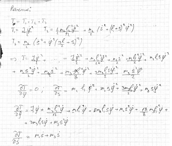
Для студентов МГТУ им. Н.Э.Баумана по предмету Теоретическая механикаУравнения Лагранжа 2-го родаУравнения Лагранжа 2-го рода
4,845100
2021-08-292021-08-29СтудИзба
ДЗ 3: Уравнения Лагранжа 2-го рода вариант 11
Описание
Защищино с легкостью Пожалостину
![]()

Файлы условия, демо
Характеристики домашнего задания
Предмет
Учебное заведение
Семестр
Номер задания
Вариант
Теги
Просмотров
90
Качество
Скан рукописных листов
Размер
3,07 Mb
Список файлов
дзТермех№4 (2).pdf
Комментарии
Нет комментариев
Стань первым, кто что-нибудь напишет!
МГТУ им. Н.Э.Баумана
den_rucomm


















