Для студентов СПбПУ Петра Великого по предмету Вычислительная математикаРешение систем линейных алгебраических уравненийРешение систем линейных алгебраических уравнений
5,00512
2023-02-102023-02-10СтудИзба
Лабораторная работа 4: Решение систем линейных алгебраических уравнений вариант 2
Описание
Цель работы
Целью работы является изучение численных методов решения систем линейных уравнений. В настоящей работе рассматривается метод Гаусса и итерационный метод решения систем уравнений.
Задание
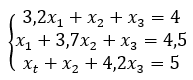
Решить систему уравнений методом Гаусса и методом Зейделя.
Показать/скрыть дополнительное описание
Целью работы является изучение численных методов решения систем линейных уравнений. В настоящей работе рассматривается метод Гаусса и итерационный метод решения систем уравнений.
Задание
Решить систему уравнений методом Гаусса и методом Зейделя.

Вычислительная математика Решение систем линейных алгебраических уравнений MathCad .
Характеристики лабораторной работы
Предмет
Учебное заведение
Семестр
Номер задания
Вариант
Просмотров
2
Качество
Идеальное компьютерное
Размер
403,36 Kb
Список файлов
4.docx
Решение систем линейных уравнений.xmcd