Для студентов ИДДО НИУ «МЭИ» по предмету МоделированиеМоделирование (ИДДО М-Б-4-1-ЗаО) Полный курс_Итоговая работа_М-Б-4-1-ЗаОМоделирование (ИДДО М-Б-4-1-ЗаО) Полный курс_Итоговая работа_М-Б-4-1-ЗаО
5,00510
2024-03-202024-03-20СтудИзба
Ответы к экзамену Итоговый тест: Моделирование (ИДДО М-Б-4-1-ЗаО) Полный курс_Итоговая работа_М-Б-4-1-ЗаО
Описание
Коллекция содержит большое количество вопросов к итоговому тесту. С помощью данной коллекции вы сможете быстро и комфортно сдать итоговый тест. Список вопросов ниже.
Моделирование (ИДДО М-Б-4-1-ЗаО)
Полный курс_Итоговая работа_М-Б-4-1-ЗаО
Моделирование (ИДДО М-Б-4-1-ЗаО) .
Список вопросов
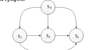
Сколько уравнений в системе уравнений Колмогорова для СМО со следующим графом?
![]()

Запишите систему уравнений Колмогорова и определите среднее число заявок Мср, обслуживаемых в СМО со следующим графом, если Л =1. 1/с; ц = 2. 1/с.
![]()

Запишите систему уравнений Колмогорова и определите коэффициент отказа котк в обслуживании в СМО со следующим графом, если Л =11/с; ц = 2 1/с. ![]()

Будет ли работать СМО со следующим графом переходов, если λ = 2 1/с, μ = 1 1/с.
![]()

Сколько каналов обслуживания и сколько мест в очереди имеет система массового обслуживания со следующим графом?
![]()

Вероятность какого состояния СМО соответствует вероятности простоя?
![]()

Сколько каналов обслуживания и сколько мест в очереди имеет система массового обслуживания со следующим графом?
![]()

Сколько каналов обслуживания и мест в очереди имеет СМО со следующим графом?
![]()

Чему равно среднее число обслуживаемых заявок?
![]()

Запишите систему уравнений Колмогорова и определите коэффициент отказа Котк в обслуживании в СМО со следующим графом, если Л =11/с; ц = 2 1/с.
![]()

Запишите систему уравнений Колмогорова и определите коэффициент простоя Котк СМО со следующим графом, если Л =11/с; ц = 2 1/с. ![]()

Какой вариант графа соответствует СМО со следующей схемой?
![]()

Запишите систему уравнений Колмогорова и определите среднее число заявок Мср, обслуживаемых в СМО со следующим графом, если Л =1. 1/с; д = 2. 1/с.
![]()

Запишите систему уравнений Колмогорова и определите коэффициент простоя Котк СМО со следующим графом, если Л =11/с; ц = 2 1/с.
![]()

Сколько каналов обслуживания и сколько мест в очереди имеет система массового обслуживания со следующим графом?
![]()

Сколько каналов обслуживания и сколько мест в очереди имеет система массового обслуживания со следующим графом?
![]()

Может ли Марковский процесс с дискретным временем, достигнув поглощающего состояния, покинуть это состояние?
Марковский процесс с дискретным временем, содержащий поглощающее состояние, достигнет его:
Чему равно среднее число заявок, находящихся в СМО?
![]()

Рассчитайте вероятности переходов для первого и второго шагов процесса для cистемы со следующим графом:
![]()

Марковский процесс с дискретным временем содержит поглощающие состояния, если в соответствующей ему матрице переходных вероятностей:
Для реального объекта моделирования можно создать:
Зависят ли интенсивности в матрице переходных интенсивностей для стационарного Марковского процесса с непрерывным временем от времени?
Выберите определение для регулярной матрицы переходных вероятностей Марковского процесса с дискретным временем.
Описание Интернет в виде системы взаимосвязанных узлов является:
Файловая система компьютера может быть отнесена к:
Пусть Марковский процесс с дискретным временем и начальным состоянием So совершает следующие переходы:
So-S3-S5-S6
Переходные вероятности равны: Роз = 0,3; P35 = 0,4; р56 = 0,2.
Определите переходную вероятность роб-
So-S3-S5-S6
Переходные вероятности равны: Роз = 0,3; P35 = 0,4; р56 = 0,2.
Определите переходную вероятность роб-
Расписание движение поездов может рассматриваться как:
Укажите объекты, являющиеся математическими моделями:
При построении модели проводится:
Модель – это:
Математическая модель - это:
Эти вопросы в других коллекциях
Характеристики ответов (шпаргалок) к экзамену
Тип
Коллекция: Ответы (шпаргалки) к экзамену
Предмет
Учебное заведение
Номер задания
Теги
Просмотров
126
Качество
Идеальное компьютерное
Количество вопросов
Преподаватели

Гарантия сдачи без лишних хлопот! ✅🎓 Ответы на тесты по любым дисциплинам, базы вопросов, работы и услуги для Синергии, МЭИ и других вузов – всё уже готово! 🚀 🎯📚 Гарантия качества – или возврат денег! 💰✅