Для студентов НГТУ по предмету РадиоавтоматикаУстойчивость автоматических системУстойчивость автоматических систем
4,92523626
2022-08-222022-08-22СтудИзба
ДЗ: Устойчивость автоматических систем вариант 10
Описание
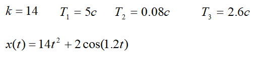
Дано
Передаточная функция разомкнутой системы в виде

Требуется
- Записать передаточную функцию замкнутой системы, разложив ее на простейшие звенья.
- Зарисовать структурную схему, считая систему следящей.
- Записать Ф(р), раскрыть скобки, сделать приведения подобных.
- Записать передаточную функцию ошибки.
- Записать характеристический полином разомкнутой системы и вычислить его коэффициенты.
- Записать характеристический полином замкнутой системы и вычислить его коэффициенты.
- Произвести анализ устойчивости системы по критерию Гурвица.
- Исследовать устойчивость по критерию Михайлова, методом чередующихся корней, построить годограф Михайлова.
- Исследовать устойчивость по критерию Найквиста и построить годограф. Определить запас устойчивости по модулю и по фазе.
- Вычислить ошибку регулирования и построить ее график.
Характеристики домашнего задания
Предмет
Учебное заведение
Семестр
Вариант
Программы
Просмотров
13
Качество
Идеальное компьютерное
Размер
186,85 Kb
Список файлов
Маткад - 1.mcd
Маткад - 2.mcd
РГЗ - Устойчивость автоматических систем - Вариант 10.doc

Вам все понравилось? Получите кэшбэк - 40 рублей на Ваш счёт при покупке. Поставьте оценку и напишите положительный комментарий к купленному файлу. После Вы получите деньги на ваш счет.