Для студентов МГТУ им. Н.Э.Баумана по предмету Теоретическая механикаОбщие теоремы динамикиОбщие теоремы динамики
4,46526
2021-03-032024-09-03СтудИзба
ДЗ 2: Общие теоремы динамики вариант 2
-66%
Описание
Вариант 2 - ДЗ №2 - Общие теоремы динамики (бакалавры)
Зачтено на максимальный балл 💥 💥 💥
Спасибо за покупку 🥰🥰🥰
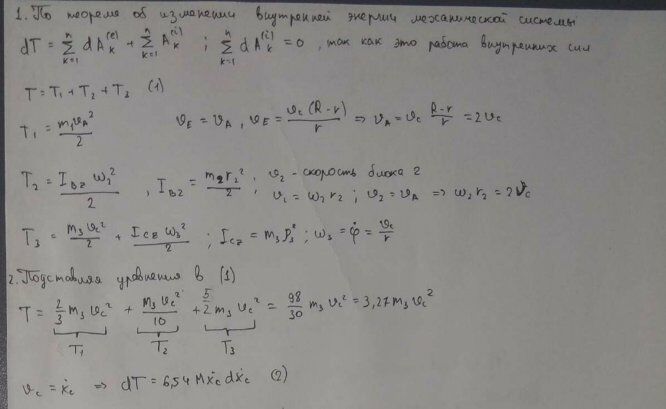
2. Груз 1 массой m1 прикреплен к нерастяжимой нити, переброшенной через блок 2 массой m2 и намотанной на внешнюю ступень катка 3, которая может катиться по наклонным направляющим, образующим угол α с горизонтом. Соотношение внешнего и внутреннего радиусов катка R3 = 3r3, масса катка равна m3, центр масс катка лежит на оси катка, его радиус инерции относительно оси катка ρ3 = 2r3. Коэффициент трения скольжения между катком и наклонными направляющими f = 0,3. Блок 2 считать однородным цилиндром, трением на оси блока, трением качения и массой нити пренебречь. В начальный момент система покоилась. Определить: 1) характер качения катка 3; 2) найти уравнения движения катка 3; 3) определить давление на ось блока. В расчетах принять: m1 = m3/3, m2 = m3/10, m3g = 600 Н, r = 0,1 м, α = 15°.


Файлы условия, демо
Характеристики домашнего задания
Предмет
Учебное заведение
Семестр
Номер задания
Вариант
Теги
Просмотров
805
Размер
941,62 Kb
Список файлов
Вариант 2 - ДЗ №2 - Общие теоремы динамики (бакалавры).pdf
Screenshot 2023-02-26 211626.jpg

Друзья, спасибо за доверие! Если вам понравилась работа – поставьте 5⭐ и напишите отзыв. Это поможет другим студентам, а мне даст силы делать ещё больше качественных материалов для вас 🔥