Для студентов НГТУ по предмету ПрограммированиеПо заданной функции входного сопротивления построить первую каноническую схему ФостераПо заданной функции входного сопротивления построить первую каноническую схему Фостера
5,0053314
2025-02-182025-02-18СтудИзба
Лабораторная работа: По заданной функции входного сопротивления построить первую каноническую схему Фостера вариант 7
Описание
Формулировка задания:
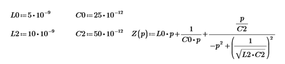
1. По заданной функции входного сопротивления построить первую каноническую схему Фостера. Записать общий вид функции входного сопротивления. Построить частотную зависимость функции входного сопротивления, самостоятельно выбрав значения номиналов (для индуктивностей в пределах единиц–десятков нГн, для емкостей – десятков–сотен пФ).
2. По заданной функции входного сопротивления построить вторую каноническую схему Фостера. Записать общий вид функции входной проводимости. Построить частотную зависимость функции входной проводимости, самостоятельно выбрав значения номиналов.
3. Определить является ли приведенная функция ПВФ. В случае положи-тельного ответа, определить является ли приведенная функция реактансной. Ответ обосновать.
4. Построить нуль-полюсную диаграмму функции и определить, является ли она ПВФ.
![]()
1. По заданной функции входного сопротивления построить первую каноническую схему Фостера. Записать общий вид функции входного сопротивления. Построить частотную зависимость функции входного сопротивления, самостоятельно выбрав значения номиналов (для индуктивностей в пределах единиц–десятков нГн, для емкостей – десятков–сотен пФ).
2. По заданной функции входного сопротивления построить вторую каноническую схему Фостера. Записать общий вид функции входной проводимости. Построить частотную зависимость функции входной проводимости, самостоятельно выбрав значения номиналов.
3. Определить является ли приведенная функция ПВФ. В случае положи-тельного ответа, определить является ли приведенная функция реактансной. Ответ обосновать.
4. Построить нуль-полюсную диаграмму функции и определить, является ли она ПВФ.



Характеристики лабораторной работы
Предмет
Учебное заведение
Вариант
Программы
Просмотров
1
Качество
Идеальное компьютерное
Размер
301,45 Kb
Список файлов
Практическое задание 3, вариант 7.docx

Если нужен другой вариант работы или отдельная задача из любой работы, пишите в комментарии