Для студентов МФПУ «Синергия» по предмету Высшая математикаВысшая математикаВысшая математика
5,0057
2026-01-152026-01-16СтудИзба
Ответы к экзамену: Высшая математика
Новинка
Описание
В файле предоставлены только ответы на итоговый тест без решений! Внимательно читайте задания! Уравнения представлены в виде картинок.
![]()
![]()
![]()
![]()
![]()
![]()
![]()
Если вектор a{3, -4, 5} умноить на число 6, тогда сумма координат вектора 6a будет равна ...![]()
![]()
![]()
![]()
![]()
- Прямая, проходящая через основания перпендикуляра и наклонной, называется …
- Сумма координат нормального вектора плоскости 2x-y+3z-2=0 равна …
- Ордината точки пересечения прямых y1=2x+1 и y2=-2x+3 равна …
- Сумма координат точки пересечения прямых y1=3x+2 и y2=-2x+3 равна …
- Косинус угла между прямыми y1=-2x+5 и y2=2x-2 равен …
- Дистрибутивность (*) умножения справа относительно сложения матриц выглядит так: …
- Числовой множитель можно … за знак транспонирования
- Если какая-либо строка (столбец) матрицы состоит из одних нулей, то ее определитель равен …
- Если элементы двух строк (столбцов) матрицы …, то определитель равен нулю
- Матрица А называется …, если ее определитель отличен от нуля
- Ранг матрицы при элементарных преобразованиях …
- Базисным минором матрицы называется всякий отличный от нуля минор, порядок которого равен … матрицы
- Матрица, дважды транспонированная, равна …
- Пусть дана матрица A = (3; - 2 и -1; 5), тогда вторая степень матрицы A(A2)равна ...

- Пусть дана матрица A= ( 2;3;-4 и 5; -6; -7 и 8; 9; 1), тогда определитель матрицы равен ...
![]()
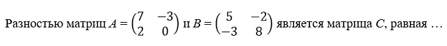
- Разностью матриц A = ( 7;-3 и 2;0) B= ( 5; -2 и -3;8) является матрица C, равная ...

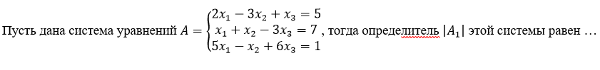
- Пусть дана система уравнений A = { 2x1 - 3x2 + x3 = 5 ; x1 + x2 - 3x3 = 7 ; 5x1- x2 - 6x3 = 1 тогда определитель |A1| этой системы равен ...

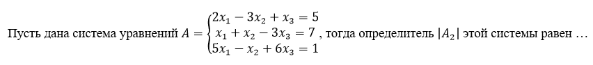
- Пусть дана система уравнений A = { 2x1 - 3x2 + x3 = 5 ; x1 + x2 - 3x3 = 7 ; 5x1- x2 - 6x3 = 1 тогда определитель |A2| этой системы равен ...

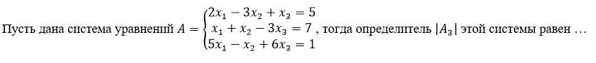
- Пусть дана система уравнений A = { 2x1 - 3x2 + x3 = 5 ; x1 + x2 - 3x3 = 7 ; 5x1- x2 - 6x3 = 1 тогда определитель |A3| этой системы равен ...

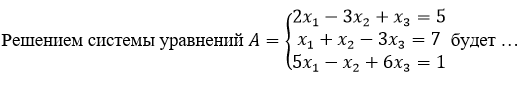
- Решением системы уравнений A = { 2x1 - 3x2 + x3 = 5 ; x1 + x2 - 3x3 = 7 ; 5x1- x2 - 6x3 = 1 будет ...

- Вектор a {4, -8, 11} имеет длину, равную ...

- Сумма координат вектора a=2I + 3J - k равна ...
Если вектор a{3, -4, 5} умноить на число 6, тогда сумма координат вектора 6a будет равна ...

- Векторное произведение векторов a{1, 2, 3} b {6, 7, 8} равно ...

- Расстояние от точки A(1, - 4) до прямой y= 43x - 4 равно ...

- Говоря о взаимном расположении прямых y1 - 7x - 3 и y2 = -17x +3 на плоскости, можно утверждать, что эти прямые ...

- Если уравнение плоскости задано точкой A(-2, 2,8) и нормалью N( 1,2,3), то коэффициент при переменной y в данном уравнении равен ...

Характеристики ответов (шпаргалок) к экзамену
Предмет
Учебное заведение
Семестр
Просмотров
3
Размер
120,23 Kb
Список файлов
итоговый тест..ODT

❓ Как копировать вопросы во время теста в Синергии?
Комментарии
Нет комментариев
Стань первым, кто что-нибудь напишет!

МФПУ «Синергия»
uranchan20

















