Для студентов НГТУ по предмету РадиоавтоматикаУстойчивость автоматических системУстойчивость автоматических систем
4,92523626
2022-08-222022-08-22СтудИзба
ДЗ: Устойчивость автоматических систем вариант 12
Описание
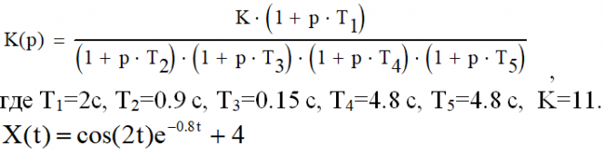
Исходные данные
Задана передаточная функция разомкнутой системы:
Определить
1. Записать передаточную функцию разомкнутой системы К(р)2. Зарисовать структурную схему системы считая ее следящей. Перечислить все типовые звенья в системе
3. Записать передаточную функцию и дифференциальное уравнение замкнутой системы.
4. Записать передаточную функцию для ошибки от регулирующего воздействия.
5. Записать характеристические полиномы разомкнутой и замкнутой схемы и вычислить коэффициенты.
6. Произвести анализ устойчивости по критерию Гурвица.
7. Произвести анализ по методу Михайлова. Построить годограф Михайлова.
8. Произвести анализ устойчивости по критерию Найквиста. Построить годограф Найквиста. Определить запас устойчивости системы по модулю и по фазе.
9. Определить ошибку регулирования кси(от тэ) и построить график.
Характеристики домашнего задания
Предмет
Учебное заведение
Семестр
Вариант
Программы
Просмотров
2
Качество
Идеальное компьютерное
Размер
844,4 Kb
Список файлов
Маткад.mcd
РГЗ - Устойчивость автоматических систем - Вариант 12.doc

Вам все понравилось? Получите кэшбэк - 40 рублей на Ваш счёт при покупке. Поставьте оценку и напишите положительный комментарий к купленному файлу. После Вы получите деньги на ваш счет.