Для студентов МГТУ им. Н.Э.Баумана по предмету Теоретическая механикаДинамика материальной точкиДинамика материальной точки
5,00510
2022-10-142024-09-03СтудИзба
ДЗ 1: Динамика материальной точки вариант 22
-66%
Описание
Вариант 22 - ДЗ №1 - Динамика материальной точки
Зачтено на максимальный балл
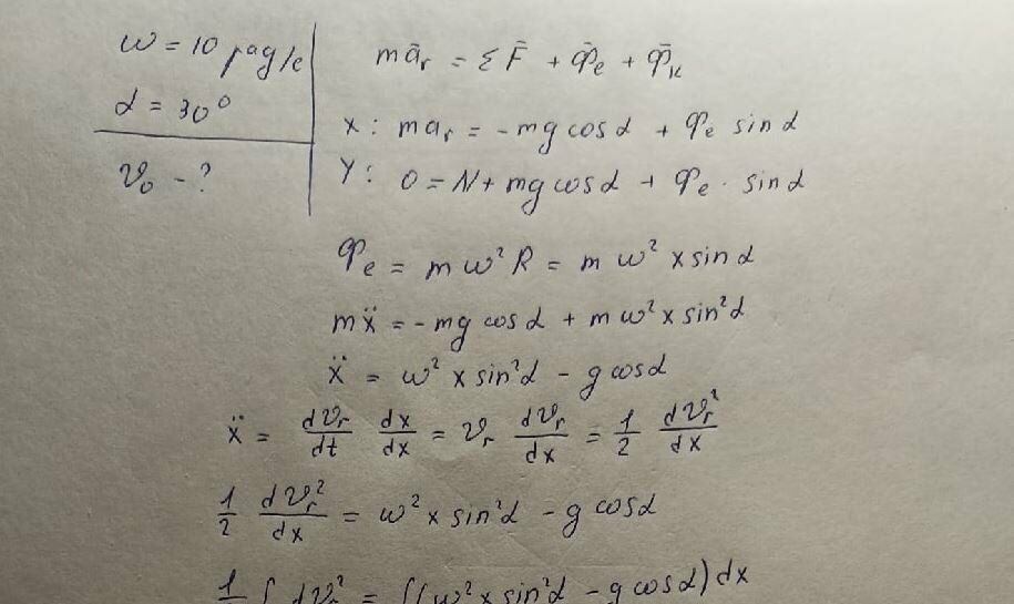
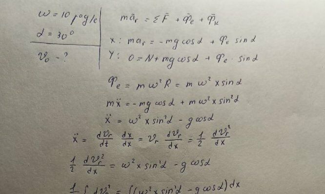
Тело может двигаться внутри гладкой трубки, вращающейся вокруг вертикальной оси с постоянной угловой скоростью ω = 10,0 рад/с. Угол между трубкой и осью вращения α = 30°. Определить, при каком значении начальной относительной скорости v0 тело, начавшее движение от оси вращения, сможет покинуть трубку некоторой конечной длины.Ответ: 1,7 м/с.



Файлы условия, демо
Характеристики домашнего задания
Предмет
Учебное заведение
Семестр
Номер задания
Вариант
Просмотров
353
Размер
1,97 Mb
Список файлов
1.jpg
2.jpg
3.jpg
Capture.JPG
4.jpg
5.jpg

Друзья, спасибо за доверие! Если вам понравилась работа – поставьте 5⭐ и напишите отзыв. Это поможет другим студентам, а мне даст силы делать ещё больше качественных материалов для вас 🔥