Для студентов РГУПС по предмету Теоретические основы электротехники (ТОЭ)Расчет несимметричной трехфазной цепиРасчет несимметричной трехфазной цепи
5,00518125
2024-05-162024-05-16СтудИзба
Задача 1: Расчет несимметричной трехфазной цепи вариант 6
Описание
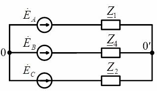
Представлены варианты схем несимметричной трехфазной цепи с симметричными фазными ЭДС. Внутренними сопротивлениями источников, сопротивлениями линейных и нейтрального проводов пренебречь.
Требуется:
1. Определить фазные и линейные токи для заданной схемы соединения приемников.
2. Составить баланс активных, реактивных и полных мощностей источников и приемников.
3. Построить в масштабе векторную диаграмму напряжений и на ней показать векторы токов.
Исходные данные:
Параметры цепи | ||||
Eф, В | Z1, Ом | Z2, Ом | Z3, Ом | Z4, Ом |
380 | 20 +j25 | 35 – j20 | 20 +j20 | 30 – j5 |
Файлы условия, демо
Характеристики решённой задачи
Учебное заведение
Номер задания
Вариант
Программы
Просмотров
5
Качество
Идеальное компьютерное
Размер
286,31 Kb
Список файлов
Задача.docx
