Для студентов МГТУ им. Н.Э.Баумана по предмету Теоретическая механикаПлоская и пространственная статикаПлоская и пространственная статика
2,7859
2023-04-052024-09-04СтудИзба
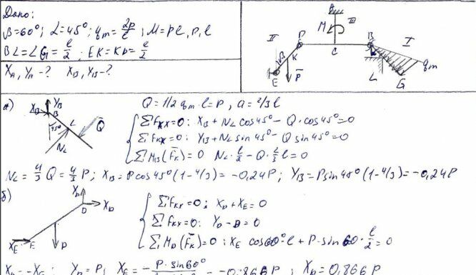
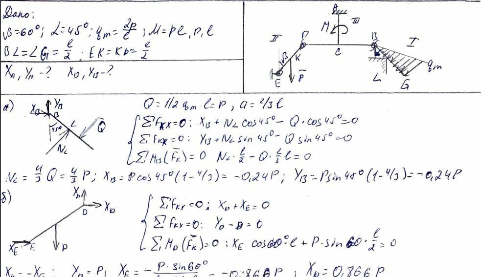
ДЗ 4: Плоская и пространственная статика вариант 11
-55%
Описание
Вариант 11 - ДЗ №4 - Плоская и пространственная статика - 2 Задач
Зачтено на максимальный балл 💥 💥 💥
Спасибо за покупку 🥰🥰


Характеристики домашнего задания
Предмет
Учебное заведение
Семестр
Номер задания
Вариант
Просмотров
247
Размер
522,96 Kb
Список файлов
Вариант 11 - ДЗ №4 - Плоская и пространственная статика.pdf

Друзья, спасибо за доверие! Если вам понравилась работа – поставьте 5⭐ и напишите отзыв. Это поможет другим студентам, а мне даст силы делать ещё больше качественных материалов для вас 🔥