Для студентов МГТУ им. Н.Э.Баумана по предмету Теоретическая механикаКинематика плоского движения твердого телаКинематика плоского движения твердого тела
5,0053
2023-03-192024-09-06СтудИзба
ДЗ 2: Кинематика плоского движения твердого тела вариант 17
-43%
Описание




Вариант 17
Кинематика плоскогодвижения твёрдоготела – задачи с однойстепенью свободы
В каждой из предлагаемых задач рассматривается плоский механизм, занимающий в данный момент времени t = 1 c положение, показанное на рисунке.
Ответить на вопросы, поставленные в задачах, считая, что качение катков по основанию происходит без скольжения.
No | Схема | Условие |
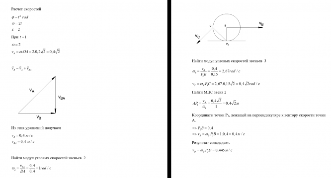
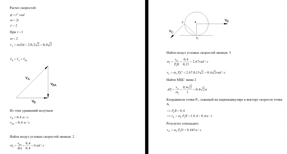
17 | Для данного положения механизма определить скорости и ускорения точек A, B, C и D, угловые скорости и ускорения звеньев 1, 2 и 3, если , АВ = 0,4 м, r = 0,15 м, l = 0,2 м. Скорости и ускорения точек звена 2 проверить с помощью МЦС и МЦУ. |
Показать/скрыть дополнительное описание
Вариант 17 Кинематика плоскогодвижения твёрдоготела – задачи с однойстепенью свободы В каждой из предлагаемых задач рассматривается плоский механизм, занимающий в данный момент времени t = 1 c положение, показанное на рисунке. Ответить на вопросы, поставленные в задачах, считая, что качение катков по основанию происходит без скольжения. No Схема Условие 17 Для данного положения механизма определить скорости и ускорения точек A, B, C и D, угловые скорости и ускорения звеньев 1, 2 и 3, если , АВ = 0,4 м, r = 0,15 м, l = 0,2 м. Скорости и ускорения точек звена 2 проверить с помощью МЦС и МЦУ. .
Характеристики домашнего задания
Предмет
Учебное заведение
Семестр
Номер задания
Вариант
Программы
Просмотров
102
Качество
Идеальное компьютерное
Размер
139,5 Kb
Список файлов
17.docx

Привет всем! Я автор на Студизбе. Я надеюсь что, не только дам Вам файлы с ответом но и знание. Не только копировать, а нужно понимать! Вставьте 5 звезд и позитивные комментарии сразу дам Вам подарок