени отрезка касательной к экспоненте, заключенного между точкой касания и точкой пересечения касательной с линией установившегося значения выходной величины (см. рис. II-6,б). Длина этой проекции одинакова для касательных, проведенных к любой точке экспоненты.
Постоянная времени объекта То определяет его динамические свойства. Чем она больше, тем медленнее протекает переходный процесс в объекте, и наоборот.
Рекомендуем посмотреть лекцию "1. Специфика действия рыночного механизма".
В соответствии с передаточной функцией (11,20) уравнение динамики устойчивого объекта первого порядка имеет вид

Переходная характеристика этого объекта аналогично выражению (I,28) будет равна

Таким образом, рассматриваемый объект представляет собой апериодическое звено первого порядка, коэффициент усиления k которого равен величине, обратной коэффициенту усиления обратной связи, а постоянная времени Т0 — отношению времени разгона интегрирующего звена к коэффициенту усиления обратной связи.
Емкостные свойства устойчивых объектов 1-го порядка аналогичны свойствам нейтральных объектов 1-го порядка.





















