Решения задач по производным и дифференциалам
Ответы к тесту/контрольной: Производные и дифференциальное исчисление: решения типовых задач
КОНТРОЛЬНАЯ РАБОТА №2
по дисциплине «Математика»
Вариант 7
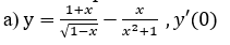
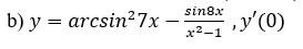
Задание 1
Найдите производные от данных функций:
Задание 2
Задание 3
Задание 4
Задание 5
Найдите f ′(x, y). Вычислите f ′(0, 0).
Задание 6
Дана функция u = 6 ln(xz + y^2- 1) .
Найдите: а) координаты вектора grad u в точке M(2, 1, 3);
б) ∂u/∂a в точке M в направлении вектора a{−3,−2, 6}
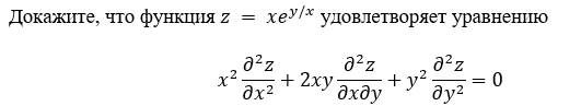
Задание 7
Задание 8
Функция z = z(x, y) задана неявно уравнением F(x,y,z)=x ^2-2y^2+ 3z^2- yz + y = 0.
Задание 9
К графику функции f (x) = cos 2/3 x в точке с абсциссой x = - π/2 проведена касательная. Найдите острый угол (в градусах) между касательной и осью OX.
Задание 10
Найдите dy, если
Вычислите значение dy, если x0 = 1, ∆x = 0,01.
Задание 11
Дана функция z = 3x^2+2y^2-xy и точки M0(−1, 3) и M1(−0,98; 2,97). Вычислите ∆z и dz при переходе из точки M0 в точку M1 (ответы округлить до сотых).
Задание 12
Дана функция y = x - 4 √x + 5. Найдите её наибольшее и наименьшее значения на отрезке [1, 9].
Задание 13
Дана функция z = √(3 - x^2 - 2y^2 ) . Найдите её наибольшее и наименьшее значения в круге x^2 + y^2 ⩽ 1.
Задание 14
Проведите полное исследование функции y = (x^2 - 6x + 3)/(x - 3) и начертите её график.Показать/скрыть дополнительное описание
по дисциплине «Математика»
Вариант 7
Задание 1
Найдите производные от данных функций:
Задание 2
Задание 3
Задание 4
Задание 5
Найдите f ′(x, y). Вычислите f ′(0, 0). Задание 6
Дана функция u = 6 ln(xz + y^2- 1) .
Найдите: а) координаты вектора grad u в точке M(2, 1, 3);
б) ∂u/∂a в точке M в направлении вектора a{−3,−2, 6}
Задание 7
Задание 8
Функция z = z(x, y) задана неявно уравнением F(x,y,z)=x ^2-2y^2+ 3z^2- yz + y = 0.
Задание 9
К графику функции f (x) = cos 2/3 x в точке с абсциссой x = - π/2 проведена касательная. Найдите острый угол (в градусах) между касательной и осью OX.
Задание 10
Найдите dy, если
Вычислите значение dy, если x0 = 1, ∆x = 0,01. Задание 11
Дана функция z = 3x^2+2y^2-xy и точки M0(−1, 3) и M1(−0,98; 2,97). Вычислите ∆z и dz при переходе из точки M0 в точку M1 (ответы округлить до сотых).
Задание 12
Дана функция y = x - 4 √x + 5. Найдите её наибольшее и наименьшее значения на отрезке [1, 9].
Задание 13
Дана функция z = √(3 - x^2 - 2y^2 ) . Найдите её наибольшее и наименьшее значения в круге x^2 + y^2 ⩽ 1.
Задание 14
Проведите полное исследование функции y = (x^2 - 6x + 3)/(x - 3) и начертите её график.Показать/скрыть дополнительное описание
Контрольная содержит задачи на дифференцирование (включая частные и направленные производные), дифференциалы, неявную дифференциацию, оптимизацию и полный анализ функции. Внутри — пошаговые решения и итоговые ответы, пригодные для студентов технических специальностей..
Характеристики ответов (шпаргалок) к КР
Предмет
Учебное заведение
Семестр
Просмотров
1
Размер
95,92 Kb
Список файлов
Контрольная_работа2_по_высшей_математике.docx
🎓 Никольский - Помощь студентам 📚 Любые виды работ: тесты, сессии под ключ, практики, курсовые и дипломные с гарантией результата ✅ Все услуги под ключ ✅ Знаем все тонкости именно вашего ВУЗа ✅ Сдадим или вернем деньги
Комментарии
Нет комментариев
Стань первым, кто что-нибудь напишет!
ТУСУР
nikolskypomosh















