Для студентов ИДДО НИУ «МЭИ» по предмету ФизикаТест по курсу механика (ИДДО ускоренный) 95%Тест по курсу механика (ИДДО ускоренный) 95%
4,85560
2019-09-112019-09-11СтудИзба
Ответы к контрольной работе: Тест по курсу механика (ИДДО ускоренный) 95%
Бестселлер
Описание
Список вопросов
Введите цифру, соответствующую направлению ускорения тела в точке А. Тело движется по траектории ускоренно в сторону точки В. ![]()

Укажите для системы, состоящей из двух внутренних брусков, внутренние силы
![]()


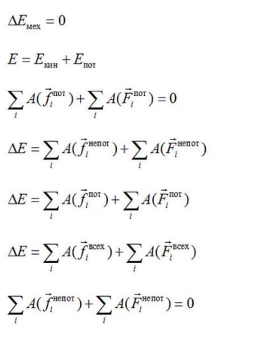
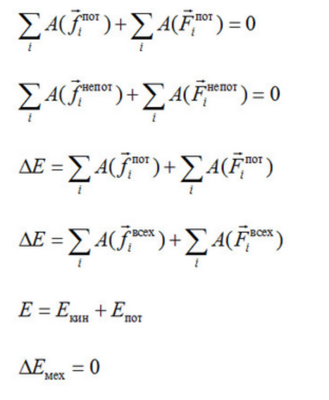
Механическая энергия системы сохраняется. Какие уравнения справедливы?
![]()

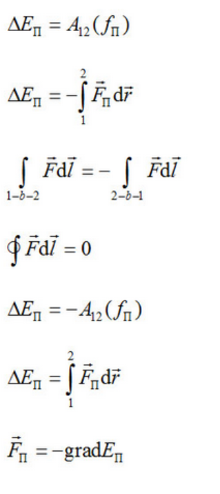
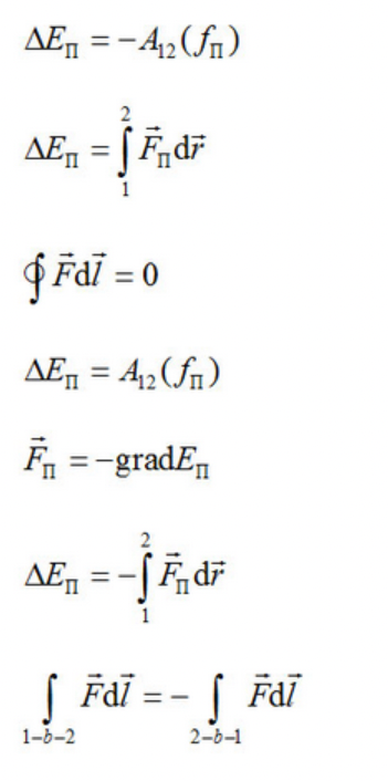
Укажите выражения, отвечающие определению потенциальной силы
![]()

Сравните значения модули сил натяжения нити и силы тяжести, действующих на шар, раскачивающийся на нити в точке 1 траектории
![]()


Укажите как изменяется ускорение тел в процесссе свободного движения грузов
![]()

Укажите условие, при котором условии модули сил натяжения нити Т3 и Т4 равны по величине T2
Введите цифру соответсвующую направлению ускорения тела в точке A. Тело движется по траектории ускоренно в сторону точки B.
![]()

Укажите область на графике, Укажите область на графике зависимости силы трения от внешней силы, участок, соответствующий силе трения скольжения
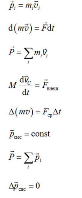
Укажите, что можно утверждать о системе тел, если импульс системы сохраняется в процессе движения
По гладкой горизонтальной поверхности движутся навстречу друг другу два шара. На каком этапе движения при неупругом соударении шаров выполняется закон сохранения механической энергии?
Укажите характеристики абсолютного упругого удара
![]()

Укажите выражение для изменения механической энергии: ![]()

Укажите, почему при неупругом соударении двух шаров, изображенных на рисунке, выполняется закон сохранения импульса
![]()


