ЮУрГУ; Курсовая работа
Описание
Укажите вариант. Могу выполнить любой вариант.
Курсовая работа направлена на получение практических навыков анализа и синтеза динамических систем в рамках курса “Теория автоматического управления”.
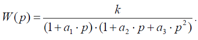
Рассматривается система с последовательным корректирующим устройством вида
В ходе расчетного задания исследуется устойчивость системы без коррекции, определяются прямые показатели качества замкнутой системы. Определяется передаточная функция корректирующего устройства (по методу Солодовникова, изложенному в конспекте лекций) и в дальнейшем производится анализ системы с корректирующим устройством.
Передаточная функция разомкнутой системы без коррекции имеет вид:
В качестве исходных данных проекта задавались значения желаемой относительной статической ошибки , перерегулирование , время переходного процесса max T , максимальное ускорение регулируемой величины при определенном начальном рассогласовании
Показать/скрыть дополнительное описаниеЮУрГУ; Курсовая работа 1. Используя заданную передаточную функцию разомкнутой системы без коррекции вывести передаточную функцию замкнутой системы без коррекции (то есть при W ( p) 1 ку ). 2. Исследовать устойчивость полученной системы с помощью критериев Гурвица и Михайлова. 3. Получить переходный процесс замкнутой системы при единичном ступенчатом входном воздействии и вычислить прямые показатели качества процесса: статическая ошибка, перерегулирование и время переходного процесса. 4. Вывести логарифмическую амплитудную и фазовую частотную характеристику замкнутой системы и показать запасы устойчивости по амплитуде и фазе. 5. Произвести синтез корректирующего устройства в частотной области по заданным желаемым характеристикам скорректированной системы, полученным на основании заданной статической ошибки, времени переходного процесса.
Для этого получить логарифмические частотные характеристики корректирующего устройства, используя исходные логарифмические частотные характеристики нескорректированной системы и желаемые логарифмические частотные характеристики скорректированной системы. Получить по логарифмическим частотным характеристикам корректирующего устройства его передаточную функцию. Для проверки вывести логарифмические частотные характеристики скорректированной системы. 6. Получить переходный процесс замкнутой системы с коррекцией при ступенчатом входном воздействии и вычислить прямые показатели качества процесса: статическая ошибка, перерегулирование и время переходного процесса..
ЮУрГУ
Gabriel













