Для студентов МГТУ им. Н.Э.Баумана по предмету Теория механизмов и машин (ТММ)48В - Проектирование и исследование механизмов судовой силовой установки48В - Проектирование и исследование механизмов судовой силовой установки
5,0051
2021-09-012021-09-01СтудИзба
Другое 48: 48В - Проектирование и исследование механизмов судовой силовой установки вариант В
-61%
Описание
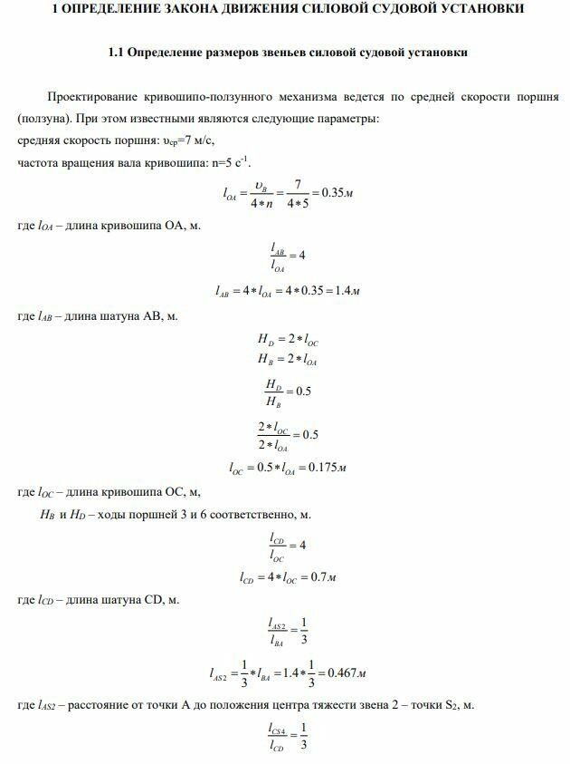
РЕФЕРАТ
В курсовом проекте выполнено проектирование одноцилиндрового нереверсивного двухтактного двигателя судовой силовой установки. Проведено: определения закона установившегося движения; силовой расчет механизма судовой силовой установки; проектирование прямозубой цилиндрической зубчатой передачи; проектирование планетарного реверс-редуктора для хода назад; проектирование кулачкового механизма плунжерного топливного насоса. Расчетно-пояснительная записка содержит 68 листа формата А4; 6 таблиц; курсовой проект выполнен на 4 листах формата А1
ТЕХНИЧЕСКОЕ ЗАДАНИЕ
Назначение, функциональная схема, принцип работы
Задание ОПМ-48В. Проектирование и исследование механизмов судовой силовой установки. Судовая силовая установка состоит из одноцилиндрового нереверсивного двухтактного двигателя внутреннего сгорания с двумя расходящимися поршнями (1, 2, 3, 4-4”, 5-5”, 6) с воспламенением от сжатия, маховика 7, планетарного реверс-редуктора 8, однорядного редуктора 9, гребного вала с винтом 10. Вал двигателя 1 имеет три колена. Среднее колено ОА через шатун АВ 2 сообщает движение нижнему поршню 3, а крайние два колена ОС и ОС”, расположенные под углом 180 градусов к среднему, сообщает через шатуны 5-5” движение верхнему поршню 6 в сторону, противоположенную движения поршня 3. В процессе работы двигателя поршни 3 и 6 то расходятся, то сближаются. Наименьшее расстояние между поршнями определяется по заданной геометрической степени сжатия как отношение наибольшего к наименьшему расстоянию между поршнями
От коленчатого вала 1 движение передается гребному валу через планетарный редуктор 8 (водило, Z1, Z2, Z3, Z4) с фрикционными муфтами L и M и через одноступенчатый редуктор 9 с цилиндрическими прямозубыми колёсами. Для движения судна вперед включается фрикционная муфта L, связывающая колёса Z1 и Z4, вследствие чего водило и колеса Z1, Z2, Z3, Z4 вращаются как одно целое относительно геометрических осей колеса Z1 и водила. Для движения судна назад включается муфта М и отключается муфта L. При этом колесо Z4 останавливается, а колесо Z1 получает вращение в обратную сторону. Для остановки судна обе муфты отключаются. Закон изменения давления газа в цилиндре двигателя при перемещении поршней представлен индикаторной диаграммой, а данные для её построения приведены в таблице 2.
![]()
В курсовом проекте выполнено проектирование одноцилиндрового нереверсивного двухтактного двигателя судовой силовой установки. Проведено: определения закона установившегося движения; силовой расчет механизма судовой силовой установки; проектирование прямозубой цилиндрической зубчатой передачи; проектирование планетарного реверс-редуктора для хода назад; проектирование кулачкового механизма плунжерного топливного насоса. Расчетно-пояснительная записка содержит 68 листа формата А4; 6 таблиц; курсовой проект выполнен на 4 листах формата А1
ТЕХНИЧЕСКОЕ ЗАДАНИЕ
Назначение, функциональная схема, принцип работы
Задание ОПМ-48В. Проектирование и исследование механизмов судовой силовой установки. Судовая силовая установка состоит из одноцилиндрового нереверсивного двухтактного двигателя внутреннего сгорания с двумя расходящимися поршнями (1, 2, 3, 4-4”, 5-5”, 6) с воспламенением от сжатия, маховика 7, планетарного реверс-редуктора 8, однорядного редуктора 9, гребного вала с винтом 10. Вал двигателя 1 имеет три колена. Среднее колено ОА через шатун АВ 2 сообщает движение нижнему поршню 3, а крайние два колена ОС и ОС”, расположенные под углом 180 градусов к среднему, сообщает через шатуны 5-5” движение верхнему поршню 6 в сторону, противоположенную движения поршня 3. В процессе работы двигателя поршни 3 и 6 то расходятся, то сближаются. Наименьшее расстояние между поршнями определяется по заданной геометрической степени сжатия как отношение наибольшего к наименьшему расстоянию между поршнями
От коленчатого вала 1 движение передается гребному валу через планетарный редуктор 8 (водило, Z1, Z2, Z3, Z4) с фрикционными муфтами L и M и через одноступенчатый редуктор 9 с цилиндрическими прямозубыми колёсами. Для движения судна вперед включается фрикционная муфта L, связывающая колёса Z1 и Z4, вследствие чего водило и колеса Z1, Z2, Z3, Z4 вращаются как одно целое относительно геометрических осей колеса Z1 и водила. Для движения судна назад включается муфта М и отключается муфта L. При этом колесо Z4 останавливается, а колесо Z1 получает вращение в обратную сторону. Для остановки судна обе муфты отключаются. Закон изменения давления газа в цилиндре двигателя при перемещении поршней представлен индикаторной диаграммой, а данные для её построения приведены в таблице 2.











Файлы условия, демо
Характеристики учебной работы
Тип
Учебное заведение
Семестр
Номер задания
Вариант
Просмотров
84
Размер
2,12 Mb
Список файлов
Проект № 48В (Проектирование и исследование механизмов судовой силовой установки)
Capture.JPG
Лист 1.pdf
Лист 2.pdf
Лист 3.pdf
Лист 4.pdf
РПЗ.pdf
Расчет 1.pdf
Расчет 2.pdf
Расчет 3.pdf
Расчет 4.pdf

Друзья, спасибо за доверие! Если вам понравилась работа – поставьте 5⭐ и напишите отзыв. Это поможет другим студентам, а мне даст силы делать ещё больше качественных материалов для вас 🔥