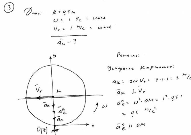
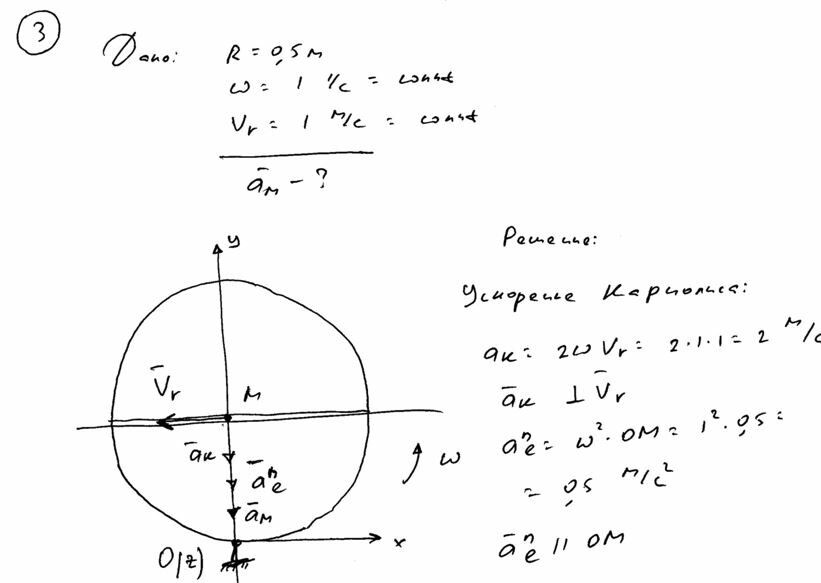
Для студентов МГТУ им. Н.Э.Баумана по предмету Теоретическая механикаРК №3 - Вариант 4 - Кинематика сложного движения точкиРК №3 - Вариант 4 - Кинематика сложного движения точки
4,085411
2022-05-262024-09-03СтудИзба
Ответы к контрольной работе 3: РК №3 - Вариант 4 - Кинематика сложного движения точки вариант 4
-66%
Описание
РК №3 - Вариант 4 - Кинематика сложного движения точки
Зачтено на максимальный балл
Ответ две задачки, нет теории



Характеристики ответов (шпаргалок) к КР
Предмет
Учебное заведение
Номер задания
Вариант
Просмотров
636
Размер
754,53 Kb
Список файлов
РК №3 - Вариант 4 - Кинематика сложного движения точки
1.jpg
2.jpg
3.jpg

Друзья, спасибо за доверие! Если вам понравилась работа – поставьте 5⭐ и напишите отзыв. Это поможет другим студентам, а мне даст силы делать ещё больше качественных материалов для вас 🔥
Комментарии

Отзыв
неправильно