Для студентов ИрГУПС (ИрИИТ) по предмету Железнодорожный транспортЭкономика железнодорожного транспортаЭкономика железнодорожного транспорта
5,0053248
2022-10-282022-10-28СтудИзба
Курсовая работа: Экономика железнодорожного транспорта
Описание
Расчетный материал
Определение группы дистанции
1. Расчет производственно-технического штата и фонда заработной платы работников хозяйства сигнализации, централизации и блокировки по техническому обслуживанию существующих и вновь вводимых устройств автоматики и телемеханики
1.1 Расчет производственно-технического штата работников хозяйства сигнализации, централизации и блокировки
1.2 Расчет фонда заработной платы работников хозяйства сигнализации, централизации и блокировки
2. Определение единовременных капитальных затрат на строительство вновь вводимых устройств
3. Расчет эксплуатационных расходов по содержанию существующих и вновь вводимых устройств
4. Расчет экономической эффективности введения новых устройств автоматики и телемеханики
5. Выбор метода обслуживания и организации труда на вновь вводимых устройствах
Список использованных источников
Графический материал
Схема организации технического обслуживания труда на вновь вводимых устройствах
Расчетный материал
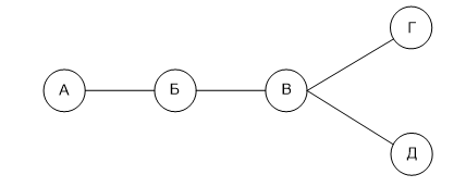
Схема дистанции
Характеристика участков
Техническая оснащенность дистанции устройствами автоматики и телемеханики.
Техническая оснащенность станции
Таблица 4.Расчет количества баллов дистанции
Определение группы дистанции
1. Расчет производственно-технического штата и фонда заработной платы работников хозяйства сигнализации, централизации и блокировки по техническому обслуживанию существующих и вновь вводимых устройств автоматики и телемеханики
1.1 Расчет производственно-технического штата работников хозяйства сигнализации, централизации и блокировки
1.2 Расчет фонда заработной платы работников хозяйства сигнализации, централизации и блокировки
2. Определение единовременных капитальных затрат на строительство вновь вводимых устройств
3. Расчет эксплуатационных расходов по содержанию существующих и вновь вводимых устройств
4. Расчет экономической эффективности введения новых устройств автоматики и телемеханики
5. Выбор метода обслуживания и организации труда на вновь вводимых устройствах
Список использованных источников
Графический материал
Схема организации технического обслуживания труда на вновь вводимых устройствах
Расчетный материал
Схема дистанции

Характеристика участков
Наименование участка | Характеристика участка | Система сигнализации | Категория железнодорожных линий |
1 | 2 | 3 | 4 |
А-Б | двухпутный | трехзначная | 2 |
Б-В | двухпутный | четырехзначная | 1 |
В-Г | однопутный | трехзначная | 3 |
В-Д | однопутный | трехзначная | 2 |
Техническая оснащенность дистанции устройствами автоматики и телемеханики.
Техническая оснащенность участков | А-Б | Б-В | В-Г | В-Д |
Автоблокировка | ||||
1 Длина участков | 115 | 121 | 154 | 105 |
2 Среднее расстояние между сигналами, км: | 1,7 | 1,7 | 1,7 | 1,7 |
3 Количество промежуточных станций | 19 | 20 | 22 | 17 |
4 Количество стрелок электрической централизации на одной станции | 12 | 16 | 8 | 12 |
5 Количество переездов: - с автошлагбаумом - без автошлагбаума | 7 9 | 8 10 | 4 6 | 6 8 |
6 Количество светофоров на промежуточных станциях | 286 | 408 | 231 | 245 |
7 Количество приборов: На стрелку На сигнальную точку На переезд с автошлагбаумом На переезд с автоматической переездной сигнализацией | 19320 8400 490 630 | 45000 12000 560 700 | 27500 6800 280 420 | 34000 7200 420 560 |
8 Интенсивность движения – количество пар поездов в сутки | 102 | 102 | 102 | 102 |
9 Длина промежуточных станций, км | 2 | 2 | 2 | 2 |
10 Кабель СЦБ | 5040 | 7200 | 4080 | 4320 |
11 Количество приборов: На стрелку На сигнальную точку На переезд с автошлагбаумом На переезд с автоматической переездной сигнализацией | 115 50 70 | 115 50 70 | 115 50 70 | 115 50 70 |
Кабель: На стрелку На сигнальную точку На переезд с автошлагбаумом На переезд с автоматической переездной сигнализацией | 30 1,9 1,5 1,6 | 30 1,9 1,5 1,6 | 30 1,9 1,5 1,6 | 30 1,9 1,5 1,6 |
Техническая оснащенность станции | А | Б | В | Г | Д |
1 | 2 | 3 | 4 | 5 | 6 |
Электрическая централизация | |||||
1 Количество стрелок оборудованных ЭЦ на станции | 48 | 52 | 135 | 62 | 58 |
2 Количество светофоров на станции | 86 | 94 | 243 | 112 | 104 |
3 Количество приборов | 5160 | 5640 | 14580 | 6720 | 6240 |
4 Количество рельсовых цепей | 67 | 73 | 189 | 87 | 81 |
5 Кабель СЦБ | 1440 | 1560 | 4050 | 1860 | 1740 |
6.Среднее расстояние между сигналами | 1,8 | 1,8 | 1,8 | 1,8 | 1,8 |
7 Количество приборов на стрелку | 60 | 60 | 60 | 60 | 60 |
8 Длина рельсовой цепи средняя | 1,4 | 1,4 | 1,4 | 1,4 | 1,4 |
9.Пара/жил (км) на 1 стрелку | 30 | 30 | 30 | 30 | 30 |
Таблица 4.Расчет количества баллов дистанции
Наименование устройств | Количество устройств | Единица измерения | Количество баллов | |
На единицу | Всего | |||
Автоблокировка на однопутном участке | 259 | 10 км | 1.52 | 39,3 |
Автоблокировка на двухпутном участке | 236 | 10 км | 2,45 | 58 |
Стрелки электрической централизации | 447 | 10 стрелок | 1,78 | 79,5 |
Приборы СЦБ | 142560 | 1000 приборов | 0,33 | 47 |
Переездная централизация: - с автошлагбаумом - без автошлагбаума | 25 33 | 10 переездов | 1,6 1,2 | 9,2 7 |
Количество светофоров | 1723 | 10 св-в | 0,28 | 48,2 |
Кабель СЦБ | 31290 | 1000 | 0,03 | 0,9 |
Всего | 289 |
Характеристики курсовой работы
Предмет
Учебное заведение
Просмотров
1
Размер
303 Kb
Список файлов
kursovoy_Zhamsaranova.doc

Если нужен другой вариант работы или отдельная задача из любой работы, пишите в комментарии