Для студентов по предмету МеханикаЗадачаЗадача
5,0053116
2023-12-172023-12-17СтудИзба
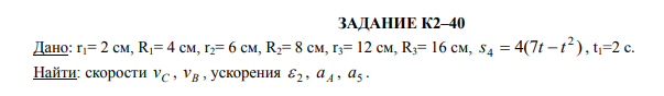
Задача
Описание


Характеристики решённой задачи
Список файлов
mekh_1_-_primer_resheniia_14184281.pdf

Если нужен другой вариант работы или отдельная задача из любой работы, пишите в комментарии