Для студентов МГТУ им. Н.Э.Баумана по предмету Теория функций комплексного переменного (ТФКП)Теория функций комплексного переменногоТеория функций комплексного переменного
5,00533
2020-02-152020-02-15СтудИзба
ДЗ 1: Теория функций комплексного переменного вариант 3
Описание
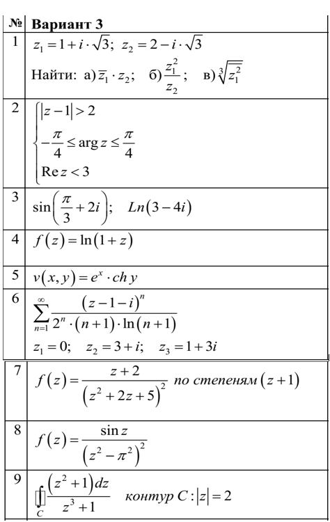
Идеально сделанная и подписанная работа, состоящая из 9-ти задач, условие которых можете проверить на картинке ниже. Также для наглядности прилагаю вторую задачу типовика, чтобы вы посмотрели и оценили качество работы, за которую отдаёте деньги.
![]()
Характеристики домашнего задания
Учебное заведение
Семестр
Номер задания
Вариант
Теги
Просмотров
413
Размер
79,97 Mb
Список файлов
ДЗ №1
1(1).jpg
1(2).jpg
2(1).jpg
3(1).jpg
4(1).jpg
4(2).jpg
4(3).jpg
5(1).jpg
6(1).jpg
6(2).jpg
6(3).jpg
7(1).jpg
7(2).jpg
8(1).jpg
8(2).jpg
8(3).jpg
9(1).jpg
9(2).jpg
10(1).jpg
10(2).jpg
Комментарии
Нет комментариев
Стань первым, кто что-нибудь напишет!
МГТУ им. Н.Э.Баумана


















