Для студентов НГТУ по предмету РадиоавтоматикаУстойчивость автоматических системУстойчивость автоматических систем
4,92523510
2022-08-222022-08-22СтудИзба
ДЗ: Устойчивость автоматических систем вариант 31
Описание
Задание на работу
1. По имеющейся в исходных данных передаточной функции разомкнутой системы записать передаточную функцию замкнутой системы.2. Записать передаточную функцию для ошибки от регулирующего воздействия.
3. Изобразить структурную схему исследуемой системы, считая систему следящей.
4. Записать характеристические полиномы разомкнутой и замкнутой системы.
5. Исследовать систему на устойчивость по критерию Гурвица.
6. Исследовать систему на устойчивость по критерию Михайлова методом чередующихся корней.
7. Построить годограф Михайлова с указанием масштаба по обеим осям.
8. Исследовать систему на устойчивость по критерию Найквиста.
9. Построить годограф Найквиста с указанием масштаба по обеим осям.
10. Определить запас устойчивости по модулю и по фазе.
11. Вычислить коэффициенты ошибки и найти ошибку регулирования системы в установившемся режиме ξ(t) при заданной входной функции.
12. Построить график ξ(t) в масштабе по обеим осям.
Исходные данные
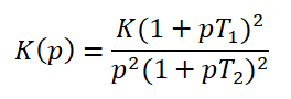
Структура исследуемой системы:
Входное воздействие задается функцией:

K=6; T1 =2 c ; T2=0.1 c;
A=-5; B= 1.5 1/c; C=1 1/c2;
D=1 1/c3.
Характеристики домашнего задания
Предмет
Учебное заведение
Семестр
Вариант
Просмотров
4
Качество
Идеальное компьютерное
Размер
63,34 Kb
Список файлов
РГЗ - Устойчивость автоматических систем - Вариант 31.docx

Вам все понравилось? Получите кэшбэк - 40 рублей на Ваш счёт при покупке. Поставьте оценку и напишите положительный комментарий к купленному файлу. После Вы получите деньги на ваш счет.