Для студентов по предмету Механика жидкости и газа (МЖГ или Гидравлика)Задача 9-19Задача 9-19
5,0058
2022-11-032024-07-12СтудИзба
Задача 9: Задача 9-19 вариант 19
Описание
КОРОТКОЕ, ПРАВИЛЬНОЕ РЕШЕНИЕ В 1 СТРАНИЦЕ А4!
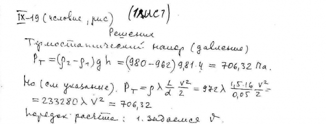
Задача 9-19 (Куколевский И.И.)
Система водяного отопления с естественной циркуляцией состоит из водогрейного котла, в котором вода нагревается до температуры t1 = 95 ℃, и кольцевого трубопровода общей длиной l = 16 м и диаметром d = 50 мм, включающего калорифер, где вода охлаждается до t2 = 65 ℃. Разность высот между центрами котла и калорифера h = 4 м.Определить расход Q циркулирующей в кольце воды, принимая, что местные потери напора составляют 50% потерь трения по длине, и пренебрегая охлаждением воды в трубах. Шероховатость трубопровода Δ = 0,2 мм. Плотность воды при температуре t1 = 95 ℃ составляет ρ1 = 962 кг/м3 и при t2 = 65 ℃ ρ2 = 980 кг/м3.

ДЕМО

Характеристики решённой задачи
Номер задания
Вариант
Теги
Просмотров
68
Качество
Фото рукописных листов
Размер
180,56 Kb
Список файлов
9-19.jpg

Если работа Вам была полезна, Пожалуйста, потратьте несколько секунд, чтобы оставить нам 5 ЗВЁЗД и положительный отзывы. Мы Вам глубоко признателены!