Для студентов НГТУ по предмету РадиоавтоматикаУстойчивость автоматических системУстойчивость автоматических систем
4,92523510
2022-08-222022-08-22СтудИзба
ДЗ: Устойчивость автоматических систем вариант 22
Описание
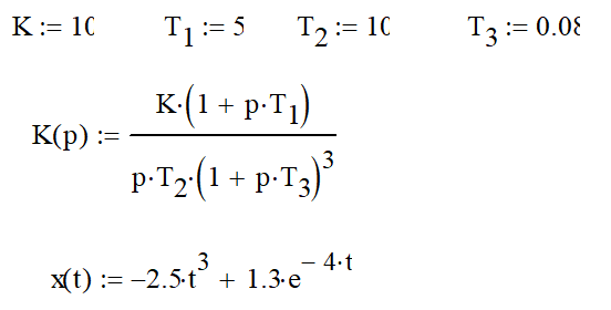
Исходные данные
Задание
- Записать передаточную функцию разомкнутой системы.
- Записать передаточную функцию замкнутой системы.
- Записать передаточную функцию ошибки от регулирующего воздействия
- Записать характеристические полиномы разомкнутой и замкнутой систем и вычислить их коэффициенты.
- Нарисовать структурную схему системы.
- Исследовать устойчивость по критерию Гурвица.
- Исследовать устойчивость по критерию Михайлова.
- Исследовать устойчивость по критерию Найквиста.
- Определить запас устойчивости системы.
- Вычислить ошибку регулирования и построить ее график.
Характеристики домашнего задания
Предмет
Учебное заведение
Семестр
Вариант
Программы
Просмотров
4
Качество
Идеальное компьютерное
Размер
121,82 Kb
Список файлов
Маткад.mcd
РГЗ - Устойчивость автоматических систем - Вариант 22.doc

Вам все понравилось? Получите кэшбэк - 40 рублей на Ваш счёт при покупке. Поставьте оценку и напишите положительный комментарий к купленному файлу. После Вы получите деньги на ваш счет.