Для студентов СПбПУ Петра Великого по предмету Вычислительная математикаРешение задачи Дирихле для уравнения Лапласа методом сетокРешение задачи Дирихле для уравнения Лапласа методом сеток
5,0053132
2022-11-122022-11-12СтудИзба
Лабораторная работа 9: Решение задачи Дирихле для уравнения Лапласа методом сеток вариант 1
Описание
Целью работы является закрепление знаний, полученных в лекционном курсе «Вычислительная математика» по разделу «Численные методы решения дифференциальных уравнений в частных производных», приобретение навыков использования соответствующих численных методов с применением программных средств автоматизации вычислений.
Задание
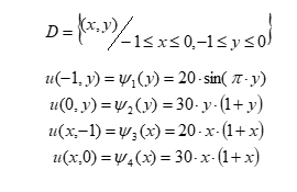
Найти приближенное решение уравнения Лапласа в заданной области с указанными граничными условиями, принять h1 = h2 = 0,1.
![]()
Задание
Найти приближенное решение уравнения Лапласа в заданной области с указанными граничными условиями, принять h1 = h2 = 0,1.

Характеристики лабораторной работы
Предмет
Учебное заведение
Номер задания
Вариант
Просмотров
1
Размер
341,34 Kb
Список файлов
Лабораторная работа №9.docx
Лабораторная работа №9.xmcd

Если нужен другой вариант работы или отдельная задача из любой работы, пишите в комментарии