Для студентов СПбПУ Петра Великого по предмету Вычислительная математикаПрограммирование в среде MathCadПрограммирование в среде MathCad
5,0053151
2022-11-112022-11-11СтудИзба
Лабораторная работа 1: Программирование в среде MathCad вариант 8
Описание
Цель работы – приобретение умений программирования в среде MathCad.
Задание
Разработать программу для:
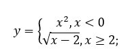
a) вычисления значений кусочной функции на интервале аргумента [-4, 4] с шагом 0,5
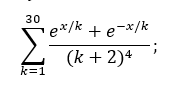
б) вычисление конечной суммы
в) для заданного массива (вектор-столбца) найти сколько положительных и сколько отрицательных элементов.
Задание
Разработать программу для:
a) вычисления значений кусочной функции на интервале аргумента [-4, 4] с шагом 0,5


Характеристики лабораторной работы
Предмет
Учебное заведение
Номер задания
Вариант
Просмотров
3
Размер
81,92 Kb
Список файлов
Лабораторная работа №1 (Вариант №8).xmcd
Лабораторная работа №1 (Вариант №8).docx

Если нужен другой вариант работы или отдельная задача из любой работы, пишите в комментарии