Для студентов МГТУ им. Н.Э.Баумана по предмету Теоретическая механикаДинамика материальной точкиДинамика материальной точки
5,00521
2022-03-242024-09-03СтудИзба
ДЗ 1: Динамика материальной точки вариант 7
-66%
Описание
2022г Вариант 7 - ДЗ №1 - Динамика материальной точки
Зачтено на максимальный балл
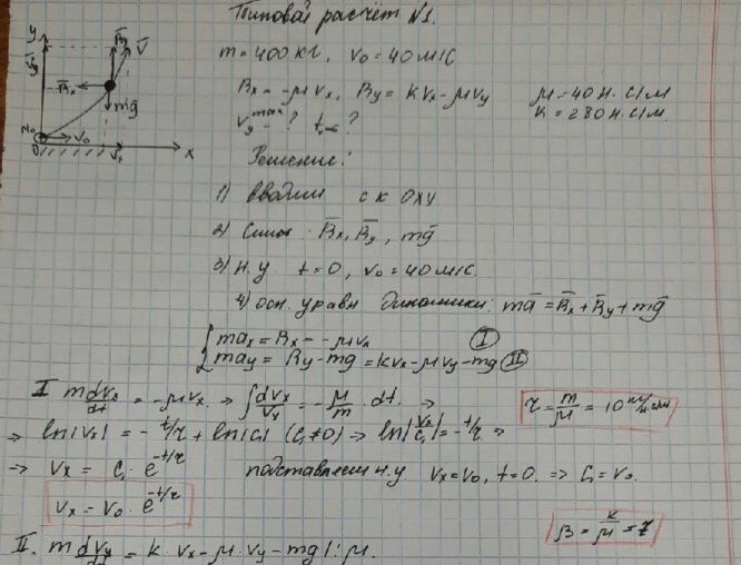
Планер массой т = 400,0 кг стартует с поверхности земли, имея начальную скорость v0 = 40,0 м/с, направленную по горизонтали. Аэродинамические силы, действующие на планер, приводятся к равнодействующей, проекции которой Rx = -μvx , Ry =kvx –μvy . Здесь vx , vy - проекции скорости планера, μ = 40,0 Н·с/м, k = 280,0 Н·с/м - аэродинамические коэффициенты.Определить максимальное значение вертикальной составляющей max y v скорости планера и соответствующее этому моменту время.
О т в е т: 48,2 м, t = 6 с.


Другая работа

Характеристики домашнего задания
Предмет
Учебное заведение
Семестр
Номер задания
Вариант
Просмотров
636
Размер
2,45 Mb
Список файлов
1.jpg
2.jpg
3.jpg
4.jpg
5.jpg
Capture.JPG

Друзья, спасибо за доверие! Если вам понравилась работа – поставьте 5⭐ и напишите отзыв. Это поможет другим студентам, а мне даст силы делать ещё больше качественных материалов для вас 🔥