Для студентов СПбПУ Петра Великого по предмету Теория оптимизацииЭкстремальные задачиЭкстремальные задачи
5,0053217
2023-12-202023-12-20СтудИзба
Лабораторная работа 2: Экстремальные задачи вариант 4
Описание
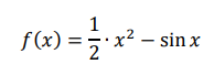
Вычислить указанное минимальное значение функции на отрезке [1.5; 2], используя следующие методы:
• метод средней точки (поиск Больцано);
• метод Ньютона-Рафсона;
• метод секущих.
Точку оптимума определить с точностью не менее 10−4. Привести код программы. Указать число шагов, при котором достигается требуемая точность (в таблице).
• метод средней точки (поиск Больцано);
• метод Ньютона-Рафсона;
• метод секущих.

Характеристики лабораторной работы
Предмет
Учебное заведение
Номер задания
Вариант
Просмотров
1
Качество
Идеальное компьютерное
Размер
178,62 Kb
Список файлов
Лаб2_ЖернаковАА (1).pdf

Если нужен другой вариант работы или отдельная задача из любой работы, пишите в комментарии