Для студентов СПбПУ Петра Великого по предмету Теория оптимизацииЭкстремальные задачиЭкстремальные задачи
5,0053191
2023-12-202023-12-20СтудИзба
Лабораторная работа 1: Экстремальные задачи
Описание
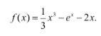
1) Найти аналитически стационарные точки, проверить их на экстремальность, а также определить все локальные и глобальные минимумы и максимумы в приведенном ниже примере и подтвердить их характер графиками функций:
2) Вычислить указанное минимальное значение функции на отрезке [0.5; 1], используя следующие методы первого порядка:
• метод установления границ интервала (метод Свенна);
• метод половинного деления;
• метод золотого сечения;
• метод равномерного поиска.
Точку оптимума определить с точностью не менее 10−4 . Построить график функции на отрезке. Привести код программы. Указать число шагов, при котором достигается требуемая точность (в таблице).
![]()

• метод установления границ интервала (метод Свенна);
• метод половинного деления;
• метод золотого сечения;
• метод равномерного поиска.
Точку оптимума определить с точностью не менее 10−4 . Построить график функции на отрезке. Привести код программы. Указать число шагов, при котором достигается требуемая точность (в таблице).

Характеристики лабораторной работы
Предмет
Учебное заведение
Номер задания
Просмотров
1
Качество
Идеальное компьютерное
Размер
212,79 Kb
Список файлов
Расчётная работа №1.docx

Если нужен другой вариант работы или отдельная задача из любой работы, пишите в комментарии