Для студентов СПбПУ Петра Великого по предмету Вычислительная математикаРешение краевой задачиРешение краевой задачи
5,0053158
2022-11-122022-11-12СтудИзба
Лабораторная работа 8: Решение краевой задачи
Описание
Целью работы является закрепление знаний, полученных в лекционном курсе «Вычислительная математика» по разделу «Решение краевых задач», приобретение навыков использования соответствующих численных методов с применением программных средств автоматизации вычислений.
Задание
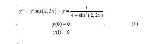
Методами конечных разностей и прогонки найти решение (таблица 1) краевой задачи на отрезке [a;b] (значения a и b указаны в краевых условиях) с шагом , n = 10 (число промежутков).
![]()
Задание
Методами конечных разностей и прогонки найти решение (таблица 1) краевой задачи на отрезке [a;b] (значения a и b указаны в краевых условиях) с шагом , n = 10 (число промежутков).

Характеристики лабораторной работы
Предмет
Учебное заведение
Номер задания
Просмотров
1
Размер
1018,7 Kb
Список файлов
Лабораторная работа 8.docx
Задание (5).xmcd

Если нужен другой вариант работы или отдельная задача из любой работы, пишите в комментарии