Для студентов ИДДО НИУ «МЭИ» по предмету МоделированиеКМ-1. Математические модели и Марковские процессы. Тестирование - 100%КМ-1. Математические модели и Марковские процессы. Тестирование - 100%
5,0054
2024-03-192024-03-19СтудИзба
Ответы к экзамену КМ-1: КМ-1. Математические модели и Марковские процессы. Тестирование - 100%
Описание
База ответов к тесту КМ-1. Математические модели и Марковские процессы. Тестирование - поможет быстро сдать вам тест.
Показать/скрыть дополнительное описание

Показать/скрыть дополнительное описание
Курс Моделирование (ИДДО М-Б-4-1-ЗаО).
Список вопросов
Как определить стационарное конечномерное распределение вероятностей для Марковского процесса с дискретным временем?
Может ли Марковский процесс с дискретным временем, достигнув поглощающего состояния, покинуть это состояние?
На каком этапе проведения вычислительного эксперимента составляется компьютерная программа, реализующая алгоритм вычислительного эксперимента?
Марковский процесс с дискретным временем, содержащий поглощающее состояние, достигнет его:
Независимо от типа используемой модели М при ее построении необходимо руководствоваться рядом принципов системного подхода:
Модели технической системы разделяются на группы:
Натурные модели включают:
Процесс создания математической модели не относится к:
Масштабные модели - это:
Укажите основные принципы системного подхода:
Модель - это:
Рисунки, карты, чертежи, диаграммы, схемы, графики представляют собой:
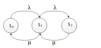
Рассчитайте вероятности переходов для первого и второго шагов процесса для cистемы со следующим графом:
![]()

Марковский процесс с дискретным временем содержит поглощающие состояния, если в соответствующей ему матрице переходных вероятностей:
Математические модели - это:
Основная задача, решаемая при разработке концепции моделирования, состоит в:
Какой вариант стационарной системы уравнений Колмогорова является верным:
So: Ρολ + ριμ= Ο;
S1: Ρολ + p2μ + ρι(λ + μ) = Ο;
S2: PiA + P2H = 0
So :- PoA+piH=0;
Sr: PoA + P2H-pi(+p)=0;
S2: Pιλ- P2μ= 0

S1: Ρολ + p2μ + ρι(λ + μ) = Ο;
S2: PiA + P2H = 0
So :- PoA+piH=0;
Sr: PoA + P2H-pi(+p)=0;
S2: Pιλ- P2μ= 0
Для реального объекта моделирования можно создать:
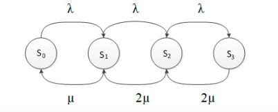
Запишите матрицу интенсивностей переходов для Марковского процесса с непрерывным временем, заданным следующим графом:
![]()

Цель моделирования необходимо четко определить при:
Зависят ли интенсивности в матрице переходных интенсивностей для стационарного Марковского процесса с непрерывным временем от времени?
Выберите определение для регулярной матрицы переходных вероятностей Марковского процесса с дискретным временем.
Описание Интернет в виде системы взаимосвязанных узлов является:
Математическая модель - это:
Файловая система компьютера может быть отнесена к:
Макетирование, это способ моделирования:
Пусть Марковский процесс с дискретным временем и начальным состоянием So совершает следующие переходы:
So-S3-S5-S6
Переходные вероятности равны: Роз = 0,3; P35 = 0,4; р56 = 0,2.
Определите переходную вероятность роб-
So-S3-S5-S6
Переходные вероятности равны: Роз = 0,3; P35 = 0,4; р56 = 0,2.
Определите переходную вероятность роб-
Основной сложностью в разработке концептуальной модели является:
Расписание движение поездов может рассматриваться как:
Система S является:
Укажите объекты, являющиеся математическими моделями:
____________ модель - это другая, обычно более простая техническая система, которая по всем или по части параметров функционирует подобно оригиналу.
Функциональные модели - это:
При построении модели проводится:
Модель управления государством включает:
Моделирование - это:
Одним из наиболее важных аспектов построения систем моделирования является:
Реальный объект, подлежащий моделированию, разбивается на:
Математическая модель - это:
Моделирование - это:
Модель - это:
Моделирование - это:
Моделирование - это:
Математическая модель - это:
Эти вопросы в других коллекциях
Характеристики ответов (шпаргалок) к экзамену
Тип
Коллекция: Ответы (шпаргалки) к экзамену
Предмет
Учебное заведение
Номер задания
Теги
Просмотров
32
Качество
Идеальное компьютерное
Количество вопросов
Преподаватели

Гарантия сдачи без лишних хлопот! ✅🎓 Ответы на тесты по любым дисциплинам, базы вопросов, работы и услуги для Синергии, МЭИ и других вузов – всё уже готово! 🚀 🎯📚 Гарантия качества – или возврат денег! 💰✅