Для студентов МГТУ им. Н.Э.Баумана по предмету Теоретическая механикаКолебания линейной системы с одной степенью свободыКолебания линейной системы с одной степенью свободы
5,005401
2021-03-192024-09-03СтудИзба
ДЗ 2: Колебания линейной системы с одной степенью свободы вариант 2
-66%
Описание
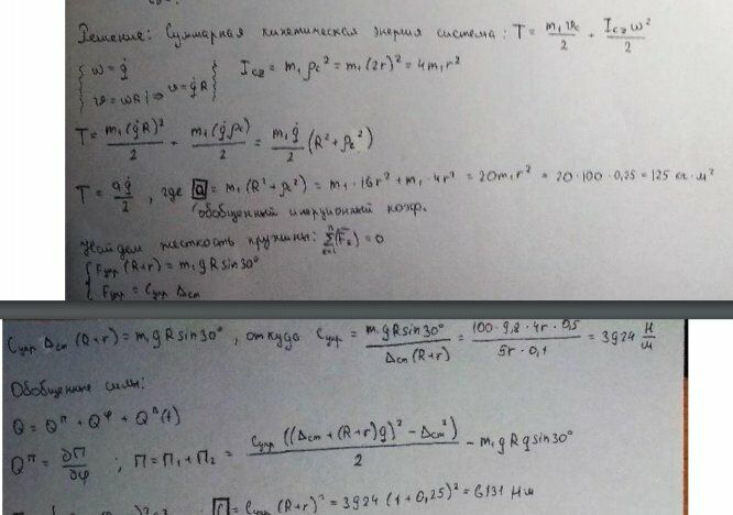
Вариант 2 - ДЗ №4 - Колебания системы с одной степенью свободы - Без графиков
Зачтено на максимальный балл 💥 💥 💥
Спасибо за покупку 🥰🥰🥰




Характеристики домашнего задания
Предмет
Учебное заведение
Семестр
Номер задания
Вариант
Просмотров
712
Размер
439,38 Kb
Список файлов
Вариант 2 - ДЗ №4 - Колебания системы с одной степенью свободы.pdf

Друзья, спасибо за доверие! Если вам понравилась работа – поставьте 5⭐ и напишите отзыв. Это поможет другим студентам, а мне даст силы делать ещё больше качественных материалов для вас 🔥
Комментарии

Отзыв
зря быканул