Для студентов МГТУ им. Н.Э.Баумана по предмету Термовакуумные процессы и оборудование (МТ-11)Задача 2 вариант 68. По горизонтальному трубопроводу диаметром 52х2 мм движется воздух с температурой 90⁰С со скоростью 5,1 м/с.Задача 2 вариант 68. По горизонтальному трубопроводу диаметром 52х2 мм движется воздух с температурой 90⁰С со скоростью 5,1 м/с.
4,9755508
2022-05-282022-05-28СтудИзба
Задача 2 вариант 68. По горизонтальному трубопроводу диаметром 52х2 мм движется воздух с температурой 90⁰С со скоростью 5,1 м/с.
Описание
Не только копировать, а нужно понимать!
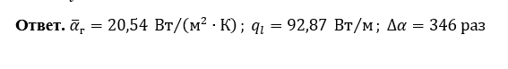
Задача 2. По горизонтальному трубопроводу диаметром 52х2 мм движется воздух с температурой 90⁰С со скоростью 5,1 м/с. Температура стенки трубы 60⁰С. Определить коэффициент теплоотдачи от воздуха к трубе и линейную плотность отдаваемого теплового потока. Во сколько раз изменится коэффициент теплоотдачи, если воздух заменить водой, протекающей со скоростью 1,6 м/с, а остальные условия оставить прежними?


Характеристики решённой задачи
Учебное заведение
Семестр
Номер задания
Вариант
Программы
Теги
Просмотров
4
Качество
Идеальное компьютерное
Размер
53,62 Kb
Список файлов
ДЗ_2 - Copy (2).docx

Привет всем! Я автор на Студизбе. Я надеюсь что, не только дам Вам файлы с ответом но и знание. Не только копировать, а нужно понимать! Вставьте 5 звезд и позитивные комментарии сразу дам Вам подарок