Для студентов МГТУ им. Н.Э.Баумана по предмету Теоретическая механикаРешение билетовРешение билетов
4,52514
2022-09-292024-09-03СтудИзба
Ответы к контрольной работе 1: Решение билетов
-66%
Описание
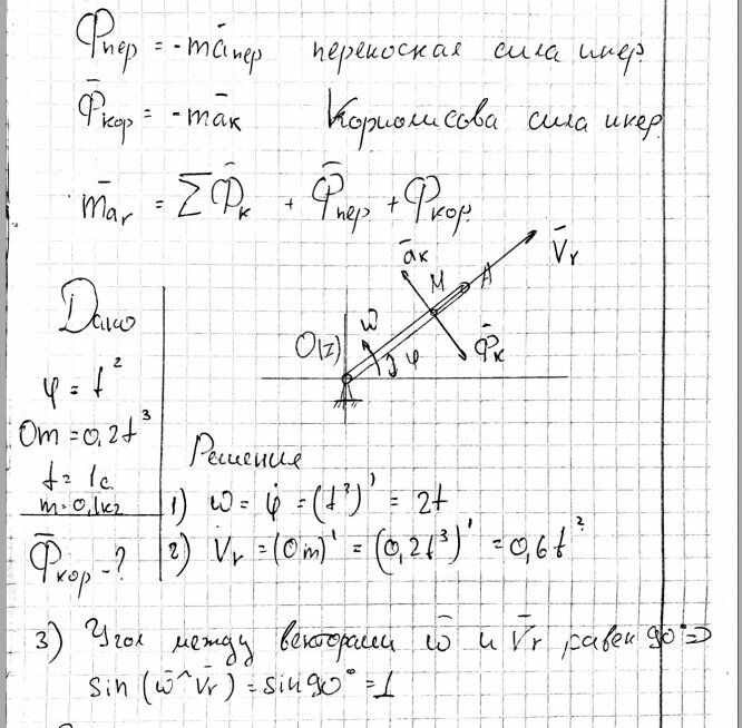
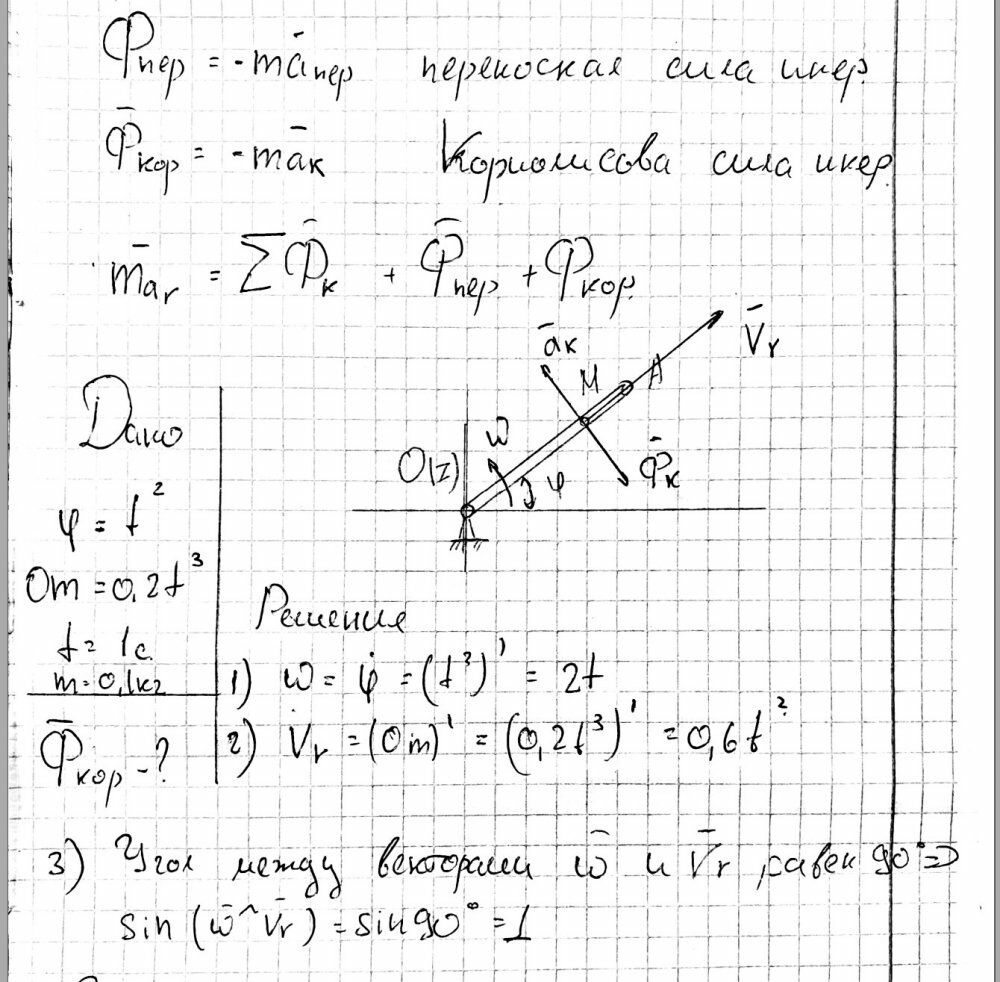
Решения Билет 11 и 17 к РК №1 2022г - Кинематика точки и простейших движений твердого тела -
Пример билеты Динамика




Характеристики ответов (шпаргалок) к КР
Предмет
Учебное заведение
Номер задания
Просмотров
907
Размер
13,92 Mb
Список файлов
Билеты Динамика.pdf
Решения. Билеты динамика вариант 11.pdf
Билеты от Пожалостина Кинематика.pdf
Решения. Билеты от Пож вариант 17.jpg
билеты.pdf

Друзья, спасибо за доверие! Если вам понравилась работа – поставьте 5⭐ и напишите отзыв. Это поможет другим студентам, а мне даст силы делать ещё больше качественных материалов для вас 🔥