Для студентов СПбПУ Петра Великого по предмету Вычислительная математикаРешение систем линейных алгебраических уравненийРешение систем линейных алгебраических уравнений
5,0053116
2022-11-112022-11-11СтудИзба
Лабораторная работа 5: Решение систем линейных алгебраических уравнений вариант 22
Описание
Цель работы - изучение численных методов решения систем линейных уравнений (метода Гаусса и итерационного метода решения систем уравнений).
Задание
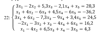
Решить систему уравнений методом Гаусса и методом Зейделя
![]()
Задание
Решить систему уравнений методом Гаусса и методом Зейделя

Характеристики лабораторной работы
Предмет
Учебное заведение
Номер задания
Вариант
Просмотров
1
Размер
857,35 Kb
Список файлов
7 (метод Зейделя) МОЙ (22).xmcd
7 (метод Гаусса) МОЙ (22).xmcd
1 (6).xmcd
5.docx

Если нужен другой вариант работы или отдельная задача из любой работы, пишите в комментарии