Для студентов по предмету Векторный и тензорный анализДаны вектора:Даны вектора:
5,0053251
2025-04-092025-04-09СтудИзба
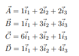
ДЗ: Даны вектора:
Описание
Даны вектора:
1) Найти суммы и разности векторов (A⃗ + B⃗ + D⃗ ) и (A⃗ − B⃗ − D⃗ )
2) Найти модули векторов A⃗ + B⃗ + D⃗ ) и (A⃗ − B⃗ − D⃗ )
3) Найти углы, которые составляют векторы A⃗, D⃗ с осями координат
4) Найти скалярное произведение суммы двух первых векторов на разность двух первых векторов на разность двух последующих.
5) Найти угол, который образует вектор A⃗ с вектором C⃗ .
6) Проекцию вектора A⃗ на направление вектора D
7) Векторное произведение [A⃗ × C⃗ ] и угол, который оно образует с вектором D⃗ .
8) Найти площадь параллелограмма, построенного на векторах A⃗ и D⃗
9) Образуют ли векторы A⃗, B⃗ , C⃗ базис?
10) Какую систему (правую или левую) образуют векторы D⃗ , B⃗ , C⃗ .
11) Найти объем параллелепипеда, построенного на векторах A⃗, B⃗ , C⃗ .
12) Проверить, может ли следующая тройка векторов образовать базис

1) Найти суммы и разности векторов (A⃗ + B⃗ + D⃗ ) и (A⃗ − B⃗ − D⃗ )
2) Найти модули векторов A⃗ + B⃗ + D⃗ ) и (A⃗ − B⃗ − D⃗ )
3) Найти углы, которые составляют векторы A⃗, D⃗ с осями координат
4) Найти скалярное произведение суммы двух первых векторов на разность двух первых векторов на разность двух последующих.
5) Найти угол, который образует вектор A⃗ с вектором C⃗ .
6) Проекцию вектора A⃗ на направление вектора D
7) Векторное произведение [A⃗ × C⃗ ] и угол, который оно образует с вектором D⃗ .
8) Найти площадь параллелограмма, построенного на векторах A⃗ и D⃗
9) Образуют ли векторы A⃗, B⃗ , C⃗ базис?
10) Какую систему (правую или левую) образуют векторы D⃗ , B⃗ , C⃗ .
11) Найти объем параллелепипеда, построенного на векторах A⃗, B⃗ , C⃗ .
12) Проверить, может ли следующая тройка векторов образовать базис
Характеристики домашнего задания
Предмет
Просмотров
1
Качество
Идеальное компьютерное
Размер
129,5 Kb
Список файлов
059b8b67-6d58-4a5b-abcd-e3a9339caf9e.pdf

Если нужен другой вариант работы или отдельная задача из любой работы, пишите в комментарии