Укажите выражение, отвечающее определению изменения потенциальной энергии
![]()

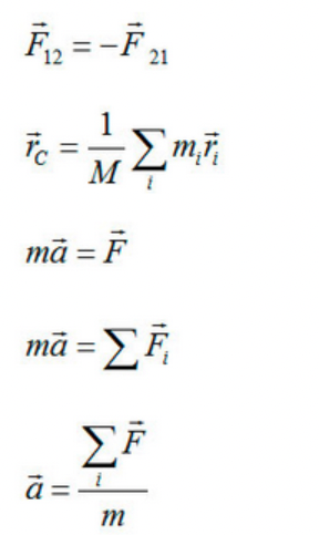
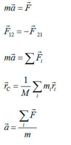
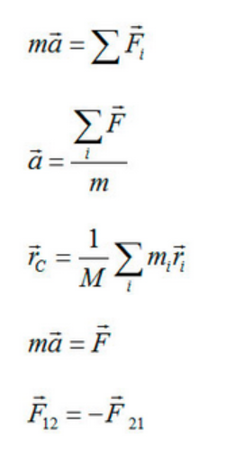
Укажите уравнение, отвечающее формулировке третьего закона Ньютона:
![]()

Укажите уравнение движения центра масс системы тел
![]()

Укажите выражение, отвечающее определению изменения потенциальной энергии ![]()

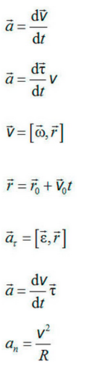
Определение тангенциального ускорения:
![]()

Укажите выражения, отвечающие определению потенциальной силы
![]()

Укажите формулу, определяющую положение центра масс системы материальных точек
![]()

Укажите, как движется материальная точка, если ее скорость все время перпендикулярна ускорению
Два шара, висящих на нитях, отклонили от положения равновесия, как показано на рисунке, и отпустили. На каком этапе движения шаров выполняется закон сохранения импульса?
Укажите условия, при которых может выполняться закон сохранения импульсаВремя взаимодействия тел мало
Укажите формулу, определяющую положение центра масс системы материальных точек
![]()

Тело бросили под углом к горизонту в поле силы тяжести. Как ведет себя модуль нормального ускорения?
Укажиет выражение для изменения механической энергии
![]()

Механическая энергия системы сохраняется. Какие уравнения справедливы?
![]()

Укажите уравнение, отвечающее формулировке Второго закона Ньютона
![]()

Укажите уравнение, отвечающее формулировке второго закона Ньютона
![]()

НА материальную точку действует постоянная по направлению сила (направление силы совпадает с направлением начальной скорости), величина которой убывает. Как называется такое движение?
![]()

Укажите, что можно утверждать о системе тел, если импульс системы сохраняется в процессе движения
![]()

На материальную точку действует постоянная по направлению сила(направление силы совпадает с направлением начальной скорости), величина которой убывает. Как называется такое движение?
Укажите уравнение, отвечающее формулировке третьего закона Ньютона:
![]()

Определение танценциального ускорения
![]()

Укажите как двигается материальная точка, если её скорость всё время перпендикулярна ускорению
![]()

Тело бросили под углом к горизонту в поле силы тяжести. Как ведёт себя модуль обратного ускорения.
![]()

Укажите уравнение центра масс системы тел
![]()

По гладкой горизонтальной поверхности навстречу друг друг два шара. НА каком этапе движения на неупругом соударении шаров выполняется закон сохранения механической энергии?
![]()


Характеристики ответов (шпаргалок) к КР
Тип
Коллекция: Ответы (шпаргалки) к контрольной работе
Предмет
Учебное заведение
Семестр
Теги
Просмотров
968
Качество
Скан печатных листов
Количество вопросов

Зарабатывай на студизбе! Просто выкладывай то, что так и так делаешь для своей учёбы: ДЗ, шпаргалки, решённые задачи и всё, что тебе пригодилось.
Начать зарабатывать
Начать зарабатывать