ДЗ 1: Линейные (линеаризованные) и нелинейные системы вариант 24
Описание
ДЗ выполнено в WORD по 5 задач!
После решения каждого задания дается краткое резюме с пояснением произведенных действий и выводами!
УСЛОВИЕ
👉Линейные (линеаризованные) системы:
1. Требуется провести анализ замкнутой системы на устойчивость, получить переходныйпроцесс при поданном ступенчатом входном воздействии и определить диапазон
коэффициентов усиления, в котором система является устойчивой.

порядка с перерегулированием не выше 20%, изменяя положение нулей и полюсов
корректирующего устройства. Переходная функция за время переходного процесса может
совершить не более 3 колебаний.

👉Нелинейные системы:
3. Для заданной 2-х мерной нелинейной системы д.у. построить фазовый портрет, накотором указать положение особых (неподвижных) точек, исчерпывающее количество
фазовых траекторий, демонстрирующих различную динамику изображающей точки,
предельные циклы и т.п. Для особых точек провести линейный анализ характера их
устойчивости. Построить графики процессов во временной области в окрестностях
особых точек и предельных циклов (при наличии). Дать анализ динамики изображающей
точки в прямом и обратном времени.

характер их устойчивости. Построить фазовый портрет в фазовом пространстве, а также
на фазовой плоскости любых двух координат.

Определить диапазоны значений коэффициентов усиления, при которых в системе
присутствует:
а) скользящий режим,
б) предельный цикл.
Для предельного цикла определить амплитуды и период колебаний по фазовым
координатам.

ДЕМО



Линейные (линеаризованные) системы: 1. Требуется провести анализ замкнутой системы на устойчивость, получить переходный процесс при поданном ступенчатом входном воздействии и определить диапазон коэффициентов усиления, в котором система является устойчивой. 2. Используя технику корневого годографа построить астатическую систему первого порядка с перерегулированием не выше 20%, изменяя положение нулей и полюсов корректирующего устройства. Переходная функция за время переходного процесса может совершить не более 3 колебаний. Нелинейные системы: 3. Для заданной 2-х мерной нелинейной системы д.у. построить фазовый портрет, на котором указать положение особых (неподвижных) точек, исчерпывающее количество фазовых траекторий, демонстрирующих различную динамику изображающей точки, предельные циклы и т.п.
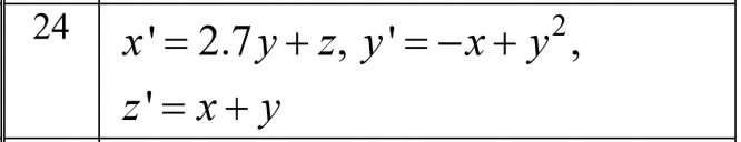
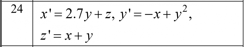
Для особых точек провести линейный анализ характера их устойчивости. Построить графики процессов во временной области в окрестностях особых точек и предельных циклов (при наличии). Дать анализ динамики изображающей точки в прямом и обратном времени. 4. Для заданной 3-х мерной нелинейной системы определить положение особых точек и характер их устойчивости. Построить фазовый портрет в фазовом пространстве, а также на фазовой плоскости любых двух координат. 5. Построить схему моделирования нелинейного процесса со скользящим режимом. Определить диапазоны значений коэффициентов усиления, при которых в системе присутствует: а) скользящий режим, б) предельный цикл.
Для предельного цикла определить амплитуды и период колебаний по фазовым координатам..
Характеристики домашнего задания
Преподаватели
Список файлов
