Для студентов СПбПУ Петра Великого по предмету Вычислительная математикаРешение систем линейных алгебраических уравненийРешение систем линейных алгебраических уравнений
5,0053158
2022-11-112022-11-11СтудИзба
Лабораторная работа 5: Решение систем линейных алгебраических уравнений вариант 3
Описание
Цель работы - изучение численных методов решения систем линейных уравнений (метода Гаусса и итерационного метода решения систем уравнений).
Задание
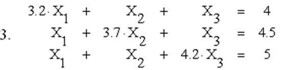
Решить систему уравнений методом Гаусса и методом Зейделя
![]()
Задание
Решить систему уравнений методом Гаусса и методом Зейделя

Характеристики лабораторной работы
Предмет
Учебное заведение
Номер задания
Вариант
Просмотров
2
Размер
378,64 Kb
Список файлов
7 (метод Зейделя).xmcd
7 (метод Гаусса).xmcd
7.docx

Если нужен другой вариант работы или отдельная задача из любой работы, пишите в комментарии